Quipperian, Vektor merupakan salah satu jenis besaran dari dua jenis besaran yang ada dalam ilmu Matematika dan Fisika. Dua besaran tersebut adalah besaran skalar dan besaran vektor. Besaran skalar adalah jenis besaran yang hanya memiliki besar (nilai), contohnya waktu, suhu, volume, dsb. Sedangkan, besaran vektor merupakan jenis besaran yang memiliki besar (nilai) dan arah, contohnya kecepatan, momentum, gaya, dan lain-lain.
Nah, kalian pasti sudah gatal ingin belajar soal-soal SBMPTN utnuk Vektor ini? Mari, kita bahasa soalnya satu per satu.
Latihan Soal Vektor Matematika Nomor 1
Pembahasan:
Berdasarkan pembahasan yang ada di atas, maka jawaban yang paling tepat untuk pertanyaan ini adalah pilihan yang pertama.
Jawaban: 1
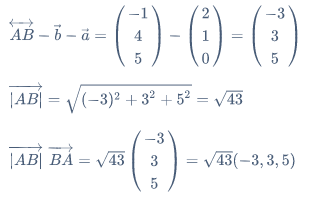
Latihan Soal Vektor Matematika Nomor 2
Pembahasan:
Dari pembahasan yang sudah dikerjakan, maka jawaban yang paling tepat untuk pertanyaan nomor ini adalah pilihan pertama.
Jawaban: 1
Latihan Soal Vektor Matematika Nomor 3
Pembahasan:
Berdasarkan pembahasan yang sudah dilakukan, maka jawaban yang paling tepat untuk menjawab pertanyaan ini adalah pilihan ke-4.
Jawaban: 4
Latihan Soal Vektor Matematika Nomor 4
Pembahasan:
Dari pembahasan yang sudah dikerjakan, maka jawaban yang paling tepat untuk pertanyaan ini adalah pilihan ke-4.
Jawaban: 4
Latihan Soal Vektor Matematika Nomor 5
Pembahasan:
Berdasarkan pembahasan di atas, maka sudah jelas jawaban yang paling tepat untuk nomor terakhir ini adalah pilihan ke-4.
Jawaban: 4
Nah, Quipperian apakah kalian berhasil menjawab latihan soal vektor matematika di atas dengan benar semua? Kalau berhasil, selamat ya! Eits, tapi bukan berarti dengan begitu kalian bisa santai-santai saja, lho. Tetap perbanyak perdalam materi dan latihan soal, ya. Biar belajarnya menyenangkan, yuk gabung dengan Quipper Video. Di sini, ada banyak materi tambahan mulai dari ringkasan, video, hingga latihan soal berbagai mapel untuk SBMPTN. Buruan klik di sini ya untuk bergabung!
Ini Dia Pembahasan Lengkap Vektor Matematika IPA Kelas 12!
Sumber:
Penulis: Sritopia










