
Hai Quipperian, tentu salah satu lampu di rumahmu pernah padam, kan? Saat salah satu lampu itu padam, apakah lampu lainnya juga ikut padam? Tentu tidak, ya. Mengapa bisa terjadi demikian? Hal itu karena lampu di rumahmu dirangkai secara paralel. Pada pembahasan ini, Quipper Blog akan mengajak Quipperian untuk membahas beberapa contoh soal rangkaian paralel. Daripada penasaran, yuk check this out!
Contoh Soal 1
Empat buah hambatan yang identik dirangkai secara paralel. Hambatan total pengganti keempat hambatan tersebut adalah 1,25 Ohm. Tentukan besar tiap-tiap hambatan!
Pembahasan:
Diketahui:

Ditanya: R =…?
Pembahasan:
Di soal tertulis bahwa hambatannya identik. Artinya, besar dan karakteristik tiap hambatannya sama. Untuk mencari besarnya tiap-tiap hambatan, gunakan persamaan berikut.

Jadi, besarnya tiap-tiap hambatan adalah 5 Ohm.
Contoh Soal 2
Tiga buah lampu dirangkai seperti gambar berikut.

Jika besarnya hambatan pada lampu A, B, dan C berturut-turut adalah 2 Ohm, 4 Ohm, dan 6 Ohm, berapakah hambatan total penggantinya?
Pembahasan:
Diketahui:

Ditanya: Rtotal =…?
Pembahasan:
Rangkaian lampu pada soal merupakan contoh rangkaian paralel. Untuk mencari hambatan total penggantinya, gunakan persamaan berikut.

Jadi, hambatan pengganti rangkaian lampu tersebut adalah 1,09 Ohm.
Contoh Soal 3
Pada sebuah percobaan, Hari merangkai hambatan seperti gambar berikut.

Tentukan besarnya kuat arus yang mengalir pada rangkaian tersebut!
Pembahasan:
Diketahui:

Ditanya: I =…?
Pembahasan:
Mula-mula, kamu harus menentukan besarnya hambatan total pengganti pada rangkaian tersebut.

Selanjutnya, tentukan kuat arus listriknya menggunakan persamaan Hukum Ohm.

Jadi, kuat arus yang mengalir pada rangkain tersebut adalah 12 Ampere.
Contoh Soal 4
Empat buah lampu dirangkai seperti gambar berikut.

Besarnya hambatan pada lampu k = hambatan lampu n = 8 Ohm. Sementara itu, besarnya hambatan lampu l = 12 Ohm, dan lampu m = 3 Ohm. Jika rangkaian tersebut dihubungkan dengan baterai bertegangan 12 Volt, tentukan besarnya energi yang mengalir pada rangkaian selama 4 s!
Pembahasan:
Diketahui:

Ditanya: W =…?
Pembahasan:
Mula-mula, kamu harus menentukan hambatan pengganti paralelnya.

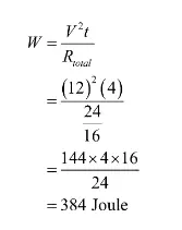
Selanjutnya, tentukan besar energi listriknya menggunakan persamaan berikut.

Jadi, energi listrik yang mengalir pada rangkaian selama 4 s adalah 384 Joule.
Contoh Soal 5
4 buah hambatan, yaitu hambatan p, q, r, dan s dirangkai secara paralel. Lalu, rangkaian tersebut dihubungkan dengan tegangan 6 Volt. Ternyata, kuat arus yang mengalir pada rangkaian tersebut adalah 3,4 A. Jika besarnya hambatan p, q, dan r berturut-turut adalah 4 Ohm, 6 Ohm, 10 Ohm, tentukan besarnya hambatan s!
Pembahasan:

Ditanya: Rs =…?
Pembahasan:
Muka-mula, tentukan besarnya hambatan pengganti total menggunakan persamaan Hukum Ohm.

Selanjutnya, substitusikan nilai R total tersebut ke persamaan hambatan total pengganti paralel.

Jadi, besarnya hambatan s adalah 20 Ohm.
Contoh Soal 6
Dua buah lampu dirangkai seperti gambar berikut.

Jika besarnya hambatan pada lampu 1 sama dengan dua kali hambatan pada lampu 2, berapakah perbandingan kuat arus yang mengalir pada lampu 1 dan 2?
Pembahasan:
Diketahui:

Pada rangkaian paralel, setiap lampu mendapatkan tegangan yang sama. Artinya, V1 = V2. Sementara itu, kuat arus yang mengalir pada setiap lampu tidak sama. Hal itu dipengaruhi oleh besar kecilnya hambatan lampu karena arusnya mengalir melalui percabangan. Perbandingan antara kuat arus yang mengalir pada lampu 1 dan 2 dirumuskan sebagai berikut.

