
Halo Quipperian! Pernahkah kalian mengamati pergerakan roda pada suatu kendaraan? Atau pernahkah kalian menaiki sebuah roller coaster? Ada suatu kesamaan dari dua kejadian tersebut yaitu pergerakan roda ataupun roller coaster tersebut membentuk sebuah lintasan berupa lingkaran. Pemahaman lintasan berupa lingkaran masuk ke dalam materi Gerak Melingkar Beraturan (GMB).
Pemahaman akan GMB ini sangat penting sekali karena banyak materi dan soal-soal latihan pada gerak melingkar beraturan disisipkan pada soal-soal untuk bab-bab selanjutnya seperti dinamika partikel ataupun dinamika rotasi. Istilah-istilah seperti kecepatan sudut ( ω), frekuensi sudut (ϝ), dan percepatan sudut ( α) masuk dalam variasi soal pada materi tersebut.
Sehingga pada sesi kali ini, Quipper Blog akan membahas tentang “Mengenal Konsep dari Gerak Melingkar Beraturan (GMB)” dan akan secara detail membahas tentang :
- Bentuk lintasan pada Gerak Melingkar Beraturan(GMB)
- Variabel-variabel pada Gerak Melingkar Beraturan(GMB)
- Hubungan sudut, kecepatan sudut, frekuensi, dan periode pada Gerak Melingkar Beraturan(GMB)
- Variasi rumus Gaya Sentripetal pada Gerak Melingkar Beraturan(GMB)
- Contoh soal Gerak Melingkar Beraturan dari Bank soal Quipper.
Pengertian Gerak Melingkar Beraturan
Pengertian akan konsep Gerak Melingkar Beraturan serupa dengan konsep Gerak lurus beraturan (GLB). Sebagaimana Quipperian ketahui, gerak lurus beraturan adalah gerak suatu benda yang menempuh lintasan garis lurus dengan kelajuan tetap. Pada GLB, baik besar kecepatan(kelajuan) maupun arah kecepatan adalah tetap. Sedangkan Gerak Melingkar beraturan didefiniskan sebagai gerak suatu benda menempuh lintasan melingkar dengan kelajuan (atau besar kecepatan) tetap artinya percepatan sudutnya nol. Jadi yang membedakan pada Gerak Melingkar Beraturan adalah lintasannya berupa lingkaran. Gambar 1 merupakan lintasan dari GMB.

Pada gerak melingkar beraturan terdapat variabel-variabel penting yang perlu kita pahami yaitu Periode (T), Frekuensi (f), kecepatan linier (v), kecepatan sudut (ω), percepatan sudut (α), perpindahan sudut (θ), kecepatan sudut rata-rata. Periode (T) adalah selang waktu yang diperlukan oleh suatu titik materi pada benda yang berputar terhadap suatu poros tertentu untuk menempuh satu kali putaran (atau sati kali melingkar). Frekuensi(f) adalah banyak putaran yang dapat dilakukan oleh suatu titik materi pada benda yang berputar terhdap suatu poros tertentu dalam selang waktu sekon. Antara periode dan frekuensi memiliki hubungan secara matematis yaitu sebagai berikut:

Kecepatan linier (v) adalah hasil bagi panjang lintasan linier yang ditempuh partikel dengan selang waktu tempuhnya. Rumusan matematisnya adalah:

Sedangkan kecepatan sudut (ω) adalah hasil bagi sudut pusat yang ditempuh partikel dengan selang waktu tempuhnya. Rumusan matematisnya adalah sebagai berikut:

Kecepatan linier memiliki hubungan matematis dengan kecepatan sudut yaitu sebagai berikut:

Perpindahan sudut (Δθ) adalah sudut yang disapu oleh sebuah garis radial mulai dari posisi awal garis θo ke posisi akhir garis θ. Tentu saja, Δθ = θ- θo. Arah perpindahan sudut adalah sebagai berikut :
- Δθ > 0 untuk putaran berlawanan arah jarum jam.
- Δθ < 0 untuk putaran searah jarum jam.
Satuan SI untuk Δθ adalah rad.
![]()
Nilai konversi sudut yang ada pada perpindahan sudut adalah sbb :

Derajat, putaran, dan radian merupakan besaran-besaran yang tidak memiliki dimensi.

