
Hai Quipperian, bagaimana kabarnya? Semoga selalu sehat dan tetap semangat ya!
Coba tebak, bagaimana cara astronot berkomunikasi di luar angkasa? Apakah mereka bisa bercakap-cakap layaknya orang yang ada di Bumi? Jika mereka bercakap-cakap seperti saat di Bumi, tentu suara mereka tidak akan terdengar satu sama lain. Hal itu karena di luar angkasa merupakan ruang hampa udara. Oleh karena itu, para astronot bisa berkomunikasi menggunakan gelombang radio.
Mengapa gelombang bunyi tidak bisa merambat di luar angkasa, sementara gelombang radio bisa merambat di luar angkasa? Gelombang bunyi termasuk dalam gelombang mekanik, yaitu gelombang yang membutuhkan medium untuk merambat.
Sebaliknya, gelombang radio merupakan gelombang elektromagnetik yang tidak membutuhkan medium untuk merambat. Keadaan tersebut menunjukkan bahwa gelombang itu bermacam-macam jenis dan karakteristiknya. Ingin tahu selengkapnya tentang macam-macam gelombang beserta karakteristiknya? Simak ulasan berikut.
Pengertian Gelombang

Gelombang adalah getaran yang merambat. Gejala gelombang bisa diamati dengan mudah, contohnya gelombang air laut akibat hembusan angin. Selama merambat, gelombang akan memindahkan energi tertentu dari satu tempat ke tempat lainnya. Namun demikian, medium perambatan gelombang tidak ikut pindah.
Macam-macam Gelombang

A. Berdasarkan Medium Rambatannya
Berdasarkan medium perambatannya, gelombang dibagi menjadi dua, yaitu sebagai berikut.
1. Gelombang mekanik
Gelombang mekanik adalah gelombang yang membutuhkan medium untuk merambat. Artinya, jika tidak ada medium, gelombang tidak akan pernah terjadi. Hal ini bisa Quipperian lihat pada kasus percakapan astronot di luar angkasa.Gelombang yang termasuk gelombang mekanik ini adalah gelombang bunyi, gelombang tali, dan gelombang air laut.
2. Gelombang elektromagnetik
Gelombang elektromagnetik adalah gelombang yang tidak membutuhkan medium untuk merambat. Artinya, gelombang ini bisa merambat dalam ruang hampa sekalipun. Contoh gelombang elektromagnetik adalah cahaya, gelombang radio, sinar-X, sinar gamma, inframerah, dan sinar ultraviolet.
B. Berdasarkan Arah Getar dan Arah Rambatnya
Berdasarkan arah getar dan arah rambatannya, gelombang dibagi menjadi dua, yaitu sebagai berikut.
1. Gelombang transversal
Gelombang transversal adalah gelombang yang arah getarnya tegak lurus dengan arah rambatannya. Contoh gelombang transversal adalah gelombang tali, cahaya, seismik sekunder, dan sebagainya. Berikut ini merupakan contoh gelombang transversal pada tali.

2. Gelombang longitudinal
Gelombang longitudinal adalah gelombang yang arah getarnya sejajar dengan arah rambatannya. Ciri gelombang ini adalah memiliki rapatan dan renggangan. Contoh gelombang longitudinal adalah gelombang bunyi, pegas, dan seismik primer. Berikut ini contoh gelombang longitudinal pada pegas.

C. Berdasarkan Amplitudonya
Berdasarkan amplitudonya, gelombang dibagi menjadi dua, yaitu gelombang berjalan dan stasioner.
1. Gelombang berjalan
Gelombang berjalan adalah gelombang yang memiliki amplitudo tetap. Artinya, setiap titik yang dilalui gelombang amplitudonya selalu sama besar. Contoh gelombang berjalan adalah gelombang air.
2. Gelombang stasioner
Gelombang stasioner adalah perpaduan antara gelombang datang dan gelombang pantul yang amplitudo dan frekuensinya sama tetapi arah rambatnya berlawanan. Titik yang bergetar dengan amplitudo maksimum disebut perut, sedangkan titik yang bergetar dengan amplitudo minimum disebut simpul.
Besaran-besaran dalam Gelombang

