
Hai Quipperian, bagaimana kabarnya? Semoga selalu sehat dan tetap semangat belajar ya!
Pada kesempatan kali ini, Quipper Blog akan membahas tentang Hukum Kirchhoff, baik Hukum Kirchhoff I, Hukum Kirchhoff II, maupun contoh soalnya. Membahas Hukum Kirchhoff sama artinya membahas masalah kelistrikan. Kelistrikan yang bagaimana?
Pernah enggak sih kamu memperhatikan rangkain listrik di dalam rumah? Mungkin terlihat rumit ya karena banyak sekali kabel-kabel yang digunakan dalam instalasinya. Rangkaian listrik yang dipasang di rumahmu memiliki banyak titik percabangan. Untuk menentukan besarnya kuat arus listrik di masing-masing titik percabangan itu kamu bisa menggunakan Hukum Kirchhoff ini. Seperti apa cara menentukannya? Check this out!
Penemu Hukum Kirchhoff

Sumber: wikipedia.org
Hukum Kirchhoff adalah hukum yang ditemukan oleh seorang ilmuwan Fisika asal Jerman, yaitu Gustav Robert Kirchhoff. Fokus penelitian Kirchhoff sebenarnya tidak hanya pada sistem kelistrikan saja, melainkan juga spektroskopi dan termodinamika. Ilmuwan lulusan Universitas Albertus Konigsberg ini berhasil merumuskan hukum rangkain listrik pada tahun 1845. Hingga saat ini, Hukum Kirchhoff banyak digunakan dalam rekayasa kelistrikan. Terdapat 2 Hukum Kirchhoff yang harus Quipperian ketahui, yaitu Hukum Kirchhoff I dan Hukum Kirchhoff II. Apa perbedaan keduanya?
Hukum Kirchhoff I

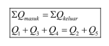
Hukum Kirchhoff I menyatakan bahwa jumlah arus yang masuk dalam suatu percabangan sama dengan jumlah arus yang keluar percabangan atau jumlah arus pada suatu titik sama dengan nol. Oleh karena itu hukum ini biasa disebut sebagai hukum percabangan (Kirchhoff’s Current Law). Berikut ini ilustrasinya.

Berdasarkan ilustrasi di atas, Hukum Kirchhoff I dirumuskan sebagai berikut.

Kuat arus merupakan jumlah muatan yang mengalir pada suatu penghantar dalam selang waktu tertentu, sehingga muatan listrik bersifat kekal. Artinya, muatan listrik yang masuk maupun keluar titik percabangan selalu sama.

Hukum Kirchhoff II

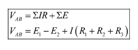
Hukum Kirchhoff II menyatakan bahwa di dalam suatu rangkaian tertutup, jumlah aljabar gaya listrik dan penurunan tegangan sama dengan nol. Penurunan tegangan sama dengan nol berarti tidak ada energi listrik yang hilang dalam rangkaian tersebut. Dengan demikian, energi listrik bisa digunakan atau diserap seluruhnya. Jika Quipperian ingin tahu ilustrasi rangkaian Hukum Kirchhoff II, simak gambar berikut.

Secara matematis, Hukum Kirchhoff II dirumuskan sebagai berikut.
Hukum ini digunakan untuk menentukan kuat arus listrik pada rangkaian bercabang dan tertutup (sakelar dalam keadaan tertutup).
Untuk menggunakan Hukum Kirchhoff II ini, terdapat beberapa aturan yang harus diperhatikan. Adapun aturannya adalah sebagai berikut.
- Tentukan loop untuk masing-masing rangkaian tertutup dengan arah tertentu.
- Jika searah loop, penurunan tegangan (ΣIR) diberi tanda positif (+). Sebaliknya, jika berlawanan dengan arah loop penurunan tegangan (ΣIR) diberi tanda negatif (-).
- Saat Quipperian mengikuti arah loop yang telah ditentukan lalu menjumpai kutub positif sumber tegangan, maka gaya gerak listriknya (ΣE) bertanda positif (+). Sebaliknya, saat menjumpai kutub negatif sumber tegangan, gaya gerak listriknya (ΣE) bertanda negatif (-).
Penerapan Hukum Kirchhoff II
Hukum Kirchhoff II digunakan saat Quipperian menjumpai suatu rangkaian tertutup yang tidak bisa diselesaikan dengan rangkaian seri maupun paralel. Ciri rangkaian ini adalah memiliki lebih dari satu ggl di dalamnya.
Daripada penasaran dengan penerapan Hukum Kirchhoff, yuk simak contoh soal berikut ini.
Contoh soal 1
Perhatikan gambar berikut.

Diketahui besarnya arus listrik yang melalui I2 = 1 A, I1 = 3 A, I4 = 0,5 A, tentukan besarnya arus listrik yang melalui I3 dan I5!
Diketahui:

Ditanya: I3 dan I5 =…?
Pembahasan:
Untuk menyelesaikan masalah ini, Quipperian bisa menggunakan prinsip Hukum Kirchhoff I. Adapun persamaannya adalah sebagai berikut.

Oleh karena jumlah arus yang masuk sama dengan jumlah arus yang keluar, maka besarnya arus listrik yang melalui I5 = 3 A.

Jadi, besarnya kuat arus yang melalui I3 dan I5 berturut-turut adalah 1,5 A dan 3 A.
Contoh soal 2
Sebuah elemen sekunder memiliki gg E1 dan E2 seperti gambar berikut.

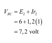
Diketahui E1 = 12 volt, r1 = 1 Ω, R1 = 1,5 Ω, E2 = 6 volt, r2 = 1 Ω, R2 = 0,5 Ω, dan R3 = 1 Ω. Tentukan tegangan jepit BC!rt
Diketahui:
E1 = 12 volt
r1 = 1 Ω
R1 = 1,5 Ω
E2 = 6 volt
r2 = 1 Ω
R2 = 0,5 Ω
R3 = 1 Ω
Ditanya: VBC =…?
Pembahasan:
Rangkaian seperti pada soal bisa diselesaikan dengan Hukum Kirchhoff II karena di dalamnya memiliki 2 ggl. Oleh karena itu, Quipperian harus menentukan model loopnya terlebih dahulu. Dalam hal ini bebas. Artinya, Quipperian bisa menentukan arah loopnya searah atau berlawanan dengan arah putaran jarum jam. Pada pembahasan kali ini, arah loop yang digunakan searah dengan putaran jarum jam.

Dari gambar di atas diperoleh rumusan sebagai berikut.
Dengan demikian, tegangan jepit BC dirumuskan sebagai berikut.


Jadi, tegangan jepit BC adalah 7,2 volt.
Contoh soal 3
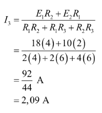
Perhatikan gambar rangkaian berikut ini.

Tentukan besarnya arus yang melalui I3!
Untuk menentukan besarnya arus pada I3, Quipperian bisa menggunakan persamaan seperti berikut.

Jadi, besarnya arus yang melalui I3 adalah 2,09 A.
Bagaimana Quipperian, mudah kan belajar tentang Hukum Kirchhoff? Sebelum mengerjakan Hukum Kirchhoff, terutama Hukum Kirchhoff II, Quipperian harus menentukan dahulu arah loopnya. Jika sudah demikian, pasti akan mudah menentukan persamaannya. Untuk mendapatkan latihan soal lebih banyak lagi, silakan buka akun Quipper Video, ya. Quipper Video menyediakan ribuan soal beserta pembahasannya yang bisa kamu akses kapanpun dan di manapun. Salam Quipper!
Penulis: Eka Viandari