Ksp, larutan berada pada kondisi lewat jenuh (ada endapan). Untuk meningkatkan pemahaman Quipperian tentang materi kelarutan dan hasil kali kelarutan, simak contoh soal berikut. Contoh soal 2 Kelarutan Ag2CrO4 dalam air adalah 10-4 M. Tentukan kelarutan Ag2CrO4 dalam larutan K2CrO4 0,01 M! Pembahasan: Reaksi kesetimbangan larutan Ag2CrO4 adalah sebagai berikut. Dengan demikian, diperoleh: Berdasarkan perbandingan koefisien reaksinya, diperoleh: Jadi, kelarutan Ag2CrO4 dalam larutan K2CrO4 0,01 M adalah 10-5 M. Contoh soal 3 Jika dalam suatu larutan terkandung Pb(NO3)2 0,05 M dan HCl 0,05 M, apakah akan terjadi endapan PbCl2? Pembahasan: Diketahui: Dengan demikian, nilai Qc dari larutan PbCl2 dapat ditentukan sebagai berikut. Oleh karena nilai Qc > Ksp PbCl2, maka PbCl2 akan mengendap. Jadi, jika dalam suatu larutan terkandung Pb(NO3)2 0,05 M dan HCl 0,05 M, maka akan terjadi endapan PbCl2. Itulah pembahasan tentang kelarutan dan hasil kali kelarutan. Untuk meningkatkan pemahaman tentang materi ini, Quipperian bisa sering-sering mengerjakan latihan soal ya. Jika bingung mendapatkan latihan soalnya, silahkan gabung bersama Quipper Video. Tidak hanya latihan soal yang kamu dapatkan, melainkan juga penjelasan tutor-tutor kece Quipper Video. Salam Quipper! [spoiler title=SUMBER] https://www.urip.info/2015/03/pengaruh-ion-senama-terhadap-kelarutan.html https://sites.google.com/site/dewitatrianiputri/materi-pembelajaran/kelas-xi/bab-15/c-pengaruh-penambahan-ion-senama https://d14fikpiqfsi71.cloudfront.net/media/W1siZiIsIjIwMTYvMTEvMjQvMDkvMTgvMDEvZjU0Mzg5YzAtMWJjYy00ZDA4LWE5M2MtZTAwYzllYzM3OWY3L0ZpeF9LaW1LMTFTMjQucGRmIl1d.pdf?sha=589ed97be47de1a6%5B/spoiler%5D Penulis: Eka Viandari” width=”800″ height=”533″>
Hai Quipperian, bagaimana kabarnya? Semoga selalu sehat dan tetap semangat ya!
Siapa di antara Quipperian yang jago memasak? Agar masakan menjadi lezat, apa sih bumbu utama yang harus digunakan? Tentu garam dan gula, kan? Selengkap apapun rempah-rempah yang digunakan dalam masakan jika lupa tidak diberi garam pasti tidak akan enak. Setuju?
Mengapa garam menyatu dengan masakan sedemikian sempurna? Hal itu karena garam mudah sekali untuk larut. Berbeda halnya jika Quipperian melarutkan tanah liat ke dalam air. Di artikel kali ini, Quipperian akan diajak untuk mempelajari kelarutan suatu senyawa, mulai dari senyawa larut sampai terjadinya endapan.
Kelarutan Garam

Saat Quipperian melarutkan garam dalam air, akan terbentuk larutan elektrolit. Apa itu elektrolit? Elektrolit adalah zat yang mampu terurai menjadi ion positif dan negatif. Nilai kelarutan garam di dalam air bervariasi, mulai dari kelarutan terbatas sampai tak terhingga. Contoh garam yang memiliki kelarutan tak terhingga di dalam air adalah garam dapur atau NaCl.
Artinya, sebanyak apapun NaCl yang dimasukkan di dalam air, seluruhnya akan larut tanpa terjadi endapan. Itulah mengapa NaCl sering digunakan untuk memasak. Bayangkan saja jika NaCl tidak bisa larut sempurna. Pasti Quipperian akan merasakan butiran halusnya saat makan.
Ternyata, ada juga lho garam yang kadar kelarutannya di dalam air terbatas. Artinya, garam akan membentuk endapan jika mencapai konsentrasi tertentu. Untuk lebih jelasnya, simak tabel berikut.

