
Quipperian, biar SBMPTN bisa berjalan mulus, kali ini Quipper Blog mengajak kamu untuk mengerjakan contoh soal getaran dan gelombang. Materi ini hampir selalu dijumpai pada soal SBMPTN, lho! Meskipun hanya muncul sebanyak satu sampai dua soal saja, tetap sangat lumayan untuk meningkatkan nilai, bukan?
Terlebih lagi pada SBMPTN tahun-tahun sebelumnya, tipe soal untuk materi ini biasanya tidak hanya berupa pilihan ganda langsung, tetapi juga bisa berupa pilihan beberapa pernyataan yang benar. Tingkat kesulitan materi ini masih termasuk mudah, kok. Quipperian cukup perlu mengidentifikasi jenis gelombang dan langsung menghitung apa yang diminta menggunakan rumus saja. Kita langsung cek saja contoh soal getaran dan gelombangnya, ya!
Contoh Soal Nomor 1
Dua balok kayu kecil A dan B terapung di permukaan danau. Jarak keduanya adalah 150 cm. Ketika gelombang sinusoida menjalar pada permukaan air, teramati bahwa pada saat t = 0 detik, balok A berada di puncak sedangkan balok B berada di lembah. Keduanya dipisahkan satu puncak gelombang. Pada saat t = 1 detik, balok A berada di titik setimbang pertama kali dan sedang bergerak turun. Pernyataan yang benar tentang gelombang pada permukaan air tersebut adalah…
- Frekuensi gelombang adalah 0,25 Hz.
- Amplitudo gelombang adalah 75 cm.
- Pada saat t = 1 detik, balok B berada di titik setimbang dan sedang bergerak turun.
- Balok A akan kembali berada di puncak pada saat t = 4,5 detik.
- Gelombang air memiliki panjang 200 cm.
SBMPTN, 2018
Jawaban:
Diketahui:

Ditanya:
Pernyataan yang benar tentang gelombang pada permukaan air?
Pembahasan:
Untuk bisa memperoleh jawaban yang tepat, kita harus terlebih dahulu menghitung satu per satu sesuai pilihan jawaban yang ada.
a. Mencari panjang gelombang:

Ternyata, panjang gelombang air adalah 100 cm, bukan 200 cm. Jadi, pilihan jawaban E salah.
b. Mencari periode:
![]()
c. Mencari frekuensi:
![]()
Jadi, pernyataan yang benar tentang gelombang pada permukaan air tersebut adalah besarnya frekuensi gelombang 0,25 Hz (A).
Contoh Soal Nomor 2
Pernyataan-pernyataan yang benar tentang superposisi gelombang
![]()
dan
![]()
adalah…
- Laju rambat gelombang satu lebih kecil dari laju rambat gelombang dua.
- Intensitas kedua gelombang berbeda.
- Beda fase kedua gelombang tidak konstan.
- Arah rambat kedua gelombang sama.
- jika jawaban (1), (2), dan (3) benar
- jika jawaban (1) dan (3) benar
- jika jawaban (2) dan (4) benar
- jika jawaban (4) benar
- jika semua jawaban benar
SBMPTN, 2017
Jawaban:
Diketahui:
![]()
Ditanya:
![]()
Pembahasan:
Superposisi gelombang adalah perpaduan dua gelombang yang bertemu di satu titik dan menghasilkan gelombang diam berupa penjumlahan simpangan (fase) di setiap titik sepanjang penjalaran gelombang. Superposisi gelombang bisa bersifat saling menguatkan maupun saling melemahkan.
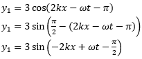
Kedua gelombang yang diketahui pada soal masih dalam kosinus. Kita ubah terlebih dahulu menjadi bentuk umum persamaan gelombang, yaitu dalam sinus seperti berikut:

dan

Untuk bisa menjawab pertanyaan nomor berapa saja yang bernilai benar, akan diuji kebenaran setiap pernyataan seperti berikut:
a. Hitung cepat rambat gelombang satu dan gelombang dua dengan rumus berikut:
![]()
Maka:
![]()
v1 dan v2 memiliki pembilang yang sama, yaitu , sedangkan penyebut v1 lebih besar dari v2. Maka dapat disimpulkan bahwa v1<v2 dan pernyataan 1 benar.
b. Karena intensitas gelombang dipengaruhi oleh frekuensi, maka untuk menentukan intensitas kedua geombang, cukup hitung frekuensi masing-masing gelombang menggunakan rumus berikut:
![]()
Maka:
![]()
Oleh karena f1 sama dengan f2, maka intensitas gelombang 1 dan intensitas gelombang 2 sama sehingga pernyataan 2 benar.
c. Hitung beda fase masing-masing gelombang, yaitu ∆ψ1 dan ∆ψ2:

dan

Dari beda fase masing-masing gelombang di atas, terlihat bahwa perubahan sudut fase bergantung pada waktu (t) dan jarak (x) dua titik pada gelombang sehingga besar perubahan sudut fase bernilai tidak konstan. Jadi, pernyataan 3 benar.
d. Tentukan arah rambat gelombang 1 dan 2 dari tanda pada koefisien k dan t berikut:
Pada gelombang 1, gelombang merambat ke kanan karena koefisien pada k negatif sementara koefisien pada t positif (tanda berbeda).
Pada gelombang 2, gelombang merambat ke kiri karena koefisien k negatif dan koefisien pada t negatif (tanda sama).
Jadi, pernyataan 4 salah.
Karena pernyataan yang benar adalah pernyataan 1, 2, dan 3, maka pilihan jawaban yang tepat adalah A.
Contoh Soal Nomor 3
Suatu gelombang stasioner mempunyai persamaan
![]()
di mana y dan x dalam meter sementara t dalam sekon.
Pernyataan yang benar adalah ….
- Jarak antara perut dan simpul yang berurutan adalah 0,1 m.
- Frekuensi gelombangnya adalah 10 Hz.
- Panjang gelombangnya adalah 0,4 m.
- Kecepatan rambat gelombangnya adalah 1 m/s
- jika jawaban (1), (2), dan (3) benar
- jika jawaban (1) dan (3) benar
- jika jawaban (2) dan (4) benar
- jika jawaban (4) benar
- jika semua jawaban benar
SBMPTN, 2016
Jawaban:
Diketahui:
![]()
Ditanya:
![]()
Pembahasan:
a. Pada gelombang sinusoida, jarak antara perut dan simpul sama dengan panjang ¼ gelombang. Maka dari itu, terlebih dahulu kita tentukan panjang gelombang tersebut:

Diperoleh jarak antara perut dan simpul adalah 0,1 m sehingga pernyataan 1 benar.
b. Hitung frekuensi gelombang dengan rumus berikut:
![]()
Diperoleh bahwa frekuensi gelombang adalah 5 Hz, bukan 10 Hz seperti pada pernyataan 2 sehingga pernyataan 2 salah.
c. Panjang gelombang telah dihitung pada poin a dan diperoleh panjang gelombang adalah 0,4 m sehingga pernyataan 3 benar.
d. Hitung cepat rambat gelombang menggunakan rumus berikut:
![]()
Diperoleh bahwa cepat rambat gelombang adalah 2 m/s, bukan 1 m/s seperti pada pernyataan 4 sehingga pernyataan 4 salah.
Karena pernyataan yang benar adalah pernyataan 1 dan 3, maka pilihan jawaban yang tepat adalah B.
Bagaimana, Quipperian? Kamu cukup memahami pertanyaan yang diminta lalu menggunakan rumus yang diketahui untuk memperoleh jawaban yang benar. Akan tetapi, latihan soal di atas hanya sebagian kecil dari materi getaran dan gelombang, lho!
Aplikasi materi getaran dan gelombang memang cukup luas, Quipperian. Masih ada inti pembelajaran lainnya, seperti bandul, gerak harmonis sederhana, hingga persamaan energinya. Maka dari itu agar Quipperian bisa lebih menguasai materi ini dan menaklukkan SBMPTN TKA Fisika, berlangganan Quipper Video sekarang, yuk! Klik link ini, ya!
Sumber:
- https://learn.quipper.com/course/5689ebdf8b76d0000e0016f4/topic/5badf04f9d5c7c001100e571/quiz/attempt/1/question/8
- https://learn.quipper.com/course/5689ebdf8b76d0000e0016f4/topic/5a66bd8ab10c760011002973/quiz/attempt/1/question/15
- https://learn.quipper.com/course/5689ebdf8b76d0000e0016f4/topic/58202a02a37cfd0ceb00884b/quiz/attempt/1/question/15
Penulis: Laili Miftahur Rizqi
Baca panduan mengenai SBMPTN 2019 di sini. Mulai dari alur, prosedur, pelaksanaan, tipe ujian, penjelasan soal HOTS, sistem penilaian SBMPTN, prediksi kisi-kisi hingga strategi belajar SBMPTN 2019, semua bisa kamu temukan di sini!