Jika Quipperian membahas tentang gelombang, pasti ada besaran-besaran utama yang harus dipahami. Adapun besaran-besaran yang dimaksud adalah sebagai berikut.
1. Amplitudo (A)
Amplitudo adalah simpangan maksimum gelombang yang memiliki satuan meter (m).
2. Panjang gelombang (λ)
- Jika ditinjau dari gelombang transversal, panjang gelombang adalah jarak antara dua puncak yang berdekatan atau jarak antara dua lembah yang berdekatan.
- Jika ditinjau dari gelombang longitudinal, panjang gelombang adalah jarak antara dua rapatan atau dua regangan yang saling berdekatan.
3. Frekuensi gelombang (f)
Frekuensi adalah banyaknya gelombang yang bisa terbentuk setiap detik. Secara matematis, frekuensi dirumuskan sebagai berikut.

Keterangan:
f = frekuensi gelombang (Hz);
n = jumlah gelombang yang terbentuk; dan
t = waktu tempuh gelombang (s).
4. Periode gelombang (T)
Periode adalah waktu yang dibutuhkan gelombang untuk menempuh satu panjang gelombangnya. Periode juga bisa didefinisikan sebagai waktu yang dibutuhkan gelombang untuk melakukan satu kali putaran. Secara matematis, periode dirumuskan sebagai berikut.
Keterangan:
f = frekuensi gelombang (Hz);
T = periode (s);
n = jumlah gelombang yang terbentuk; dan
t = waktu tempuh gelombang (s).
5. Cepat rambat gelombang
Cepat rambat adalah panjangnya jarak yang ditempuh oleh gelombang tiap satuan waktu. Secara matematis, cepat rambat gelombang dirumuskan sebagai berikut.

Keterangan:
f = frekuensi gelombang (Hz);
T = periode (s);
v = cepat rambat gelombang (m/s); m
λ = panjang gelombang (m).
Sifat-sifat Gelombang

Sifat-sifat gelombang adalah karakteristik atau ciri yang melekat pada gelombang. Quipperian tidak akan menemukan sifat tersebut pada objek selain gelombang. Memangnya, apa saja sih sifat-sifat gelombang itu?
1. Pembiasan (refraksi)
Pembiasan merupakan peristiwa pembelokan arah lintasan gelombang karena melalui dua medium yang berbeda. Jika medium yang dilalui berbeda, maka indeks bias medium juga berbeda. Perbedaan indeks biasa inilah yang menyebabkan cepat rambat cahaya berbeda, sehingga seolah-olah ada pembelokan arah lintasan cahaya. Secara matematis, pembiasan dirumuskan sebagai berikut.

Keterangan:
n = indeks biasa;
c = cepat rambat cahaya di ruang hampa (m/s); dan
v = cepat rambat cahaya di dalam medium tertentu (m/s).
Gejala pembiasan ini pertama kali diteliti oleh Snellius. Dengan demikian, hukum yang berlaku pada peristiwa pembiasan selalu mengikuti hukum Snellius. Untuk lebih jelasnya, simak gambar berikut.

Secara matematis, Snellius bisa dirumuskan sebagai berikut.
Keterangan:
i = sudut datang;
r = sudut bias;
n1 = indeks bias medium pertama;
n2 = indeks bias medium kedua;
v1 = cepat rambat cahaya di medium pertama (m/s); dan
v2 = cepat rambat cahaya di medium kedua (m/s).
2. Difraksi (pelenturan)
Difraksi adalah pelenturan atau penyebaran gelombang saat melalui celah sempit. Contoh difraksi pada gelombang cahaya adalah terbentuknya rumbai (garis) gelap dan terang pada layar. Contoh difraksi pada gelombang bunyi adalah saat kamu berada di gang sempit, kamu masih bisa mendengar suara mobil atau kendaraan lain.
3. Refleksi (pemantulan)
Refleksi adalah perubahan arah rambat gelombang saat bertemu dengan bidang batas dua medium. Pemantulan ini ternyata mengacu pada suatu hukum yang disebut hukum pemantulan. Adapun pernyataan hukum pemantulan adalah sebagai berikut.
- Besarnya sudut datang dan sudut pantul adalah sama.
- Gelombang datang, gelombang pantul, dan garis normal berada pada satu bidang datar.
Berikut ini ilustrasinya!

