Quipperian, apakah saat ini kamu merasa bumi jadi semakin panas? Siang hari terasa sangat terik dan hujan jarang turun meski sudah memasuki musimnya. Tidak hanya di Indonesia, anomali cuaca juga terjadi di belahan dunia lain. Di Mesir, daerah gurun yang sangat panas pun beberapa kali telah turun salju! Peristiwa perubahan cuaca secara menyeluruh tersebut dinamakan perubahan iklim yang disebabkan oleh pemanasan global.
Lalu, sebenarnya apa sih pemanasan global itu? Bagaimana proses terjadinya dan apa yang bisa kita lakukan untuk menghambatnya? Yuk, simak artikel Quipper Blog di bawah ini!
Definisi Pemanasan Global
Merupakan proses naiknya suhu rata-rata permukaan bumi akibat meningkatnya emisi gas rumah kaca di bumi. Beberapa gas yang memberikan sumbangan terbesar bagi emisi gas rumah kaca adalah karbon dioksida (CO2), metana (CH4), nitrogen oksida (N2O), dan uap air (H2O). Gas-gas tersebut dinamakan juga gas rumah kaca karena kemampuannya mengikat sebagian panas agar tidak lepas ke angkasa, serupa dengan kemampuan rumah kaca.
Pemicu yang Mempercepat Prosesnya
Jika menilik dari jenis-jenis gas yang menyebabkan terjadinya efek rumah kaca, dapat disimpulkan bahwa proses ini bisa terjadi secara alami. Berikut beberapa penyebab alami terjadinya efek rumah kaca:
- Gas CO2 dan H2O yang dihasilkan dari proses respirasi seluruh makhluk hidup di bumi.
- Gas CH4 yang menguap sebagai hasil dari penguraian feses hewan ternak maupun tanaman oleh bakteri.
Akan tetapi, faktanya aktivitas-aktivitas manusia di permukaan bumi membuat peristiwa ini berlangsung jauh lebih cepat. Beberapa aktivitas tersebut, antara lain:
- Penggunaan kendaraan bermotor yang mengeluarkan gas karbon monoksida. Karbon monoksida juga merupakan salah satu gas rumah kaca.
- Gas buang dari industri berupa karbon monoksida, karbon dioksida, metana, dan lain-lain, terlebih saat ini bidang industri sedang berkembang dengan sangat pesat.
- Luas hutan yang semakin menurun akibat maraknya pembukaan lahan untuk pembangunan dan industri. Tanaman hijau mampu mengubah CO2 menjadi makanan dengan bantuan sinar matahari. Dengan berkurangnya lahan hijau, berkurang juga kemampuan bumi menyerap CO2 di atmosfer.
- Penggunaan gas CFC (Chloro Fluoro Carbon) yang tidak terkontrol pada lemari pendingin dan AC. Gas CFC juga merupakan salah satu penyumbang emisi gas rumah kaca.
- Pembakaran sampah yang menghasilkan karbon dioksida.
Proses Terjadinya Pemanasan Global
Proses terjadinya sesuai dengan Hukum Termodinamika II yang Quipperian pelajari di jenjang SMA kelas XI. Masih ingatkah?
Bunyi Hukum Termodinamika II tersebut adalah:
Kalor mengalir secara spontan atau alami dari material dengan suhu yang lebih tinggi ke material dengan suhu yang lebih rendah. Kalor tidak akan mengalir secara spontan dari material yang lebih dingin ke material yang lebih panas tanpa dilakukan usaha dari luar.
Salah satu aplikasi penggunaan Hukum Termodinamika II adalah pada Mesin Carnot, yaitu mesin kalor yang beroperasi dalam siklus yang reversibel (proses di dalam sistem yang kondisinya hampir selalu setimbang). Mesin tersebut memiliki suhu reservoir tinggi dan rendah yang memungkinkan mesin memiliki efisiensi maksimum (usaha terkecil yang dilakukan sistem untuk menyerap kalor sebanyak mungkin).
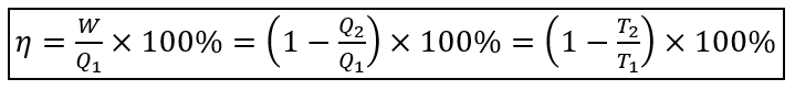
Efisiensi suatu Mesin Carnot dapat dihitung menggunakan rumus:
Keterangan:
W = usaha yang dilakukan sistem
Q1 = kalor yang diserap sistem
Q2 = kalor yang dilepaskan sistem
T1 = suhu reservoir tinggi (K)
T2 = suhu reservoir rendah (K)
Contoh:
Suatu mesin memiliki suhu reservoir tinggi 400°C dan suhu reservoir rendah 70°C. Hitunglah efisiensi mesin tersebut!