Pengertian Kelarutan (s)

Kelarutan adalah jumlah maksimum suatu senyawa atau zat yang bisa larut dalam sejumlah pelarut. Satuan kelarutan adalah mol/L. Oleh karena satuan kelarutan sama dengan molaritas, maka kelarutan juga bisa didefinisikan sebagai konsentrasi zat yang masih bisa larut dalam suatu pelarut. Berdasarkan sifat kelarutannya kondisi garam dibedakan menjadi tiga kondisi, yaitu sebagai berikut.
- Kondisi tidak jenuh, artinya kondisi saat konsentrasi nyata suatu garam belum melampaui kelarutannya, sehingga masih bisa larut.
- Kondisi tepat jenuh, artinya kondisi saat konsentrasi nyata suatu garam sama dengan kelarutannya, sehingga zat tepat mengendap.
- Kondisi lewat jenuh, artinya kondisi saat konsentrasi nyata garam melampaui kelarutannya, sehingga zat yang mengendap lebih banyak daripada yang larut.
Tetapan Hasil Kali Kelarutan (Ksp)

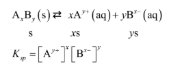
Jika suatu garam mengalami kondisi tepat jenuh, garam tersebut akan membentuk kesetimbangan. Terjadinya kesetimbangan dipengaruhi oleh zat padat yang tidak larut dan ion-ion zat terlarut. Bagaimana tetapan kesetimbangannya? Perhatikan reaksi berikut.

Berdasarkan aturan penulisan rumus kesetimbangan, hanya zat dalam bentuk larutan (aq) dan gas (s) yang dituliskan di dalam rumus, sehingga diperoleh:

Tetapan kesetimbangan untuk garam yang sukar larut disebut tetapan hasil kesetimbangan (Ksp).
Hubungan antara Kelarutan dan Tetapan Hasil Kelarutan

Kelarutan ditinjau dari konsentrasi jenuh suatu garam (elektrolit), sedangkan tetapan hasil kelarutan mengacu pada garam-garam yang tepat mengendap. Lalu apa hubungan antara keduanya? Perhatikan contoh berikut.
Contoh soal 1
Terdapat larutan AgCl, Ag2S, dan Ag3PO4. Tentukan hubungan antara kelarutan dan tetapan hasil kelarutannya!
Pembahasan:
1. AgCl
Pada keadaan tepat jenuh, ionisasi AgCl berlangsung sebagai berikut.

Oleh karena konsentrasi jenuh AgCl sama dengan kelarutannya, maka diperoleh persamaan berikut.

Dengan demikian, diperoleh:

Jadi, hubungan antara Ksp dan s untuk garam yang terdiri dari dua ion dirumuskan sebagai Ksp = s2.
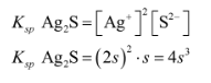
2. Ag2S
Pada Ag2S, hubungan antara Ksp dan s dirumuskan sebagai berikut.
Dengan demikian, diperoleh:

Jadi, hubungan antara Ksp dan s untuk garam yang terdiri dari tiga ion adalah Ksp = 4s3.
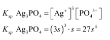
3. Ag3PO4
Pada Ag3PO4, hubungan antara Ksp dan s dirumuskan sebagai berikut.

Dengan demikian, diperoleh:

Jadi, hubungan antara Ksp dan s untuk garam yang terdiri dari empat ion adalah Ksp = 27s4.
Dari ketiga contoh di atas, tentu Quipperian tahu kan hubungan antara Ksp dan s? Hubungan antara Ksp dan s dinyatakan sebagai berikut.
Pengaruh Ion Senama pada Kelarutan

