
Halo Quipperian! Pada kesempatan kali ini Quipper Blog akan membahas suatu topik yang menarik lho, yaitu “Solusi Super Menyelesaikan Soal tentang Kinematika Vektor”. Tahukah kamu berdasarkan data yang Quipper Blog punya, topik soal tentang Kinematika Vektor adalah soal yang selalu keluar dalam SBMPTN Fisika lho. Jumlahnya kira-kira 8 soal tiap tahun. Namun ironinya, masih banyak siswa yang mengalami kesulitan dalam menjawab soal tentang ini. Hal ini bisa disebabkan karena masih kesulitannya siswa menggunakan konsep integral dan differensial pada fungsi kinematika.
Penggunaan arah relatif terhadap produk kinematika (posisi, kecepatan, dan percepatan) yang selalu membuat bingung. Dalam penyelesaian gerak parabola siswa biasanya lupa menggunakan rumus untuk mengindentifikasi titik tertinggi atau titik terjauh serta waktu di tititik tertinggi atau titik terjauh. 10 topik Fisika yang paling sering muncul di SBMPTN ditunjukkan pada gambar 1. Segala kesulitan tersebut sebenarnya dapat diselesaikan menggunakan SOLUSI SUPER akan kinematika Vektor ini. Oleh sebab itu, pada sesi kali ini Quipper Blog akan membahas detail tentang :
- Persamaan gerak dan analisis vektor
- Perpindahan, kecepatan, dan percepatan relatif
- Gerak parabola
- Soal dan Pembahasan menggunakan SOLUSI SUPER dari Bank Soal Quipper.
Menarik, bukan? Check this Out!!

Cara Menentukan Komponen Vektor
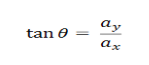
Dalam analisis suatu vektor terdapat dua komponen utama yang harus kita ketahui yaitu, komponen horizontal (sumbu x) dan komponen vertikal (sumbu y). kedua komponen vektor tersebut memiliki resultan yang memiliki besar dan arah. Nilai besar nya yaitu akar dari jumlah kuadrat komponen x dan y sedangkan arahnya adalah tangen dari komponen vertikal dibagi komponen horizontal. Cara menentukan komponen-komponen vektor adalah sebagai berikut :


Posisi dan Perpindahan Partikel
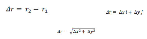
Suatu benda memiliki posisi dan perpindahan. Posisi merupakan suatu besaran skalar sedangkan perpindahan adalah besaran vektor. Perbedaaan keduanya adalah sebagai berikut : Posisi ( r ) merupakan kedudukan benda terhadap titik acuan. Posisi dapat dinyatakan dengan vektor-vektor satuan pada sumbu x ditulis i, dan sumbu y ditulis j. Persamaannya adalah sebagai berikut :

Sedangkan Perpindahan (Δr) adalah perubahan posisi benda dalam waktu tertentu. Perpindahan dapat dirumuskan sebagai berikut:

Karena perpindahan merupakan besaran vektor, sehingga perpindahan mempunyai arah. Cara menentukan nilai arah pada perpindahan adalah sebagai berikut :

Kecepatan Rata-rata dan Kecepatan Sesaat:
Suatu benda memiliki kecepatan rata-rata dan kecepatan sesaat. Perbedaanya adalah sebagai berikut : . Kecepatan rata-rata v adalah hasil bagi perpindahan dengan selang waktu yang diperlukan :

Kecepatan rata-rata partikel dalam bidang dapat juga dinyatakan secara vektor yaitu dalam komponen-komponennya terhadap sumbu-X dan sumbu- Y yakni :
![]()
Sedangkan kecepatan sesaat merupakan turunan pertama (differensial) fungsi posisi yaitu :

Integral suatu fungsi
Posisi partikel dapat ditentukan menggunakan integral dari fungsi kecepatan :

Lalu dapat dicari resultannya yaitu :

