
GLBB atau Gerak Lurus Berubah Beraturan merupakan gerak benda pada lintasan lurus tapi percepatannya konstan atau tetap. Beda GLB dengan GLBB adalah GLB tidak punya percepatan, sedangkan GLBB punya percepatan. Ada 3 variabel GLBB; perpindahan (S), kecepatan (V), dan percepatan (a).
Halo Quipperian! Kali ini Quipper Blog akan membahas topik yang menarik yaitu materi Gerak Lurus Berubah Beraturan (GLBB). Perlu Quipperian ketahui bahwa GLBB selalu muncul dalam Soal UNBK Fisika ataupun SBMPTN. Namun disayangkan masih saja siswa yang kesulitan untuk menjawab topik ini padahal kalau kalian memahami tips dan triknya menyelesaikan soal GLBB, pasti akan terasa lebih mudah.
Oleh Sebab itu, Quipper Blog akan membahas tentang konsep dasar dari GLBB, perbedaan GLB dengan GLBB, rumusan matematis dari GLBB, tipe-tipe soal pada GLBB, tips dan trik menyelesaikan soal GLBB dengan cepat dan tepat, serta tidak lupa soal dan pembahasan dari Quipper Video yang up to date. Yuk, simak!
Pengertian GLBB

Gerak lurus berubah beraturan (GLBB) adalah gerak suatu benda pada lintasan lurus dengan percepatan tetap (konstan). Percepatan tetap artinya baik besar maupun arahnya tetap. Perbedaan utama GLBB dan GLB (Gerak Lurus Beraturan) adalah GLB tidak mempunyai percepatan sedangkan GLBB mempunyai percepatan (a).
Nilai a (+) pada GLBB disebut percepatan sedangkan nilai a (-) pada GLBB disebut perlambatan. Contoh peristiwa GLB adalah ketika kita melempar bola bowling ke sasaran tembak, laju kereta api saat bergerak. Sedangkan contoh dari GLBB adalah saat pengereman mobil untuk membuat mobil berhenti, seorang pebalap menurunkan laju kendaraannya saat di tikungan.
Variabel GLBB

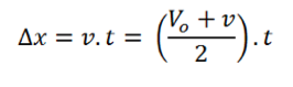
Secara umum ada tiga variabel dari Gerak Lurus Berubah Beraturan, yaitu perpindahan (S), Kecepatan (V), dan Percepatan (a). Pada GLBB, perpindahan memiliki dua rumus utama yaitu:
Pers (1)

Pers (2)

Di mana
Δx / S = perpindahan (m)
Vo = kecepatan awal benda (m/s)
a = percepatan/ perlambatan (m/s2)
t = waktu benda bergerak (s)
v = kecepatan akhir benda (m/s)
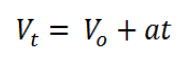
Sedangkan kecepatan juga memiliki dua rumus utama yaitu:
Pers. (3)

Pers (4)

Persamaan (5) dan (6) adalah hasil gabungan dari persamaan (1), (2) dengan (3) (4)
Pers (5)

Pers (6)

Analisa Persamaan 1 dan 6

Apabila kita identifikasi dari persamaan 1 dan 6, akan didapatkan analisa sebagai berikut:
a. Nilai perpindahan dapat diperoleh menggunakan persamaan (1) apabila terdapat variabel percepatan atau perlambatan, sedangkan menggunakan persamaan (2) apabila terdapat variabel kecepatan akhir.
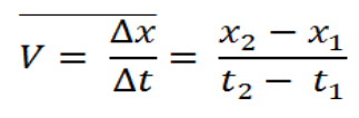
b. Nilai kecepatan akhir diperoleh menggunakan persamaan (3) apabila terdapat komponen percepatan atau perlambatan, sedangkan persamaan 4 digunakan untuk menentukan kecepatan rata-rata. Kecepatan rata-rata adalah besarnya perpindahan per selang waktu. Kecepatan rata-rata juga dapat diperoleh sebagai berikut:

c. Cara menyelesaikan soal GLBB apabila bentuknya sebuah fungsi adalah dengan cara differensial/integral
Menjadi hal yang lebih mudah apabila kita ingin menentukan nilai perpindahan, kecepatan, atau percepatan. Kita hanya perlu memasukkan variabel yang ada dan mencari hal yang ditanyakan. Namun dalam soal GLBB terdapat beberapa tipe-tipe soal contohnya adalah sebuah fungsi tertentu, ataupun luasan sebuah gambar. Lantas, bagaimana cara menyelesaikannya?
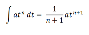
Misalnya diketahui perpindahan r (t) = 5t2 . Kita ingin menentukan kecepatan pada saat t = 3 detik. Secara umum rumus matematis, dari differensial adalah misal x (t) = atn . Turunan dari fungsi tersebut adalah:

Maka nilai v (t) menjadi V (t = 2) = 10 (2) = 20 m/s.
Apabila di soal tersebut diketahui, persamaan percepatan adalah V (t) = t4+ 6, tentukan persamaan perpindahan GLBB pada saat t = 5 sekon. Untuk mendapatkan fungsi yang naik, maka harus menggunakan Integral. Misalkan x (t) = atn . maka nilai integral x dt adalah. Rumus umum Integral adalah sebagai berikut:

Sehingga diperoleh persamaan X (t) = 15t5+6t = X (t = 5) = 15 . 3125+30=655 m
d. Menyelesaikan soal GLBB berupa bangun ruang adalah dengan menghitung luasan daerah yang ditanyakan
Gambar di atas menunjukkan terdapat 3 bangung ruang. Daerah A ke B bentuknya berupa segitiga. Daerah B-C bentuknya berupa persegi, daerah C-D bentuknya berupa trapezium. Cara menentukan kecepatan dari titik awal ke waktu 5 sekon adalah dengan cara menghitung luas segitiga A-B + persegi B-C + luas trapezium C-D.
Tips dan Trik Menyelesaikan Soal GLBB

- Tulis semua informasi yang diketahui dari soal dan juga ditanyakan.
- Identifikasi ciri-ciri soal tersebut. Apabila bentuknya berupa fungsi maka selesaikan dengan differensial/integral. Apabila soal tersebut berupa bangun ruang maka selesaikan dengan mencari luasan soalnya. Apabila soal tersebut mencari variabel yang tidak diketahui maka dapat digunakan persamaan (1)-persamaan (6).
- Apabila soal sukar dipahami, buatlah sketsa soal tersebut agar lebih memudahkan.
Untuk dapat membantu Quipperian memahami materi Soal GLBB, Quipper Blog memberikan soal dan pembahasan dari Quipper Video yang tentunya up to date banget nih untuk persiapan Ujian dan UNBK!
Contoh Soal 1

Kita identifikasi dahulu soal yang pertama. Diketahui variabel seperti percepatan (a), t (5 sekon). Ditanyakan V(t) dan S. maka kita dapat menentukan kecepatan akhirnya menggunakan persamaan (4) dan penentuan jarak tempuhnya menggunakan persamaan (5) dan persamaan (6). Maka pembahasan soal adalah sebagai berikut:

Contoh Soal 2

Kita analisa soal ke-2. Dari informasi yang ada, diketahui Vo = 20 m/s, V(t) = 5 m/s, dan jarak (s) = 75 m. ditanyakan jarak setelah berhenti. Oleh sebab itu, cara penyelesaiannya dapat menggunakan persamaan (5) dan persamaan (6). Yuk, cek pembahasannya di bawah ini.

Bagaimana Quipperian sudah mulai memahami materi pembelajaran GLBB alias Gerak Lurus Berubah Beraturan? Ternyata mudah, kan! Nah, kalau kamu masih mau belajar lebih dalam lagi mengenai materi Gerak Lurus Berubah Beraturan atau materi lainnya, langsung saja daftarkan diri ke Quipper Video, ya. Di sana kamu akan diajar oleh para tutor kece lewat rangkuman, video, dan latihan soal. Seru banget, kan? So, jangan tunggu-tunggu lagi, buruan klik link-nya!
Sumber:
- Fahruroji. 2018. Fisika Smart Soal dan Pembahasan. Tangerang : Tira Smart
- Kanginan, Marthen. 2006. FISIKA untuk SMA/MA kelas X. Jakarta: Penerbit Erlangga
- Kanginan, Marthen. 2006. Seribu Pena FISIKA. Jakarta: Penerbit Erlangga
Penulis: William Yohanes
