
Pernahkah kamu bermain di lumpur? Saat kamu menginjak lumpur pasti kakimu akan terperosok ke dalam dan susah untuk keluar. Ternyata, hal itu tidak berlaku pada bebek,lho. Jika kamu perhatikan, kaki bebek tidak pernah terperosok ke dalam lumpur. Justru, lumpur merupakan salah satu tempat idola bagi bebek. Mengapa terjadi perbedaan seperti itu? Untuk menjawabnya, kamu harus memahami konsep tekanan zat padat.
Pengertian Tekanan Zat Padat
Tekanan zat padat adalah besarnya gaya yang bekerja di setiap luas bidang tekan pada zat padat. Luas bidang tekan yang dimaksud berbeda dengan luas permukaan.
Luas bidang tekan hanya mengacu pada daerah yang mengalami penekanan saja, bukan luas secara keseluruhan. Satuan dari tekanan adalah N/m2 atau Pascal. Tekanan zat padat dirumuskan secara matematis seperti berikut ini.

Keterangan:
P = Tekanan (Pa);
F = gaya tekan (N); dan
A = luas bidang tekan (m2).
Berdasarkan persamaan di atas, semakin besar gaya yang menekan suatu luas bidang tekan, semakin besar tekanan yang dihasilkan. Semakin besar luas bidang tekan, semakin kecil tekanan yang dihasilkan.
Konsep itulah yang berlaku pada kaki bebek. Jika Quipperian perhatikan, di antara jari-jari kaki bebek terdapat suatu selaput tipis. Selaput tersebut menyebabkan luas bidang tekan kaki bebek semakin besar, sehingga tekanan yang dihasilkan oleh kaki semakin kecil. Akibatnya, bebek tidak terperosok ke dalam lumpur.
Aplikasi Tekanan Zat Padat dalam Kehidupan

Selain pada kaki bebek, konsep tekanan zat padat juga berlaku pada benda-benda berikut.
1. Jarum memiliki ujung runcing
Pernahkah Quipperian berpikir, mengapa ujung jarum selalu runcing? Ternyata, hal itu berkaitan dengan konsep tekanan, lho. Jika ujung jarumnya tidak runcing, sudah pasti jarum tidak bisa menembus kain atau kulit. Mengapa demikian?
Tujuan utama ujung jarum dibuat runcing adalah untuk memperkecil luas bidang tekan. Semakin kecil luas bidang tekan, semakin besar tekanan yang dihasilkan. Akibatnya, jarum bisa dengan mudah menembus kulit atau kain.
2. Mata kapak dibuat runcing
Sama seperti jarum, mata kapak dibuat runcing untuk memperkecil luas bidang tekan. Semakin kecil luas bidang tekan, semakin besar tekanan yang dihasilkan.
Akibatnya, kapak bisa digunakan untuk membelah kayu. Saat mata kapaknya sudah tumpul, biasanya akan dilakukan proses pengasahan. Proses tersebut bertujuan untuk meruncingkan mata kapak kembali.
3. Sepatu salju
Pernahkah Quipperian berada di tengah hamparan salju? Jika kamu menginjak salju tanpa alas kaki, bisa jadi kakimu terperosok ke dalam. Oleh karena itu, penting kiranya kamu menggunakan sepatu salju.
Ukuran sepatu salju dibuat lebar bagian alasanya agar tekanan yang dihasilkan antara kakimu dan salju menjadi kecil. Akibatnya, kamu tidak terperosok ke dalam salju.
4. Pilar bangunan dibuat lebar bagian bawahnya
Pilar bangunan tidak hanya berfungsi untuk mempercantik suatu bangunan. Lebih dari itu, pilar merupakan bagian penting untuk menjaga kekokohan suatu bangunan.
Jika diperhatikan, desain pilar dibuat lebar bagian bawahnya. Hal itu bertujuan untuk memperbesar tekanan di bagian penopang, sehingga bangunan tidak mudah roboh.
5. Sirip ikan
Saat berenang, ikan akan menggerakkan siripnya. Dengan menggerakkan sirip tersebut, ikan akan mendapatkan gaya dorong ke depan. Sirip ikan yang berukuran lebar bisa memudahkan ikan dalam bergerak karena akan memberikan tekanan yang besar di air.
Apakah Quipperian sudah paham tentang konsep tekanan zat padat? Yuk, coba latihan mengerjakan contoh soal berikut ini supaya pemahaman kamu lebih dalam, Quipperian!
Contoh Soal 1
Sebuah balok bermassa 30 kg memiliki luas alas 2 m2. Di atas balok tersebut, terdapat sebuah silinder yang beratnya 100 N dan jari-jarinya 0,5 m2. Jika balok tersebut berada di atas lantai, tentukan:
- tekanan antara balok dan lantai;
- tekanan antara silinder dan balok.
Jawaban:
Diketahui:

