Mengerjakan contoh soal logaritma? Siapa bilang sulit? Yuk, coba ikuti artikel Quipper Video Blog yang satu ini, deh. Ada banyak sifat-sifat logaritma yang perlu dipahami oleh kalian Quipperian, seperti di bawah ini:
Ke enam sifat di atas berlaku jika memenuhi syarat a, b, dan c bilangan real positif dan m dan n bilangan real.
Nah, sekarang kalian sudah tahu kan sifat-sifat Logaritma? Biar nggak penasaran, yuk belajar latihan soal-soal Logartima dari Quipper Video Blog di bawah ini. Semangat ya, Quipperian!
Latihan Soal Logaritma Nomor 1
Pembahasan:
Berdasarkan pembahasan di atas, maka jawaban yang paling tepat untuk soal yang satu ini adalah jawaban yang pertama.
Jawaban: 1
Latihan Soal Logaritma Nomor 2
Pembahasan:
Berdasarkan pembahasan di atas, maka jawaban yang paling tepat untuk soal ini adalah nomor pertama.
Jawaban: 1
Latihan Soal Logaritma Nomor 3
Pembahasan:
Dari pembahasan yang ada di atas, maka jawaban yang paling tepat untuk soal nomor 3 adalah pilihan ke-2, Quipperian.
Jawaban: 2
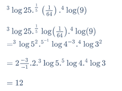
Latihan Soal Logaritma Nomor 4
Pembahasan:
Berdasarkan pembahasan yang ada di atas, sudah jelas bukan bahwa jawaban yang paling tepat adalah pilihan nomor 3.
Jawaban: 3
Latihan Soal Logaritma Nomor 5
Pembahasan:
Dari pembahasan di atas, maka jawaban yang paling te
Jawaban: 4
Bagaimana, Quipperian? Apakah kalian bisa mengerjakan soal-soal di atas dengan benar? Nah, kalau kamu mau mengerjakan latihan soal logaritma lainnya seperti di atas, kamu bisa banget lho gabung di Quipper Video. Bukan hanya soal-soal latihan saja, kamu juga akan disuguhkan materi dan video berkualitas mengenai materi SBMPTN. Penasaran mau gabung? Langsung klik saja di sini, ya.
Simak Sejarah Logaritma Jost Burgi, Agar Kemampuan Matematikamu Semakin Canggih!
Sumber:
Penulis: Sritopia











