
Halo Quipperian! Pada kesempatan kali ini Quipper Blog akan membahas suatu tema yang sangat menarik lho, yaitu “Solusi Super Menyelesaikan Soal Dinamika Rotasi”. Perlu Quipperian ketahui bahwa soal-soal dinamika rotasi masih merupakan momok bagi siswa-siswa di Indonesia. Hal ini dikarenakan banyak siswa yang belum mampu membedakan antara gerak rotasi dan gerak translasi dalam penyelesaian dinamika rotasi ini, kurang mampu menjabarkan penguraian gaya-gaya yang terjadi pada suatu sistem tersebut.
Memang secara konsep dasar, penyelesaian soal dalam bentuk dinamika rotasi perlu waktu yang agak lama karena kita harus mampu menguraikan gaya-gaya yang terjadi lalu menambahkah konsep torsi dan momen inersia pada sistem tersebut. Sehingga membuat siswa sangat kesulitan dalam menjawab soal-soal ini. Namun apabila Quipperian mendalami lebih lanjut tentang materi dinamika rotasi. Begitu banyak lho SOLUSI SUPER atau cara cepat dalam menyelesaikan soal-soal ini. Oleh sebab itu, pada sesi kali ini Quipper Blog akan membahas secara detail tentang:
- Perbedaan gerak translasi dan gerak rotasi
- Hubungan torsi dan arahnya
- Momen inersia
- Energi Kinetik rotasi
- Solusi Super dari soal dinamika rotasi
Menarik, kan? Check this out!
Perbedaan Gerak Translasi dan Gerak Rotasi

Suatu benda dapat mengalami gerak translasi atau gerak rotasi. Gerak translasi adalah gerak benda yang arahnya lurus ataupun melengkung. Pada gerak translasi menggunakan konsep hukum Newton II. Sedangkan gerak rotasi adalah gerak yang mengalami perputaran terhadap poros tertentu. Gerak rotasi ini disebabkan oleh adanya torsi yaitu kecenderungan sebuah gaya untuk memutar suatu benda tegar terhadap titik poros tertentu.
Gerak pada rotasi mengalami suatu torsi. Torsi adalah ukuran kecenderungan sebuah gaya untuk memutar suatu benda tergar terhadap titik poros tertentu. Rumusan Torsi/momen gaya adalah sebagai berikut:

Sumber: http://www.4muda.com
Lengan Momen
Lengan momen (l) adalah sebutan untuk jarak titik poros rotasi sampai ke gaya yang saling tegak lurus.
Torsi merupakan suatu besaran vektor. Sehingga ia mempunyai arah. Torsi bernilai positif (+) apabila arahnya berlawanan jarum jam. Sedangkan torsi bernilai negatif (-) apabila arahnya searah dengan jarum jam.

Sumber: http://www.4muda.com
Momen Inersia
Dalam dinamika rotasi juga dikenal istilah penting yaitu momen inersia. Momen inersia adalah besaran yang menyatakan ukuran kelembaman benda yang mengalami gerak rotasi adalah momen inersia (analog dengan massa pada gerak translasi). Rumusan momen inersia adalah sebagai berikut:

Di mana
I = momen inersia (kg m2)
m = massa benda (kg)
r = jari-jari benda (m)
Tiap benda memiliki nilai momen inersianya masing-masing, berikut adalah nilai dari momen inersia yang sering dipakai dalam masalah kesetimbangan benda tegar:

Sumber: https://rumusrumus.com
Dalam dinamika partikel, kita mengetahui bahwa gaya F menyebabkan suatu benda bergerak translasi dengan percepatan linear a. Dan suatu torsi τ menyebabkan suatu benda berotasi terhadap suatu poros tertentu. Oleh karena torsi τ analog dengan gaya F dan percepatan sudut α analog dengan percepatan linear a. sehingga dapat dihasilkan hukum II Newton untuk suatu rotasi yaitu sebagai berikut:

Di mana:
I = momen inersia (kg m2)
α = percepatan sudut (rad/s2)
τ = torsi (N .m)
r = jarak titik ke poros (m)
Cara menghitung energi kinetik rotasi dari suatu massa adalah sebagai berikut:

Persamaan di atas menyatakan energi kinetik dari suatu benda tegar yang momen inersianya I dan berputar dengan kecepatan sudut ω. Apabila suatu benda dalam keadaan menggelinding. Dalam dinamika rotasi, gerak menggelinding adalah suatu benda tegar bergerak translasi dalam suatu ruang sambil berotasi tanpa slip. Nilai Energi Kinetik pada saat benda menggelinding adalah sebagai berikut:

Contoh 1: Benda menggelinding dan SOLUSI SUPER
Pada gambar di bawah menunjukkan sebuah benda menggelinding dari atas menuju alas bidang. Nilai percepatan benda tersebut dapat ditentukan menggunakan rumus hukum kekekalan energi. Namun kita akan menggunakan rumus SOLUSI SUPER untuk menentukan nilai percepatan dan kecepatan dari benda tersebut yaitu:

Sumber: https://fisika79.wordpress.com
Nilai percepatan (a) pada saat benda menggelinding dari atas:

Nilai kecepatan (v) pada saat benda menggelinding di atas:

Dari persamaan di atas, terdapat konstanta k. nilai k dapat dirubah dengan momen inersia yang ditunjukkan pada gambar 5. Contohnya sebagai berikut:

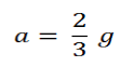
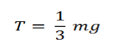
Contoh 2: Sebuah rotasi silinder yang dilekatkan pada tali

Nilai percepatan silinder ( a) nya dapat ditentukan dengan:

Dan nilai tegangan tali (T) nya dapat ditentukan dengan:

Contoh 3: Sebuah sistem katrol dengan massa dan bola yang saling menurun

Nilai percepatan kedua benda tersebut dapat ditentukan dengan

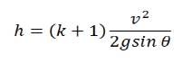
Contoh 4: Gerak menggelinding benda pejal mendaki suatu bidang miring

Nilai ketinggian suatu bidang miring (h) dapat ditentukan menggunakan persamaan:

Nilai jaraknya (s) dapat ditentukan dengan cara:

Contoh Soal

Dari paragraf sebelumnya sudah diberikan gambaran soal beserta SOLUSI SUPER sebagai cara penyelesaiannya. Sekarang waktunya, Quipper Blog memberikan soal-soal dari Bank Soal Quipper yang selalu up to date beserta Solusi SUPER sebagai persiapan kamu menghadapi segala tes ujian yang akan kalian hadapi. Let’s Check this Out!
1. Percepatan bola pejal pada bidang miring

Pembahasannya adalah sebagai berikut:

2. Solusi Super Energi Kinetik Total:

Pembahasannya adalah sebagai berikut:

3. Sistem Katrol dari balok dan meja:

Pembahasannya adalah sebagai berikut:

Rumus Solusi Supernya adalah:

Bagaimana Quipperian mudah bukan mengerjakan soal-soal dinamika rotasi menggunakan SOLUSI SUPER dari Quipper. Apabila kalian ingin tahu SOLUSI SUPER dari Quipper lainnya. Jangan ragu untuk gabung di Quipper Video. Karena masih banyak SOLUSI SUPER dari tiap-tiap pelajaran lainnya juga penjelasan-penjelasan dari Tutor-tutor Quipper yang berpengalaman di bidang nya. sehingga membuat pelajaran kalian menjadi gampang, asik, dan menyenangkan. Salam Quipper!
- Kanginan, Marthen. 2013. Fisika Untuk SMA/MA Kelas XI. Jakarta: Penerbit Erlangga.
- Kanginan, Marthen. 2006. Seribu Pena Fisika SMA Kelas XI Jilid 2. Jakarta: Penerbit Erlangga.
- Kanginan, Marthen. 2017. Master Book Physics (Metode Cepat menjadi Master Fisika). Bandung: Yrama Widya.]
Penulis: William Yohanes