Dalam gerak melingkar, kecepatan sudut rata-rata didefinisikan sebagai hasil bagi perpindahan sudut dengan selang waktu
Kecepatan sudut rata-rata = perpindahan sudut selang waktu

Arah kecepatan sudut ω adalah sebagai berikut :
- ω > 0 untuk putaran berlawanan arah jarum jam
- ω < 0 untuk putaran searah jarum jam.
Satuan SI untuk ω adalah rad/s.
Percepatan
Di dalam suatu gerak melingkar beraturan (GMB), terdapat nilai suatu percepatan. Percepatan tersebut selalu tegak lurus terhadap kecepatan liniernya dan mengarah ke pusat lingkaran disebut dengan percepatan sentripetal. (Kata sentripetal berasal dari kata Yunani, yang berarti mencari pusat). Untuk partikel yang melakukan gerak melingkar beraturan (GMB), laju linier adalah konstan, tetapi partikel masih mengalami percepatan sentripetal as yang dirumuskan sebagai berikut :

Saat GMB melakukan percepatan sentripetal, akan dihasilkan juga suatu gaya sentripetal. Rumus gaya sentripetal adalah sebagai berikut :

Beberapa gaya sentripetal yang terjadi pada tali adalah sebagai berikut : dilihat posisinya, ada 4 posisi yang ada yaitu : titik A, titik B, titik C, dan titik D. persamaan matematis pada titik-titik tersebut adalah sebagai berikut :
a. Gerak melingkar vertikal dengan tali

Persamaan umum yang dapat dibentuk adalah :
![]()
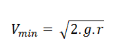
Kecepatan minimum yang dibutuhkan agar benda dapat mencapai titik B dari titik A adalah :

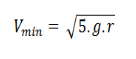
Kecepatan minimum yang dibutuhkan agar benda berputar satu lingkaran penuh :

b. Gerak melingkar vertikal di dalam bidang lingkaran :

Persamaan umum gerak melingkar vertikal di dalam bidang lingkaran yang dapat dibentuk adalah :
![]()
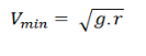
Kecepatan minimum pada C agar benda tidak meninggalkan lintasan :

Gerak melingkar vertikal di luar bidang lingkaran :

Persyaratan umum yang dapat dibentuk :

Kecepatan minimum agar benda tidak meninggalkan lintasan adalah :

Bagaimana Quipperian sudah mulai memahami tentang konsep dasar dan rumus dasar dari GMB. Agar kalian dapat lebih memahami materi tersebut, Quipper Blog berikan soal dan pembahasan dari bank soal Quipper yang selalu Up to Date untuk mempersiapkan kalian menghadapi segala test yang ada.
Contoh soal: Perpindahan sudut

Pembahasan:
Contoh soal: Frekuensi dan Periode

Pembahasan :

Contoh soal: Kecepatan sudut

Pembahasan:
Contoh soal: gaya sentripetal

Pembahasan :

Contoh soal: Tegangan tali di titik tertinggi

Pembahasan :


Bagaimana Quipperian sudah mulai memahami tentang Gerak Melingkar Beraturan (GMB)? Ternyata tidak sulit ya, apabila kita memahami konsep-konsep dasar serta banyak berlatih latihan soal yang telah Quipper Blog berikan. Apabila Quipperian ingin memahami konsep-konsep pelajaran lainnya serta ingin mematangkan keahlian mengerjakan soal khususnya di bidang Fisika. Ayo gabung bersama Quipper Video, karena di sana banyak video- video beserta animasi-animasi yang keren sehingga mempermudah kamu untuk memahami pelajaran lainnya. Tidak hanya itu, juga terdapat latihan soal beserta SOLUSI SUPER nya yang dapat mempermudah kamu untuk menjawab soal-soal ujian kalian. Salam Quipper.
- Kanginan, Marthen. 2013. Fisika Untuk SMA/MA Kelas X Jakarta: Penerbit Erlangga
- Kanginan, Marthen. 2006. Seribu Pena Fisika SMA Kelas X Jilid 2. Jakarta: Penerbit Erlangga
- Kanginan, Marthen. 2017. Master Book Physics (Metode Cepat menjadi Master Fisika). Bandung: Yrama Widya
Penulis: William Yohanes