4. Dispersi
Pernahkah kamu melihat pelangi? Peristiwa yang terjadi pada pembentukan pelangi adalah dispersi. Dispersi adalah penguraian warna polikromatik (putih) menjadi monokromatik saat seberkas cahaya dilewatkan melalui prisma. Cahaya polikromatik yang awalnya berwarna putih akan terurai menjadi merah, jingga, kuning, hijau, biru, nila, dan ungu. Berikut ini contoh ilustrasinya.

Sinar yang datang dan keluar dari prisma akan membentuk suatu sudut yang disebut sudut deviasi. Besarnya sudut deviasi antara warna merah dan ungu dirumuskan sebagai berikut.

5. Interferensi
Interferensi adalah perpaduan antara dua gelombang cahaya. Interferensi bisa diamati dengan jelas jika berkas kedua gelombang bersifat koheren (amplitudo dan frekuensinya sama dengan fase tetap). Interferensi dibagi menjadi dua, yaitu interferensi konstruktif (menguatkan) dan destruktif (melemahkan). Ilustrasi keduanya bisa Quipperian lihat di gambar berikut.

6. Efek Doppler
Efek Doppler adalah efek berubahnya frekuensi bunyi akibat adanya kecepatan relatif antara sumber dan pengamat. Secara matematis, efek Doppler dirumuskan sebagai berikut.

7. Polarisasi
Polarisasi adalah terserapnya sebagian arah getar gelombang. Hal itu menyebabkan gelombang keluaran hanya memiliki satu arah saja. Gejala polarisasi ini hanya bisa terjadi pada gelombang transversal. Perhatikan contoh polarisasi berikut ini.

Nah, sudah paham kan tentang karakteristik gelombang? Agar kamu lebih paham, perhatikan contoh soal berikut.
Contoh soal 1
Gelombang air laut mendekati perahu dengan cepat rambat 10 m/s. Jika jarak antara dua puncak gelombang yang berdekatan adalah 2 m, tentukan periode dan frekuensi gelombangnya!
Pembahasan:
Diketahui:
v = 10 m/s
λ = 2 m
Ditanya: T dan f =…?
Pembahasan:
Berdasarkan rumus cepat rambat gelombang, diperoleh:
Frekuensinya dirumuskan sebagai berikut.
Jadi, periode dan periode gelombangnya berturut-turut adalah 0,2 s dan 5 Hz.
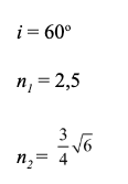
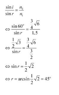
Contoh soal 2

Pembahasan:
Diketahui:

Ditanya: r =…?
Pembahasan:
Berdasarkan hukum Snellius, diperoleh:

Jadi, besar sudut biasnya adalah 45o.
Contoh soal 3
Perhatikan gambar berikut.

Tentukan besarnya sudut pantul pada cermin ketiga (θ)!
Pembahasan:
Untuk menentukan besarnya sudut pantul di cermin ketiga, gunakan SUPER “Solusi Quipper” berikut ini.

Bagaimana Quipperian, sudah semakin paham dengan materi gelombang ini? pada dasarnya, karakteristik gelombang itu mudah sekali untuk diamati dalam kehidupan sehari-hari. Belajar Fisika itu mudah, lho. Jangan pernah menyerah untuk terus belajar Fisika. Agar belajarmu lebih semangat, silakan gabung dengan Quipper Video. Bersama Quipper Video, kamu bisa belajar kapanpun dan dimanapun dengan ribuan latihan soal beserta pembahasannya. Salam Quipper!
Penulis: Eka Viandari