
Foto: unsplash.com
Hai Quipperian, bagaimana kabarnya? Semoga selalu sehat dan tetap semangat belajar di rumah, ya!
Pernah gak motormu mengalami ban bocor? Saat bocor, pasti kamu akan membawa motormu ke tukang tambal ban, kan? Nah, bagaimana jika yang bocor ban mobilmu? Apa mungkin kamu mendorong mobilmu sampai ke tempat penggantian ban?
Untuk mengantisipasi hal itu, biasanya di dalam mobil disediakan ban pengganti dan juga dongkrak hidrolik. Dongkrak hidrolik adalah alat yang bisa digunakan untuk mengangkat bagian mobil tertentu, misalnya di daerah ban.
Saat mobil terangkat itulah ban bisa diganti. Siapa sangka, ternyata prinsip kerja dongkrak hidrolik itu memanfaatkan salah satu hukum dalam Fisika, yaitu Hukum Pascal. Ingin tahu selengkapnya tentang Hukum Pascal? Check this out!
Apa Itu Hukum Pascal?
Hukum Pascal adalah salah satu hukum Fisika yang berlaku di dalam fluida statis. Hukum ini dirumuskan oleh ilmuwan asal Perancis, yaitu Blaise Pascal. Hukum Pascal menyatakan bahwa “tekanan yang diberikan pada suatu fluida di ruang tertutup akan diteruskan sama besar ke segala arah”. Untuk lebih jelasnya, simak gambar berikut.

Gambar di atas menunjukkan bahwa adanya benda seberat W menyebabkan tekanan di piston bawahnya (piston bagian kanan). Tekanan pada piston sebelah kanan tersebut akan diteruskan oleh fluida ke segala arah. Salah satunya ke dinding piston sebelah kiri. Hal itu menyebabkan dinding piston kiri menjadi kaku. Akibatnya, piston kiri akan menerima tekanan sama dengan piston sebelah kanan.
Rumusan Hukum Pascal

Foto: unsplash.com
Tak lengkap rasanya belajar Fisika tanpa disertai rumus. Begitu pula dengan Hukum Pascal. Berdasarkan penjelasan di atas, kira-kira seperti apa rumusan yang bisa Quipperian simpulkan? Berikut ini ulasannya.
Hukum Pascal menyatakan bahwa tekanan di piston sebelah kiri (piston 1) sama dengan sebelah kanan (piston 2). Secara matematis, dirumuskan sebagai berikut.
P1 = P2
Pada pembahasan tekanan, Quipperian sudah belajar tentang rumus tekanan, kan?

Jika rumus tekanan di atas disubstitusikan ke persamaan P1 = P2, maka akan menjadi seperti berikut.

Pada rumus di atas, A adalah luas penampang piston yang bisa dianggap berbentuk lingkaran. Dengan demikian, rumusnya bisa disederhanakan menjadi:

Keterangan:
P1 = tekanan pada piston 1, yaitu piston kiri (N/m2);
P2 = tekanan pada piston 2, yaitu piston kanan (N/m2);
F1 = gaya tekan pada penampang piston 1 (N);
F2 = gaya tekan pada penampang piston 2 (N);
A1 = luas penampang piston 1 (m2);
A2 = luas penampang piston 2 (m2);
r1 = jari-jari piston 1 (m); dan
r2 = jari-jari piston 2 (m).
Penerapan Hukum Pascal dalam Kehidupan Sehari-hari

Foto: freepik.com
Ternyata, Hukum Pascal memiliki banyak manfaat dalam kehidupan sehari-hari, contohnya sebagai berikut.
1. Dongkrak hidrolik
Seperti pada pembahasan di awal, saat ban mobilmu bocor kamu membutuhkan suatu alat yang disebut dongkrak. Dongkraknya biasa disebut sebagai dongkrak hidrolik. Keberadaan dongkrak berfungsi untuk menyeimbangkan mobil saat bannya diganti. Siapa sangka, ukuran dongkrak hidrolik jauh lebih kecil daripada mobil, lho.
Dengan memanfaatkan Hukum Pascal, dongkrak hidrolik tetap bisa mengangkat bagian mobil yang jauh lebih besar. Prinsip kerja dongkrak hidrolik sama dengan pembahasan pada gambar sebelumnya. Kamu misalkan saja benda di piston 2 adalah mobil.
2. Mesin hidrolik
Pada prinsipnya, mesin hidrolik sama dengan dongkrak hidrolik. Hanya saja, mesin hidrolik memiliki ukuran penampang piston lebih besar karena digunakan untuk mengangkat mobil secara keseluruhan. Contoh mesin hidrolik bisa kamu temukan di tempat cucian mobil dan bengkel-bengkel mobil skala besar.
3. Rem hidrolik
Rem hidrolik bisa ditemukan di mobil. Untuk menghentikan laju mobil yang sedang bergerak, kamu cukup menginjak rem dengan gaya yang cukup kecil. Prinsip kerja rem hidrolik adalah saat kamu menginjak pedal rem, gaya akan diteruskan melalui minyak menuju rem. Nah, rem itu akan menjepit velg mobil untuk kemudian berhenti.
Ternyata, Hukum Pascal punya manfaat penting di bidang otomotif, ya. Apakah Quipperian sudah paham dengan pembahasan di atas?
Untuk mengasah pemahamanmu tentang Hukum Pascal, simak contoh soal berikut.
Contoh Soal 1
Sebuah mobil yang beratnya 9.000 N diangkat dengan mesin hidrolik. Jika luas penampang piston kecil 5 cm2 dan piston besarnya 0,02 m2, berapakah besarnya gaya yang harus diberikan pada piston kecil mesin tersebut?
Diketahui:
F1 = 9.000 N
A1 = 0,02 m2
A2 = 5 cm2 = 5 × 10-4 m2
Ditanya: F2 =…?
Pembahasan:
Berdasarkan Hukum Pascal, diperoleh:

Jadi, gaya yang harus diberikan pada piston kecil adalah 225 N.
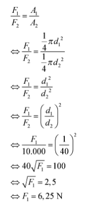
Contoh Soal 2
Sebuah dongkrak hidrolik memiliki rasio diameter piston 1 : 40. Pada piston besar dimuati beban 1 ton. Berapakah besar gaya yang harus diberikan pada piston kecil agar mencapai keadaan setimbang?
Pembahasan:
Diketahui:
Diameter piston kecil = d1
Diameter piston besar = d2
d1 : d2 = 1 : 40
m2 = 1 ton = 1.000 kg
Ditanya: F1 =…?
Pembahasan:
Pertama, tentukan dahulu gaya yang bekerja pada piston besar.
F2 = w = mg = 1.000 × 10 = 10.000 N
Kemudian, gunakan persamaan Hukum Pascal.

Jadi, besarnya gaya yang harus diberikan pada piston kecil adalah 6,25 N.
Contoh Soal 3
Sebuah dongkrak hidrolik memiliki perbandingan luas penampang 15 : 1. Tentukan gaya minimal yang diperlukan untuk mengangkat beban seberat w!
Pembahasan:
Diketahui:
A1 : A2 = 15 : 1
F1 = w
Ditanya: F2 =…?
Pembahasan:
Berdasarkan Hukum Pascal diperoleh:

Itulah pembahasan Quipper Blog tentang Hukum Pascal. Semoga bermanfaat bagi Quipperian. Jangan lupa untuk tetap belajar meskipun berada di rumah. Jadilah siswa produktif bersama Quipper Video. Quipper Video menyediakan ribuan soal yang bisa kamu kerjakan saat di rumah saja. Salam Quipper!
Penulis: Eka Viandari