Jadi, perbandingan kuat arus yang mengalir pada lampu 1 dan 2 adalah 1 : 2.
Contoh Soal 7
Lima buah hambatan dirangkai secara paralel lalu dihubungkan dengan tegangan 10 Volt. Hambatan 1, 2, dan 3 merupakan hambatan identik. Sementara itu, besarnya hambatan 4 dan 5 berturut-turut adalah 6 Ohm dan 15 Ohm. Jika kuat arus listrik yang mengalir pada hambatan 1 adalah 2 A, tentukan hambatan pengganti total dalam rangkaian!
Pembahasan:
Diketahui:

Ditanya: Rtotal =…?
Pembahasan:
Mula-mula, kamu harus mencari besarnya hambatan 1 menggunakan persamaan hukum Ohm.

Oleh karena hambatan 1, 2, dan 3 identik, maka besarnya

Selanjutnya, tentukan hambatan pengganti total dalam rangkaiannya.

Jadi, hambatan pengganti total dalam rangkaian tersebut adalah 1,2 Ohm.
Contoh Soal 8
Indra memiliki enam buah lampu yang sama. Ia ingin merangkai semua lampunya sedemikian sehingga jika salah satu lampu mati, maka lima lampu lainnya tetap menyala. Setelah ia rangkai, diperoleh hambatan total sebesar 2 Ohm. Berapakah besar hambatan pada tiap lampu yang dimiliki Indra?
Pembahasan:
Pada soal disebutkan bahwa enam lampu yang dimiliki Indra identik. Artinya, besarnya hambatan di setiap lampu adalah sama. Sementara itu, Indra ingin agar saat satu lampunya mati, lima lampu lainnya tetap menyala. Hal itu menunjukkan bahwa Indra harus merangkai lampunya secara paralel. Dengan demikian:

Jadi, besarnya hambatan di setiap lampu Indra adalah 12 Ohm.
Contoh Soal 9
Galih memiliki dua hambatan identik yang besarnya 5 Ohm. Erik juga memiliki dua hambatan identik yang besarnya 10 Ohm. Lalu, Galih dan Erik sama-sama merangkai hambatannya secara paralel. Keduanya juga menggunakan tegangan yang sama, yaitu 8 Volt. Rangkaian siapakah yang menghasilkan energi listrik paling besar? Serta tentukan selisih energi listriknya!
Pembahasan:
Mula-mula, kamu harus menentukan hambatan pengganti total pada rangkaian Galih dan Erik.
Rangkaian Galih

Rangkaian Erik

Selanjutnya, kamu tentukan energi listrik yang mengalir pada masing-masing rangkaian.
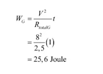
Energi pada rangkaian Galih

Energi pada rangkaian Erik

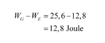
Dari hasil perhitungan, ternyata energi yang mengalir pada rangkaian Galih lebih besar daripada energi pada rangkaian Erik.
Selisih energi listriknya:

Jadi, rangkaian yang menghasilkan energi listrik paling besar adalah rangkaian Galih dengan selisih 12,8 Joule.
Contoh Soal 10
Perhatikan gambar rangkaian berikut.

Besar hambatan pada lampu O dan P berturut-turut adalah 8 Ohm dan 10 Ohm. Jika kuat arus yang mengalir melalui lampu O adalah 1,55 A, tentukan jumlah kuat arus yang melalui rangkaian tersebut!
Pembahasan:
Diketahui:

Ditanya: I total =…?
Pembahasan:
Mula-mula, kamu harus mencari tegangan baterai yang digunakan pada rangkaian. Ingat bahwa pada rangkaian paralel, tegangan di semua titik percabangan bernilai sama. Dengan demikian:

Selanjutnya, substitusikan nilai V = 12,4 Volt ke persamaan kuat arus lampu P.

Berdasarkan Hukum Kirchhoff I, jumlah kuat arus listrik yang masuk titik percabangan sama dengan jumla kuat arus listrik yang keluar titik percabangan. Dengan demikian,

Jadi, jumlah kuat arus listrik yang melalui rangkaian lampu tersebut adalah 2,79 A.
Itulah pembahasan contoh soal rangkaian paralel kali ini. Semoga bisa bermanfaat, ya. Jangan lupa untuk terus belajar karena belajar adalah modal menuju masa depan. Agar belajarmu semakin menyenangkan, yuk buruan gabung Quipper Video. Bersama Quipper Video, belajar jadi lebih mudah dan menyenangkan. Salam Quipper!