
Hai Quipperian, bagaimana kabarnya? Semoga selalu sehat dan tetap semangat belajar, ya.
Pada artikel ini, Quipper Blog akan mengajak Quipperian untuk belajar tentang perpindahan kalor. Kalor merupakan besaran penting dalam kehidupan, mengapa demikian? Karena tanpa ada kalor, kehidupan makhluk hidup pasti akan terganggu.
Contohnya, kalor yang berasal dari radiasi sinar Matahari mampu menghangatkan Bumi. Jika tidak mendapatkan energi kalor dari Matahari, maka Bumi akan beku. Bumi yang beku tentu tidak bisa dijadikan tempat tinggal oleh milyaran makhluk hidup. Ingin tahu bahasan selengkapnya tentang kalor? Check this out!
Pengertian Kalor

Kalor adalah energi dalam bentuk panas yang dapat mengalami perpindahan dari tempat bersuhu tinggi ke tempat yang suhunya lebih rendah. Kalor memiliki satuan internasional Joule (J). Satuan lain dari kalor adalah kalori (kal). Satu kalori berarti banyaknya kalor yang dibutuhkan untuk memanaskan 1 gram air sampai suhunya naik 1 0C. Untuk mengonversi satuan dari joule ke kalori atau sebaliknya, gunakan persamaan berikut.

Kalor Jenis
Kalor jenis adalah karakteristik suatu zat yang menunjukkan kemampuannya menyerap kalor. Untuk menentukan besarnya kalor jenis tiap zat, Quipperian bisa menggunakan persamaan berikut.

Keterangan:
Q = energi kalor (J);
c = kalor jenis (J/kg oC);
m = massa (kg); dan
∆T = perubahan suhu (oC).
Untuk kalor jenis beberapa zat yang sudah diketahui, bisa Quipperian lihat di tabel berikut ini.

Kapasitas Kalor
Sebelumnya, kamu sudah dikenalkan dengan kalor jenis. Nah, sekarang kamu akan dikenalkan dengan kapasitas kalor. Apa itu kapasitas kalor? Kapasitas kalor adalah banyaknya energi yang diperlukan untuk menaikkan suhu zat sebesar 1 oC. Secara matematis, kapasitas kalor dirumuskan sebagai berikut.

Keterangan:
Q = energi kalor (J);
C = kapasitas kalor (J/ oC);
c = kalor jenis (J/kg oC);
m = massa (kg); dan
∆T = perubahan suhu (oC).
Azas Black
Saat membahas tentang kalor, pasti kamu akan bertemu dengan istilah azas Black. Pada tahun 1760, seorang ilmuwan asal Skotlandia, yaitu Joseph Black, berhasil merumuskan suatu konsep tentang aliran kalor dari dua zat yang berbeda suhu. Konsep itu disebut sebagai azas Black.
Azas Black menyatakan jumlah kalor yang dilepaskan oleh zat bersuhu tinggi sama dengan jumlah kalor yang diterima oleh zat bersuhu lebih rendah. Secara matematis, dinyatakan sebagai berikut.

Prinsip Kerja Kalorimeter
Kalorimeter adalah alat yang digunakan untuk menentukan besarnya energi kalor suatu zat. Prinsip kerja kalorimeter didasarkan pada azas Black, yaitu campuran antara benda berbeda suhu, akan mengakibatkan transfer kalor. Benda bersuhu tinggi akan melepaskan kalor, sedangkan benda bersuhu lebih rendah akan menerima kalor.
Dalam kasus ini, berlaku hukum kekekalan energi, yaitu energi tidak dapat diciptakan dan dimusnahkan, melainkan hanya berubah dari satu bentuk ke bentuk yang lain. Kalorimeter harus berupa sistem tertutup agar tidak ada kalor yang lepas ke lingkungan.

Perpindahan Kalor

Quipperian harus ingat bahwa kalor merupakan energi. Artinya, kalor bisa berpindah dari satu tempat ke tempat yang lain. Perpindahan kalor dibedakan menjadi tiga, yaitu konduksi, konveksi, dan radiasi. Adapun perbedaan ketiganya adalah sebagai berikut.
- Konduksi adalah perpindahan kalor dari tempat bersuhu tinggi ke tempat bersuhu lebih rendah dan tidak disertai perpindahan zat perantaranya. Artinya, terjadi pertukaran energi kalor secara langsung. Contohnya saat kamu meletakkan sendok di atas tutup panci yang sedang dipanaskan. Semakin lama, sendok akan ikut menjadi panas karena ada aliran kalor dari tutup panci ke sendok.
- Konveksi adalah perpindahan atau aliran kalor yang disertai perpindahan zat perantaranya. Contohnya terbentuknya angin darat dan angin laut.
- Radiasi adalah perpindahan kalor tanpa melalui zat perantara. Contohnya sinar Matahari yang sampai ke Bumi tidak membutuhkan medium apapun untuk merambat.
Untuk mengasah pemahaman kamu tentang kalor, yuk simak contoh soal berikut ini.
Contoh Soal 1
Suatu zat bermassa 3 kg membutuhkan kalor sebanyak 9,45 kJ untuk menaikkan suhunya dari 20 oC ke 90 oC. Tentukan kalor jenis zat tersebut!
Pembahasan:
Diketahui:
m = 3 kg
Q = 9,45 kJ = 9.450 J
∆T = T2 – T1 = (90 – 20)oC = 70 OC
Ditanya: c =…?
Penyelesaian:
Untuk menentukan kalor jenis zat tersebut, gunakan persamaan berikut.
Jadi, kalor jenis zat tersebut adalah 45 J/kg oC.
Contoh Soal 2
Dalam suatu percobaan, digunakan lempeng alumunium bermassa 2 kg. Untuk menaikkan suhu lempeng sebesar 2 oC, dibutuhkan kalor sebanyak 3.600 J. Tentukan kapasitas kalor lempeng tersebut!
Pembahasan:
Diketahui:
m = 2 kg
∆T = 2 oC
Q = 3.600 J
Ditanya: C = …?
Penyelesaian:
Untuk menentukan kapasitas kalor, Quipperian harus mencari dulu kalor jenisnya.

Kemudian, tentukan kapasitas kalornya.

Jadi, kapasitas kalornya adalah 1.800 J/oC.
Contoh Soal 3
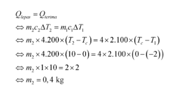
Sebongkah es bermassa 4 kg memiliki suhu -2 oC. Es tersebut dimasukkan ke dalam gelas berisi air dingin yang bersuhu 10 oC. Jika suhu campurannya 0 oC dan tidak ada es yang tersisa, tentukan banyaknya air dingin dalam gelas tersebut! (ces = 2.100 J/kg oC dan cair = 4.200 J/kg oC)
Pembahasan:
Diketahui:

Ditanya: m2 =…?
Penyelesaian:
Untuk menyelesaikan soal tersebut, gunakan azas Black.
Jadi, banyaknya air dingin dalam gelas tersebut adalah 0,4 kg.
Itulah pembahasan Quipper Blog tentang kalor. Semoga bermanfaat, ya. Jika kamu ingin melihat contoh soal yang lainnya, silakan gabung bersama Quipper Video. Jadikan Quipper Video sebagai mitra belajar yang asyik dan menyenangkan. Salam Quipper!
[spoiler title=SUMBER]
Penulis: Eka Viandari