
Foto: freepik.com
Hai Quipperian, bagaimana kabarnya? Semoga selalu sehat dan tetap semangat, ya!
Sebentar lagi kamu akan menghadapi PTS atau Penilaian Tengah Semester. Kira-kira, berapa persen persiapan yang sudah kamu lakukan? Daripada bingung ngitung berapa persennya, yuk belajar bareng Quipper Blog.
Mungkin Quipperian pernah melihat radio yang biasa digunakan oleh orang tua zaman dulu? Pada radio tersebut, terdapat tunner yang berfungsi untuk mencari gelombang FM atau channel radio-radio terdekat. Cara penggunaannya cukup diputar dan di-set agar suara channel radionya jelas.
Ternyata, tunner radio tersebut terdiri dari serangkaian komponen yang disusun sedemikian rupa, untuk memudahkan pengguna dalam memindah gelombang FM.
Nah, salah satu komponen yang digunakan dalam rangkaian adalah kapasitor. Memangnya, apa sih kapasitor itu? Ingin tahu selengkapnya? Check this out!
Pengertian Kapasitor

Foto: pixabay.com
Kapasitor merupakan komponen elektronik yang berfungsi untuk menyimpan muatan listrik. Dalam dunia elektronika, kapasitor biasa dilambangkan sebagai C.
Ilmuwan yang pertama kali menemukan adanya kapasitor adalah Michael Faraday. Itulah mengapa nama Faraday disematkan sebagai satuan dari kapasitansi, yaitu Farad (F).
Struktur Kapasitor

Foto: pixabay.com
Pada dasarnya, kapasitor tersusun atas dua buah pelat besi yang dipisahkan oleh suatu bahan dielektrik. Bahan dielektrik adalah bahan yang bersifat sebagai isolator listrik. Artinya, tidak akan ada arus listrik yang akan melalui bahan dielektrik.
Bahan ini bisa berupa zat padat, cair, dan gas. Contoh bahan dielektrik yang umum digunakan adalah udara, keramik, gelas, nitrogen, maupun belerang. Untuk lebih jelasnya tentang struktur kapasitor, simak gambar berikut.

Berdasarkan gambar di atas, terlihat bahwa saat pelat dihubungkan dengan sumber tegangan (V), muatan positif akan mengumpul di salah satu kaki elektroda (elektroda pelat P) dan muatan negatif akan mengumpul di kaki elektroda yang lain (elektroda pelat R).
Muatan positif tidak dapat mengalir ke kutub negatif dan sebaliknya. Hal itu dikarenakan adanya bahan dielektrik yang mengisi celah antarpelat sejauh d.
Jika kapasitor mengalami konduksi, muatan-muatan tersebut akan menuju ke kutub yang saling berlawanan dengan cara memercik melewati bahan dielektrik.
Kapasitas Kapasitor

Foto: pixabay.com
Kapasitor berfungsi untuk menyimpan muatan. Lalu, bagaimana cara menentukan banyaknya muatan yang tersimpan? Banyaknya muatan yang tersimpan berbanding lurus dengan beda potensial yang digunakan. Secara matematis, dirumuskan sebagai berikut.

Keterangan:
Q = muatan listrik (C);
V = beda potensial (Volt); dan
C = kapasitas kapasitor (Farad/F).
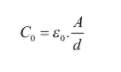
Jenis bahan dielektrik yang digunakan juga berpengaruh pada besarnya kapasitas kapasitor. Secara matematis, dirumuskan sebagai berikut.

Keterangan:
C0 = kapasitas kapasitor di dalam udara (F);
ε0 = permitivitas ruang hampa (8,85 × 10-12 C2/Nm2);
A = luas keping sejajar (m2); dan
d = jarak antara dua keping (m).
Untuk bahan dielektrik selain udara, gunakan persamaan berikut.
Keterangan:
C = kapasitas kapasitor saat disisipi bahan dielektrik selain udara (F);
C0 = kapasitas kapasitor di dalam udara (F); dan
K = konstanta dielektrik yang nilainya ≥ 1.
Dari beberapa persamaan di atas, terlihat bahwa kapasitas kapasitor tidak hanya dipengaruhi oleh besarnya beda potensial, melainkan juga bahan dielektriknya.
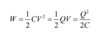
Energi Kapasitor

Foto: pixabay.com
Ingat bahwa kapasitor merupakan komponen yang berfungsi untuk menyimpan muatan listrik. Artinya, di dalam kapasitor juga tersimpan energi listrik. Secara matematis, energi listrik yang dihasilkan oleh kapasitor dirumuskan sebagai berikut.