Pembahasan
a. Pertama, kamu harus menentukan gaya balok. Gaya yang bekerja pada balok adalah gaya berat. Besarnya gaya berat pada balok adalah sebagai berikut.

Ingat, silinder diletakkan di atas balok. Artinya, gaya total yang bekerja pada lantai merupakan jumlah antara gaya balok dan gaya silinder. Untuk menentukan tekanan antara balok dan lantai, gunakan persamaan berikut.

Jadi, tekanan antara balok dan lantai adalah 200 N/m2.
b. Tekanan antara balok dan silinder
Jika silinder diletakkan di atas balok, luas bidang tekannya sama dengan luas alas silinder. Untuk mencari tekanan antara kotak dan silinder, gunakan persamaan berikut.

Jadi, tekanan antara balok dan silinder adalah 200 N/m2.
Contoh Soal 2
Agus meletakkan kayu bermassa 20 kg di atas papan yang kedua ujungnya dikaitkan pada dua tumpuan. Papan tersebut mampu menahan benda hingga tekanan 260 N/m2. Jika kayu yang diletakkan Agus berjari-jari 50 cm, apakah papan mampu menahan kayu tersebut?
Jawaban:
Diketahui:

Ditanya: apakah papan mampu menahan kayu =…?
Pembahasan
Kamu harus tahu bahwa batas maksimum tekanan yang bisa ditopang kayu adalah 260 N/m2. Artinya, kamu harus mencari tekanan yang dihasilkan antara kayu dan papan.
Ingat, gaya yang bekerja pada kayu adalah gaya berat. Dengan demikian,
Ternyata, tekanan yang dihasilkan antara kayu dan papan lebih kecil daripada tekanan maksimum yang bisa ditopang papan. Artinya, papan masih bisa menopang kayu tersebut.
Contoh Soal 3
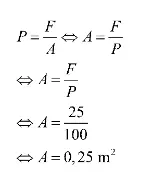
Ibu meletakkan kadus berbentuk kubus di atas meja. Tekanan yang dihasilkan antara kubus dan meja 100 N/m2. Jika gaya tekan kubus terhadap meja 25 N, tentukan panjang sisi kubus tersebut!
Jawaban:
Diketahui:

Ditanya: s …?
Pembahasan
Pertama, kamu harus mencari luas alas kubus tersebut.

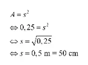
Lalu, tentukan panjang sisi kubus dengan persamaan berikut.

Jadi, panjang sisi kubus tersebut adalah 50 cm.
Itulah pembahasan Quipper Blog kali ini. Semoga bisa bermanfaat buat Quipperian. Jangan lupa tetap semangat belajarnya.
Kamu bisa juga gabung bersama Quipper Video supaya belajarnya makin semangat, guys. Di sana, kamu bisa akses macam tayangan video ajar dari para pengajar andal, rangkuman materi, dan contoh soal serta pembahasannya. Buruan gabung, ya!
Penulis: Eka Viandari