
Hai Quipperian, bagaimana kabarnya? Semoga selalu sehat dan tetap semangat, ya!
Apakah kamu memiliki kelereng di rumah? Cobalah kamu ambil kelereng tersebut dan gelindingkan! Tidak sampai situ, cobalah pinjam cincin pada ibumu. Lakukan langkah yang sama dengan kelereng. Lalu, buatlah papan yang dimiringkan sebagai lintasan gerak kelereng maupun cincin.
Jika sebutir kelereng dan cincin digelindingkan dari atas bidang miring dengan kecepatan yang sama, kira-kira manakah yang akan bergerak lebih cepat? Jawabannya tentu kelereng. Mengapa demikian? Hal itu karena momen inersia kelereng lebih besar daripada cincin.
Nah, daripada penasaran dengan istilah momen inersia, ikuti terus Quipper Blog ya. Pada kesempatan ini, Quipper Blog akan membahas tentang pengertian momen inersia, faktor yang memengaruhi momen inersia, momen inersia berbagai jenis benda, dan contoh soal.
Pengertian Momen Inersia

Momen inersia atau biasa disebut momen kelembaman adalah besaran yang menunjukkan seberapa besar kecenderungan suatu benda untuk mempertahankan kondisinya (kelembaman). Momen inersia juga bisa disebut sebagai besaran yang menunjukkan kemampuan benda untuk mempertahankan kecepatan sudutnya pada gerak rotasi.
Momen Inersia Beberapa Benda

Momen inersia setiap benda pasti berbeda karena massa dan ukuran jari-jari maupun poros rotasinya berbeda pula. Adapun momen inersia untuk beberapa benda akan dijelaskan sebagai berikut.
1. Momen inersia partikel
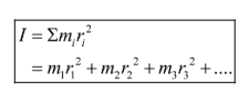
Saat membahas momen inersia partikel, jangan berpikir bahwa partikel yang dimaksud hanya partikel berukuran mikro seperti debu. Selain menjelaskan benda berukuran mikro, partikel di sini juga digunakan untuk menggambarkan posisi suatu benda yang diibaratkan sebagai suatu titik.
Saat benda benda bergerak rotasi, diasumsikan seluruh kecepatan sudut benda tersebut sama. Jadi seolah-olah seperti suatu titik. Momen inersia partikel merupakan hasil kali antara massa dan kuadrat jarak tegak lurus sumbu rotasi ke partikel. Secara matematis, momen inersia partikel dirumuskan sebagai berikut.

Keterangan:
I = momen inersia (kgm2);
m = massa benda (kg); dan
r = jarak partikel dari sumbu rotasi (m).
2. Momen inersia benda tegar
Benda tegar adalah benda yang tersusun atas banyak partikel atau titik yang tersebar merata di seluruh benda. Setiap partikel penyusunnya memiliki massa dan jarak tertentu dari sumbu rotasi. Oleh karena itu, momen inersia benda tegar merupakan jumlah total momen inersia partikel penyusun benda. Secara matematis, momen inersia benda tegar dirumuskan sebagai berikut.

3. Momen inersia benda yang bentuknya beraturan
Momen inersia benda yang memiliki bentuk teratur dan diputar pada sumbu rotasi tertentu, ditunjukkan oleh tabel berikut.

4. Momen inersia batang homogen
Batang homogen adalah batang yang partikel penyusunnya tersebar merata di seluruh batang sedemikian sehingga pusat massanya berada tepat di tengah. Momen inersia batang homogen dipengaruhi oleh sumbu putarnya, misalnya batang diputar di ujung, di tengah, atau di bagian lain.
a. Momen inersia batang homogen dengan sumbu putar di tengah
Secara matematis, momen inersia batang homogen yang diputar tepat di bagian tengah dirumuskan sebagai berikut.