Konsentrasi ion senama sangat berpengaruh pada sifat kelarutan suatu zat. Penambahan ion senama bisa mengurangi kelarutan suatu zat. Artinya, semakin banyak ion senama di dalam larutan, zat-zat terlarut semakin sulit untuk larut. Jika demikian, pasti akan muncul banyak endapan. Mengapa demikian? Berdasarkan asas Le Chatelier, kesetimbangan akan bergeser ke arah zat yang ditambahkan. Dengan demikian, penambahan ion senama akan memicu banyaknya endapan. Perlu Quipperian pahami bahwa penambahan ion senama tidak akan mengubah tetapan hasil kelarutan (Ksp) selama tidak ada perubahan suhu.
Hubungan antara Ksp dan pH Larutan

Nilai pH larutan basa dapat digunakan untuk menentukan nilai tetapan kelarutannya (Ksp). Hal itu berlaku untuk senyawa basa yang sulit larut di dalam air. Perhatikan reaksi berikut.

Semakin besarnya nilai pH menunjukkan semakin banyak konsentrasi ion OH– di dalam larutan tersebut. Asas Le Chatelier menyatakan bahwa kesetimbangan akan bergeser ke arah zat yang ditambahkan. Semakin besar nilai pH, semakin sulit larutan basa untuk larut karena endapan yang terbentuk semakin banyak. Dengan demikian, semakin besar pH, semakin kecil kelarutannya.
Konsep Ksp dalam Pemisahan Zat

Konsep dasar kelarutan dan hasil kali kelarutan elektrolit ini ternyata bisa dimanfaatkan untuk memisahkan larutan yang sudah tercampur, lho. Bagaimana bisa? Pemisahan dilakukan dengan cara menambahkan larutan elektrolit lain yang mampu berikatan dengan ion-ion dalam larutan yang sudah tercampur tadi. Quipperian harus ingat bahwa kelarutan setiap zat berbeda-beda. Artinya, ada zat yang cepat mengendap dan ada pula yang tidak. Nah, endapan itulah yang nantinya dipisahkan dari pelarut.
Di awal pembelajaran Quipperian sudah dikenalkan dengan kondisi zat saat dilarutkan ke dalam pelarut, yaitu kondisi tepat jenuh, tidak jenuh, dan lewat jenuh. Kondisi ketiganya bisa ditentukan dari hubungan antara Qc dan Ksp.
- Jika Qc < Ksp, larutan berada pada kondisi tidak jenuh (tidak ada endapan).
- Jika Qc = Ksp, larutan berada pada kondisi tepat jenuh (tidak ada endapan).
- Jika Qc > Ksp, larutan berada pada kondisi lewat jenuh (ada endapan).
Untuk meningkatkan pemahaman Quipperian tentang materi kelarutan dan hasil kali kelarutan, simak contoh soal berikut.
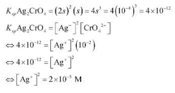
Contoh soal 2
Kelarutan Ag2CrO4 dalam air adalah 10-4 M. Tentukan kelarutan Ag2CrO4 dalam larutan K2CrO4 0,01 M!
Pembahasan:
Reaksi kesetimbangan larutan Ag2CrO4 adalah sebagai berikut.

Dengan demikian, diperoleh:

Berdasarkan perbandingan koefisien reaksinya, diperoleh:

Jadi, kelarutan Ag2CrO4 dalam larutan K2CrO4 0,01 M adalah 10-5 M.
Contoh soal 3
Jika dalam suatu larutan terkandung Pb(NO3)2 0,05 M dan HCl 0,05 M, apakah akan terjadi endapan PbCl2?
Pembahasan:
Diketahui:

Dengan demikian, nilai Qc dari larutan PbCl2 dapat ditentukan sebagai berikut.

Oleh karena nilai Qc > Ksp PbCl2, maka PbCl2 akan mengendap.
Jadi, jika dalam suatu larutan terkandung Pb(NO3)2 0,05 M dan HCl 0,05 M, maka akan terjadi endapan PbCl2.
Itulah pembahasan tentang kelarutan dan hasil kali kelarutan. Untuk meningkatkan pemahaman tentang materi ini, Quipperian bisa sering-sering mengerjakan latihan soal ya. Jika bingung mendapatkan latihan soalnya, silahkan gabung bersama Quipper Video. Tidak hanya latihan soal yang kamu dapatkan, melainkan juga penjelasan tutor-tutor kece Quipper Video. Salam Quipper!
Penulis: Eka Viandari