Keterangan:
W = energi kapasitor (J);
C = kapasitas kapasitor (F);
V = beda potensial (Volt); dan
Q = muatan listrik (C).
Susunan Kapasitor

Foto: pixabay.com
Jika di materi hambatan listrik kamu pernah belajar tentang susunan hambatan listrik, baik seri, paralel, maupun campuran, maka hal itu juga berlaku untuk kapasitor. Kapasitor bisa disusun secara seri, paralel, maupun campuran. Adapun penjelasan untuk masing-masing adalah sebagai berikut.
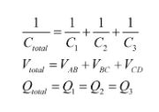
1. Susunan Seri
Susunan seri adalah susunan secara berurutan pada kapasitor. Untuk lebih jelasnya, perhatikan gambar berikut.

Secara matematis, persamaan yang berlaku pada susunan di atas adalah sebagai berikut.

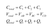
2. Susunan Paralel
Susunan paralel adalah susunan kapasitor dengan cara berjajar. Adapun gambarnya adalah sebagai berikut.

Persamaan yang berlaku pada susunan di atas adalah sebagai berikut.

Tak lengkap rasanya belajar Fisika tanpa latihan soal. Untuk itu, Quipper Blog akan memberikan beberapa contoh soal yang bisa Quipperian jadikan bahan belajar. Yuk, simak contoh soalnya!
Contoh Soal 1
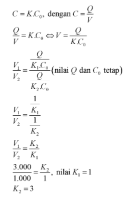
Suatu kapasitor keping sejajar memiliki luas tiap keping 2.000 cm2 dan terpisah sejauh 1 cm. Bila diisi udara, beda potensial kepingnya 3.000 volt. Bila diisi suatu bahan dielektrik, beda potensialnya menjadi 1.000 volt. Tentukan konstanta dielektrik bahan tersebut!
Pembahasan:
Diketahui:
A = 2.000 cm2
V1 = 3.000 volt
V2 = 1.000 volt
Ditanya: K2 =…?
Penyelesaian:
Untuk mencari konstanta dielektriknya, gunakan perbandingan berikut.

Jadi, konstanta dielektriknya adalah 3.
Contoh Soal 2
Sebuah kapasitor dipasang pada tegangan 220 volt. Bila muatan yang tersimpan 110 μC, tentukan kapasitas kapasitornya!
Pembahasan:
Diketahui:
V = 220 volt
Q = 110 μC
Ditanya: C =…?
Pembahasan:
Gunakan persamaan berikut untuk mencari kapasitas kapasitor.

Jadi, kapasitas kapasitornya adalah 0,5 μF.
Contoh Soal 3
Lima buah kapasitor memiliki kapasitas yang sama, yaitu 3 μF. Jika kelimanya disusun secara paralel lalu dihubungkan dengan beda potensial 4 volt, berapakah besarnya muatan listrik yang tersimpan di dalamnya?
Pembahasan:
Diketahui:
C1 = C2 = C3 = C4 = C5 = 3 Μf
V = 4 volt
Ditanya: Q =…?
Penyelesaian:
Ingat, pada soal di atas tertulis bahwa kapasitor disusun secara paralel. Artinya, kamu harus mencari susunan penggantinya dahulu. Secara matematis, dirumuskan sebagai berikut.

Jadi, besar muatannya adalah 60 μF.
Itulah pembahasan Quipper Blog tentang kapasitor. Semoga bermanfaat buat kamu semua, ya. Jangan lupa untuk tetap stay bareng Quipper Video. Selama #dirumahaja, Quipper Video memberikan banyak kemudahan yang bisa kamu manfaatkan secara gratis. Bagi yang belum join, yuk buruan klik di sini. Salam Quipper!
- https://blog.ub.ac.id/dedeadee/2013/02/19/bahan-dielektrik/
- https://id.wikipedia.org/wiki/Dielektrik
- https://repository.unikom.ac.id/34122/1/kapasitor.pdf
Penulis: Eka Viandari