
Quipperian, kembali lagi membahas seputar Fisika. Topiknya kali ini adalah mengenai optika. Sebenarnya, apa yang dimaksud dengan optika? Apakah ini hanya tentang cermin, lensa, kacamata, mikroskop, dan lup? Atau justru lebih luas dari itu? Nah, sebelum mengklaim optika dan fisika sebagai mata pelajaran yang rumit, yuk, coba kita simak dahulu penjelasan sederhana seputar fisika optik ini!
Jadi, ternyata optika jauh lebih luas dari sekadar pembahasan mengenai cermin maupun lensa. Pada dasarnya, optika merupakan cabang ilmu Fisika yang mempelajari tentang cahaya. Cahaya sendiri adalah energi radiasi berbentuk gelombang elektromagnetik yang dapat dideteksi oleh mata manusia. Selain bersifat sebagai gelombang, cahaya juga dapat bersifat seperti partikel. Berikutnya pada pembahasan kali ini, kita akan mengenal beberapa sifat fisis cahaya beserta contoh-contohnya. Simak, yuk!
Sifat Fisis Cahaya

Pada dasarnya, ketika cahaya menumbuk suatu materi, elektron-elektron dari materi tersebut akan bergetar dan menghasilkan energi. Besar energi yang terpancar dari elektron tersebut bergantung pada frekuensi gelombang cahaya yang menumbuk, panjang gelombang cahaya, beserta struktur atom materi yang ditumbuk. Berikutnya, penumbukan materi oleh cahaya ini akan memunculkan sifat-sifat fisis cahaya, seperti interferensi (perpaduan), difraksi (pelenturan), dispersi (penguraian), refleksi (pemantulan), dan refraksi (pembiasan).
1. Interferensi
Interferensi cahaya merupakan perpaduan dua gelombang cahaya atau lebih. Sifat ini dapat diamati dengan jelas oleh mata manusia jika kedua gelombang cahaya tersebut bersifat koheren (mempunyai amplitudo dan frekuensi yang sama, serta fasenya tetap). Contoh paling umum dari interferensi adalah interferensi celah ganda (interferensi Young). Pada perpaduan ini, dua sumber cahaya koheren dilewatkan melalui dua celah. Kedua berkas cahaya tersebut akan bergabung membentuk pola-pola interferensi yang diamati pada layar seperti berikut:

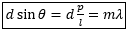
Jika dua gelombang cahaya berinterferensi konstruktif (saling menguatkan) maka akan dihasilkan pola garis terang (interferensi maksimum) pada layar. Interferensi ini terjadi jika beda lintasan kedua gelombang sama dengan nol atau kelipatan bulat dari panjang gelombangnya yang dapat dinyatakan dengan rumus berikut:

Sementara itu, jika dua gelombang cahaya berinterferensi destruktif (saling melemahkan) maka akan dihasilkan pola garis gelap pada layar. Interferensi tersebut terjadi jika beda lintasan kedua gelombang merupakan kelipatan ganjil dari setengah panjang gelombangnya yang dapat dinyatakan dengan rumus berikut:

2. Difraksi
Difraksi cahaya adalah peristiwa pembelokan gelombang cahaya setelah melewati suatu penghalang. Pada peristiwa ini juga dihasilkan garis terang dan garis gelap.
a. Difraksi celah tunggal:

-
- Rumus difraksi maksimum (pola terang):
![]()
-
- Rumus difraksi minimum (pola gelap):
![]()
Keterangan:

b. Difraksi celah banyak atau kisi

-
- Rumus difraksi maksimum (pola terang):
![]()
-
- Rumus difraksi minimum (pola gelap):
![]()
Keterangan:

3. Dispersi
Dispersi adalah penguraian cahaya putih (polikromatik), yang terdiri atas banyak warna dan panjang gelombang, menjadi cahaya berwarna-warni (monokromatik). Jika cahaya putih diarahkan ke prisma, ia akan terurai menjadi cahaya merah, jingga, kuning, hijau, biru, nila, dan ungu yang masing-masing memiliki panjang gelombang berbeda dan menghasilkan indeks bias berbeda pula. Semakin kecil panjang gelombangnya, semakin besar indeks biasnya.