Percepatan Partikel
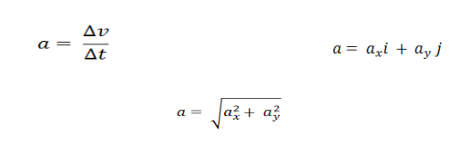
Hampir serupa dengan kecepatan rata-rata dan sesaat. Suatu benda memiliki percepatan rata-rata dan percepatan sesaat. Perbedaanya adalah sebagai berikut : Percepatan rata-rata (a) adalah perubahan kecepatan dalam waktu tertentu :

Dengan arah percepatan :

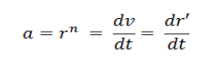
Sedangkan Percepatan sesaat merupakan turunan pertama dari fungsi kecepatan dan turunan kedua dari fungsi posisi. Nilainya adalah sebagai berikut :

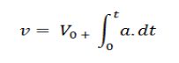
Kecepatan dapat ditentukan menggunakan integral dari fungsi percepatan :

Suatu fungsi dari kinematika (posisi, kecepatan, dan percepatan) memiliki suatu hubungan. Hubungannya dapat digambarkan pada gambar 2.

Kecepatan Relatif
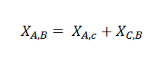
Kecepatan suatu benda dapat bersifat relative artinya acuan terhadap pengukuran kecepatan harus dinyatakan dengan jelas. Untuk benda-benda yang berada di atas tanah, umumnya kecepatan benda ditetapkan terhadap acuan tanah (pengamat yang diam di tanah). Untuk benda-benda yang bergerak di permukaan air, umumnya kecepatan benda ditetapkan terhadap acuan arus air. Kecepatan relatif A terhadap B (ditulis Vab) adalah selisih antara kecepatan relatif A terhadap acuan bersama C (ditulis Vac) dengan kecepatan relatif B terhadap acuan bersama C (ditulis V bc). Rumus kecepatan relative dapat menjadi sebagai berikut :
![]()
Hal yang sama berlaku bagi perpindahan dan percepatan. Untuk tiga acuan A, B, dan C berlaku :
Perpindahan relatif :

Percepatan relatif :

Sebagai contoh ilustrasi gerak relatif adalah gerak yang terjadi pada arus sungai. sebuah perahu bergerak dengan kecepatan 25 m/s. lalu perahu tersebut diombang-ambingkan dengan arus sungai yang bergerak dengan kecepatan 10 m/s. Berapakah kecepatan perahu yang diamati oleh seorang pengamat di titik B. kecepatan perahu yang diamati oleh pengamat di titik B sama dengan V perahu ditambah V arus sungai yaitu

Ilustrasi di atas dapat ditunjukkan pada gambar 4.

Gerak Parabola
Gerak parabola adalah resultan perpindahan suatu benda yang serentak melakukan gerak lurus beraturan pada arah horizontal dan gerak lurus berubah beraturan pada arah vertikal. Dalam menganalisis gerak parabola, kita dapat memandangnya sebagai dua gerak yang terpisah, yaitu gerak lurus beraturan (GLB) pada sumbu-X dan gerak lurus berubah beraturan (GLBB) pada sumbu-Y. Tiap gerak ini tidak saling mempengauhi sehingga bola yang dijatuhkan bebas dan bola yang dilempar horizontal pada saat bersamaan akan jatuh di tanah pada saat yang bersamaan pula. Contoh gerak parabola dan komponen-komponenya ditunjukkan pada gambar 5. Dalam menganalisis gerak parabola kita membuat tiga asumsi berikut :
- Percepatan jatuh bebas g memiliki besar yang tetap.
- Pengaruh hambatan udara atau gesekan udara diabaikan
- Rotasi bumi tidak mempengaruhi gerakan.

