
Siapa nih yang hobi menyalakan kipas angin? Pernahkah Quipperian berpikir, mengapa baling-baling kipas angin bisa berputar? Ternyata, hal itu disebabkan oleh adanya motor listrik yang terhubung dengan baling-baling. Sementara itu, prinsip kerja motor listrik memanfaatkan gaya Lorentz, lho. Lantas, apa itu gaya Lorentz? Yuk, belajar bareng Quipper Blog.
Pengertian Gaya Lorentz
Gaya Lorentz adalah gaya yang ditimbulkan oleh kawat berarus yang berada dalam medan magnet. Konsep gaya ini ditemukan oleh fisikawan asal Belanda, yaitu Hendrik Lorentz.
Salah satu percobaan populer untuk membuktikan gaya ini adalah dengan menggunakan alumunium foil yang diletakkan di antara magnet U. Lalu, ujung alumunium foil tersebut dihubungkan dengan sumber tegangan, seperti baterai. Percobaan tersebut menunjukkan bahwa alumunium foil mengalami penyimpangan akibat adanya pengaruh medan magnet.
Persamaan Gaya Lorentz
Faktor-faktor yang memengaruhi gaya Lorentz adalah panjang kawat berarus, kuat arus listrik, dan medan magnet. Semakin panjang kawatnya, semakin besar gaya yang dihasilkan. Semakin besar kuat arus listrik yang mengaliri kawat, semakin besar gaya yang dihasilkan. Secara matematis, dirumuskan sebagai berikut.

Keterangan:
F = gaya Lorentz (N);
I = kuat arus listrik (A); dan
L = panjang kawat berarus (m).
Ternyata, arah kuat arus listrik dan medan magnet di sekitar kawat berarus itu tidak boleh sembarangan, lho. Arah keduanya harus mengikuti kaidah tangan kanan seperti berikut.

Dari gambar di atas, ibu jari menunjukkan arah arus listrik, jari telunjuk menunjukkan arah medan magnet, dan jari tengah menunjukkan arah gaya Lorentz. Dengan demikian, arah arus listrik selalu tegak lurus dengan arah medan magnet.
Penerapan Gaya Lorentz dalam Kehidupan
Konsep gaya ini bisa diterapkan di dalam kehidupan sehari-hari. Salah satunya pada kipas angin. Berikut ini pembahasan lengkapnya.
1. Motor listrik
Motor listrik merupakan komponen elektronik yang bisa mengubah energi listrik menjadi energi gerak. Komponen yang terdapat di dalam motor listrik adalah magnet tetap dan kumparan. Artinya, kumparan berada di dalam pengaruh medan magnet.
Saat dialiri arus listrik, kumparan akan mengalami gaya Lorentz. Akibatnya, kumparan akan berputar melalui sumbunya. Motor listrik ini biasa digunakan sebagai sumber penggerak pada baling-baling kipas angin, mesin cuci, pompa air, dan masih banyak lainnya.
2. Galvanometer
Galvanometer merupakan alat untuk mengukur kehadiran arus pada suatu rangkaian listrik. Prinsip kerja galvanometer ini juga memanfaatkan gaya Lorentz, lho.
Galvanometer terdiri dari kumparan yang bisa bergerak. Kumparan tersebut bergerak mengelilingi inti besi lunak yang berada di antara kutub-kutub magnet. Jika kumparan dialiri arus listrik, maka akan terjadi penyimpangan jarum penunjuk arus yang terhubung dengan koil di bagian tengah besi lunak.
Agar pemahamanmu semakin meningkat, yuk kerjakan contoh soal berikut.
Contoh Soal 1
Pak Teguh dan Pak Hendra sedang melakukan percobaan Fisika di laboratorium. Pak Teguh mengukur kuat arus yang melalui suatu komponen elektronik yang memiliki hambatan 20 Ω. Komponen elektronik tersebut diberi tegangan 5 volt.
Ternyata, besar kuat arus listrik yang terukur sama dengan kuat arus listrik yang melalui kawat berarus Pak Hendra. Jika kawat berarus tersebut memiliki panjang 1,5 m dan berada di dalam medan magnet 4 Tesla, tentukan besarnya gaya Lorentz yang dihasilkan!
Diketahui:
RT = 20 Ω (hambatan komponen elektronik Pak Teguh)
VT = 5 volt (tegangan yang diberikan pada komponen elektronik Pak Teguh)
LH = 1,5 m (panjang kawat berarus Pak Hendra)
BH = 4 T (medan magnet di sekitar kawat berarus Pak Hendra)
Ditanya: FB =…?
Pembahasan
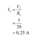
Pertama, Quipperian harus mencari dahulu besarnya kuat arus listrik yang mengalir pada komponen elektronik Pak Teguh.

Di soal tertulis bahwa besarnya kuat arus listrik yang mengalir di kawat berarus Pak Hendra sama dengan kuat arus pada komponen elektronik Pak Teguh. Dengan demikian:

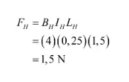
Lalu, tentukan gaya Lorentz yang timbul di kawat berarus Pak Hendra akibat pengaruh medan magnet.
Jadi, besarnya gaya Lorentz yang dihasilkan oleh kawat berarus Pak Hendra adalah 1,5 N.
Contoh Soal 2
Sebuah kawat tembaga dialiri arus listrik sebesar 0,05 A dari barat ke timur. Akibatnya, timbul gaya Lorentz sebesar 10 N ke bawah. Jika panjang kawat tembaga tersebut 2 m, tentukan besar dan arah medan magnet yang melingkupi kawat tersebut!
Pembahasan
Diketahui:
I = 0,05 A
F = 10 N
L = 2 m
Ditanya: B =…?
Pembahasan
Untuk mencari besarnya medan magnet yang melingkupi kawat tembaga, gunakan persamaan berikut.

Selanjutnya, tentukan arah medan magnetnya.
Menurut kaidah tangan kanan, ibu jari menunjukkan arah kuat arus listrik, telunjuk menunjukkan arah medan magnet, dan jari tengah menunjukkan arah gaya Lorentz.
Nah, coba arahkan ibu jarimu (sebagai kuat arus listrik) ke arah timur dan jari tengahmu ke bawah, kira-kira ke mana arah telunjuk? Pasti ke selatan kan? Ingat, arah ibu jari dan telunjuk harus tetap tegak lurus, ya.
Artinya, jika kawat diberi kuat arus listrik dari barat ke timur lalu muncul gaya Lorentz ke bawah, maka arah medan magnetnya sudah pasti ke selatan. Hal itu karena kuat arus listrik selalu tegak lurus dengan medan magnet.
Jadi, medan magnet yang melingkupi kawat tembaga tersebut adalah 100 T ke selatan.
Itulah pembahasan Quipper Blog kali ini. Semoga bisa bermanfaat buat Quipperian. Jangan lupa untuk tetap semangat belajar, ya. Agar belajarmu tambah semangat, yuk buruan gabung bareng Quipper Video karena dijamin lebih seru dan menarik. Salam Quipper!
Penulis: Eka Viandari