4. Refleksi
Refleksi atau pemantulan gelombang adalah peristiwa pengembalian seluruh atau sebagian gelombang ketika bertemu dengan bidang batas antara dua medium sehingga berlaku hukum pemantulan berikut:
- Sinar datang, sinar pantul, dan garis normal berpotongan pada satu titik dan terletak pada satu bidang datar.
- Sudut datang sama dengan sudut pantul.

5. Refraksi
Refraksi atau pembiasan merupakan peristiwa pembelokan arah lintasan gelombang setelah melewati bidang batas antara dua medium dengan indeks bias yang berbeda. Indeks bias merupakan besaran yang menyatakan kerapatan suatu medium yang didefinisikan sebagai perbandingan antara cepat rambat cahaya dalam ruang kerja hampa dengan cepat rambat cahaya dalam suatu medium tertentu.



Cermin

Cermin dan lensa merupakan contoh bidang batas dari proses refleksi cahaya karena memenuhi hukum pemantulan cahaya.
1. Cermin Datar

Sifat bayangan:
- Bayangan maya, tegak, dan terletak di belakang cermin.
- Jarak bayangan sama dengan jarak benda ke cermin (s’ = s)
- Ukuran bayangan sama dengan ukuran benda (M = 1)
2. Cermin Cekung
Sifat bayangan berdasarkan posisi benda (s) dan posisi bayangan (s’):

Rumus jarak fokus:
![]()
Rumus perbesaran bayangan benda:
![]()
Keterangan:
M = perbesaran bayangan
f = jarak fokus (m)
s = jarak benda dari cermin (m)
s’ = jarak bayangan dari cermin (m)
h = tinggi benda (m)
h’ = tinggi bayangan (m)
3. Cermin Cembung
Sifat bayangan pada cermin cembung selalu maya, tegak, dan diperkecil.
Rumus jarak fokus:
![]()
Rumus perbesaran bayangan benda:
![]()
Keterangan:
M = perbesaran bayangan
f = jarak fokus (m)
s = jarak benda dari cermin (m)
s’ = jarak bayangan dari cermin (m)
h = tinggi benda (m)
h’ = tinggi bayangan (m)
Alat-Alat Optik

Berikutnya, contoh alat-alat yang menggunakan prinsip optika pada kehidupan sehari-hari adalah sebagai berikut:
1. Mata
Mata normal memiliki titik dekat 25 cm dan titik jauh ∞ dan bayangan jatuh tepat di retina. Pada rabun jauh, bayangan jatuh di depan retina sehingga perlu diperbaiki dengan lensa cekung. Pada rabun dekat, bayangan jatuh di belakang retina sehingga perlu diperbaiki dengan lensa cembung.
2. Lup atau kaca pembesar
Alat ini terdiri dari lensa cembung dan digunakan untuk melihat benda-benda kecil sehingga tampak lebih besar dan jelas. Jadi, sifat bayangan yang dihasilkan lup selalu maya, tegak, dan diperbesar.
3. Mikroskop
Mikroskop terdiri atas susunan dua lensa cembung, yaitu lensa objektif yang dekat dengan objek dan lensa okuler yang dekat dengan mata dan menghasilkan bayangan akhir yang bersifat maya, terbalik, dan diperbesar.
4. Teropong atau teleskop
Alat optik ini digunakan untuk melihat benda-benda yang sangat jauh menggunakan beberapa lensa cembung. Terdapat beberapa jenis teropong, diantaranya teropong bintang, teropong bumi, teropong Galileo, dan teropong prisma.
5. Kamera
Kamera menghasilkan sifat bayangan yang nyata, terbalik, dan diperkecil. Pada alat ini, jarak fokus selalu tetap sementara jarak bayangan diatur dengan menggeser letak lensa.
6. Proyektor
Alat ini digunakan untuk memperbesar bayangan slide pada suatu layar dengan sifat bayangan yang nyata, terbalik, dan diperbesar.
Materi mengenai optika memang sangat luas cakupan dan aplikasinya dalam kehidupan kita sehari-hari. Maka dari itu, untuk bisa memahami lebih dalam, sangat disarankan bagi Quipperian untuk mempelajari materi beserta latihan-latihan soal dan pembahasannya melalui Quipper Video. Kamu dapat berlangganan melalui link ini, lho! Langsung klik, ya!
Sumber:
Penulis: Laili Miftahur Rizqi