Pada gambar 5 terdapat komponen-komponen yang terjadi pada gerak parabola yaitu persamaan kecepatan (kecepatan horizontal dan kecepatan vertikal), waktu tertinggi, waktu terjauh, jarak terjauh, dan titik tertinggi. Rumus pada komponen-komponenya adalah sebagai berikut :
Rumus kecepatan awal horizontal (Vox) dan kecepatan awal vertikal (Voy) yaitu :

Rumus jarak terjauh (Xh) dan titik tertinggi (Yh) adalah sebagai berikut :

Rumus Jarak Horizontal pada titik terjauh Xa sama dengan dua kali rumus jarak terjauh yaitu sebagai berikut :

Waktu yang dibutuhkan untuk mencapai titik tertinggi :

dan Lama waktu terbang suatu benda (titik terakhir) adalah sebagai berikut :

Tips dan Trik SOLUSI SUPER dalam penyelesaian soal Kinematika Vektor
- Dalam penyelesaian soal vektor, jangan lupa untuk memasukkan komponen waktu pada fungsinya. Lalu apabila ditanya besar resultan dari posisi atau perpindahan. Jangan lupa untuk mengakarkan dari kuardrat komponen horizontal dan komponen vertikal.
- Dalam penyelesaian soal kecepatan sesaat atau kecepatan rata-rata. Kecepatan sesaat dapat diperoleh dari turunan pertama fungsi posisi sedangkan kecepatan rata-rata adalah besar perpindahan dibagi dengan waktu. Waktu yang dipakai adalah waktu akhir dikurangi waktu awal.
- Dalam penyelesaian gerak parabola, selalu ingat persyaratan pada gerak parabola yaitu : untuk sumbu-X percepatan horizontal (ax=0) dan kecepatan horizontal serta kecepatan awal horizontal ( Vx= Vox = tetap). Sedangkan gerak parabola pada sumbu-Y percepatan vertikal ( ay= -g). Pada titik tertinggi syarat yang dipenuhi adalah (Vh=0)sedangkan untuk titik terjauh nilai ya=0.
Di atas sudah dijelaskan tips dan trik SOLUSI SUPER dalam penyelesaian soal Kinematika Vektor. Sekarang waktunya melihat soal dan pembahasan dari bank soal Quipper yang selalu up to date untuk persiapan Quipper menghadapi segala test yang ada.
Contoh Soal: Vektor Posisi

Pembahasan :

Contoh Soal: Vektor Perpindahan

Pembahasan :


Contoh Soal: Kecepatan Rata-rata

Pembahasan :

Contoh Soal: Kecepatan Sesaat

Pembahasan :
Contoh Soal: Gerak Parabola

Pembahasan :
Contoh Soal: Kecepatan pada Gerak Parabola

Pembahasan :

Contoh Soal: Komponen Kecepatan pada Gerak Parabola

Pembahasan :

Contoh Soal: Waktu Terjauh pada Gerak Parabola

Pembahasan :

Bagaimana Quipperian sudah mulai memahami cara penyelesaian soal kinematika vektor menggunakan SOLUSI SUPER Quipper. Ternyata dengan memahami konsep dasar dan syarat-syarat penyelesaiannya, kita dengan mudah menyelesaikan soal tersebut dengan baik. Apabila Quipperian ingin melihat SOLUSI SUPER dari segala pelajaran yang kalian pelajari, jangan ragu untuk bergabung bersama Quipper karena masih banyak TIPS dan Trik beserta SOLUSI SUPER yang dapat membantu kamu memahami tiap pelajaran dan menyelesaikan soal pelajaranmu dengan baik. Sehingga membuat pelajaranmu menjadi gampang, asyik, dan menyenangkan. Ayo gabung bersama Quipper Video!.
- Kanginan, Marthen. 2013. Fisika Untuk SMA/MA Kelas XI. Jakarta: Penerbit Erlangga
- Kanginan, Marthen. 2006. Seribu Pena Fisika SMA Kelas XI Jilid 2. Jakarta: Penerbit Erlangga
- Kanginan, Marthen. 2017. Master Book Physics (Metode Cepat menjadi Master Fisika). Bandung: Yrama Widya
Penulis: William Yohanes