Keterangan:
I = momen inersia batang (kgm2);
m = massa batang (kg); dan
L = panjang batang (m).
b. Momen inersia batang homogen dengan sumbu poros di ujung
Jika batang diputar di salah satu ujungnya, momen inersianya dirumuskan sebagai berikut.

Keterangan:
I = momen inersia batang (kgm2);
m = massa batang (kg); dan
L = panjang batang (m).
c. Momen inersia batang homogen dengan sumbu putar di sembarang titik (tidak di tengah maupun di ujung)
Jika batang homogen diputar di sembarang titik, momen inersianya dirumuskan sebagai berikut.

Keterangan:
I = momen inersia batang (kgm2);
m = massa batang (kg); dan
kL = panjang pergeseran batang (m) dengan k = konstanta.
5. Momen inersia cakram
Cakram memiliki massa yang terdistribusi secara merata. Momen inersia cakram ini sama dengan momen inersia silinder pejal. Secara matematis, dirumuskan sebagai berikut.

Keterangan:
I = momen inersia (kgm2);
m = massa benda (kg); dan
r = jari-jari cakram (m).
6. Momen inersia segitiga sama sisi pejal
Segitiga sama sisi merupakan bangun datar yang memiliki tiga sisi dengan panjang setiap sisinya sama. Untuk mencari momen inersia segitiga sama sisi pejal yang diputar terhadap sumbu yang melalui pusat massanya, gunakan persamaan berikut.

Keterangan:
I = momen inersia (kgm2);
m = massa benda (kg); dan
a = panjang sisi segitiga (m).
Setelah kamu tahu apa itu momen inersia beserta persamaannya, yuk asah kemampuanmu dengan contoh soal berikut ini.
Contoh Soal 1
Sebuah bola pejal memiliki massa 1,5 kg dan diameter 40 cm. Tentukan besar momen inersia bola tersebut jika diputar melalui pusat massanya!
Diketahui:
m = 1,5 kg
d = 40 cm, r = 20 cm = 0,2 m
Ditanya: I =…?
Pembahasan:
Jika bola pejal diputar melalui pusat massanya, momen inersia bola tersebut dirumuskan sebagai berikut.

Jadi, momen inersia bola pejal saat diputar melalui pusat massanya adalah 0,024 kgm2.
Contoh Soal 2
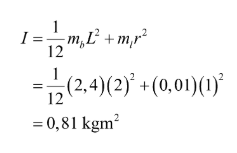
Sebuah batang homogen bermassa 2,4 kg memiliki panjang 2 m. Batang tersebut dilempari gumpalan lumpur bermassa 10 gram. Ternyata, lumpur tersebut menempel di ujung batang. Jika batang diputar melalui pusat massanya, tentukan momen inersia batang homogen tersebut!
Diketahui:
mb = 2,4 kg
L = 2 m
ml = 10 gram = 0,01 kg
r = 1 m (jarak antara lumpur ke sumbu putar)
Ditanya: I =…?
Pembahasan:
Momen inersia batang homogen merupakan hasil penjumlahan antara momen inersia batang itu sendiri dan momen inersia lumpur yang menempel di ujung batang. Secara matematis, dirumuskan sebagai berikut.

Jadi, momen inersia batang homogen tersebut adalah 0,81 kgm2.
Memangnya, untuk apa sih kamu belajar momen inersia?
Pernahkah kamu bermain gasing? Gasing bisa berputar secara seimbang karena bentuk gasing didesain sedemikian sehingga pusat massanya bisa berada di tengah. Tidak hanya itu, penerapan momen inersia juga bisa kamu lihat pada roda gila di dalam mesin diesel. Roda gila digunakan untuk meredam putaran dengan memanfaatkan inersia putaran.
Semakin menarik kan belajar momen inersia? Jika kamu ingin melihat penjelasan tutor Fisika tentang momen inersia ini, silahkan gabung dengan Quipper Video. Bersama Quipper Video, belajar jadi lebih mudah dan menyenangkan! Salam Quipper!
Penulis: Eka Viandari