Penyelesaian:
Diketahui:
T1 = 400oC = 673 K
T2 = 70oC = 343 K
Ditanyakan:
Jawab:
Jadi, efisiensi mesin sebesar 49%.
Penjelasan mendasar mengenai Hukum Termodinamika di atas adalah sebagai berikut:
Jika kita meletakkan benda yang panas menempel dengan benda yang dingin, tidak mungkin benda yang panas akan menjadi lebih panas dan benda yang dingin akan menjadi lebih dingin. Yang terjadi adalah, secara alami, panas akan mengalir dari benda yang panas ke benda yang dingin. Sebagai contoh, jika kita meletakkan air panas ke dalam air es, campuran air tersebut tidak akan jadi mendidih.
Proses terjadinya pemanasan global dapat dianalogikan dengan proses menjadi hangatnya tubuh manusia ketika menggunakan selimut.
Manusia sebagai bumi. Selimut sebagai lapisan gas rumah kaca yang berada di atmosfer bumi. Manusia menggunakan selimut serupa dengan bumi yang dilindungi oleh lapisan gas rumah kaca seperti CO2, CH4, N2O, dan H2O. Panas dari matahari dianalogikan sebagai panas yang diterima tubuh manusia dari luar. Aktivitas manusia yang menghasilkan panas di permukaan bumi dianalogikan dengan panas yang diproduksi oleh tubuh manusia melalui proses metabolisme.
Di saat permukaan kulit kita terasa dingin, kita akan menggunakan selimut. Proses metabolisme tubuh menghasilkan panas yang dikeluarkan ke lingkungan. Kemudian, selimut tersebut menahan sebagian panas untuk tetap ada di permukaan kulit dan berdasarkan Hukum Termodinamika II, aliran panas tersebut akan menaikkan suhu permukaan kulit kita sehingga membuat kita merasa lebih hangat.
Begitu juga dengan pemanasan yang terjadi pada bumi. Panas yang diterima, baik secara alami dari sinar matahari maupun secara buatan melalui aktivitas manusia, sebagian energinya tidak dapat dilepaskan ke angkasa dan tertahan oleh gas-gas emisi (CO2, CH4, N2O, dan H2O) di permukaan bumi.
Berdasarkan Hukum Termodinamika II, aliran panas tersebut menyebabkan suhu di permukaan bumi menjadi naik dan proses terus-menerus selama bertahun-tahun secara umum mengubah iklim di bumi hingga mampu mencairkan es di Kutub Utara dan Selatan, menaikkan permukaan laut, dan berbagai bentuk perubahan iklim global lainnya.
Hal yang Bisa Dilakukan untuk Menghambat Terjadinya Pemanasan Global
Seperti yang telah dijabarkan di atas, secara alami, proses ini pasti terjadi. Akan tetapi, ada beberapa hal yang bisa kita lakukan untuk menghambat proses tersebut, antara lain:
- Mengurangi penggunaan kendaraan bermotor dengan mengurangi penggunaan kendaraan pribadi dan beralih ke kendaraan umum.
- Mengurangi konsumsi makanan impor yang melalui banyak proses industri seperti pengawetan yang menghasilkan gas buang berupa gas rumah kaca.
- Mengurangi penebangan hutan liar atau pembukaan lahan yang tak terkendali dan memulai gerakan menanam kembali tumbuhan hijau.
- Menggunakan alat elektronik ramah lingkungan yang tidak mengandung CFC.
- Mengolah sampah dengan membuang sampah pada tempatnya, memisahkan jenis sampah, dan mendaur ulang, bukan membakar.
Selama ribuan tahun, bumi telah menjadi satu-satunya rumah bagi milyaran manusia. Mari, kita jaga bumi agar tetap bisa menjadi rumah yang nyaman. Jika Quipperian ingin mengetahui lebih dalam tentang perubahan suhu dan iklim bumi, kamu bisa mempelajarinya lebih dalam dan menarik melalui materi-materi yang ada di Quipper Video, lho! Yuk, berlangganan dengan klik link di bawah ini!
Link cara daftar: bit.ly/caradaftarquipper
Link registrasi: https://learn.quipper.com/signup/video/ID
Penulis: Laili Miftahur Rizqi



