
Pencacahan merupakan salah satu bagian dari materi peluang yang paling banyak keluar saat SBMPTN. Ada 4 jenis bagian dari pencacahan, yakni perkalian, faktorial, permutasi, dan kombinasi. Dalam artikel ini akan dibahas pengertian jenis-jenis pencacahan dan contoh soalnya.
Halo Quipperian! Pada kesempatan kali ini, Quipper Blog akan membahas tema yang penting dan menarik untuk kalian, lho, yaitu aturan pencacahan. Tahukah kamu, kalau soal-soal tentang aturan pencacahan (salah satu bagian dari peluang) adalah jumlah soal yang paling banyak keluar di dalam Ujian SBMPTN 5 tahun belakangan ini?

Tidak hanya itu, soal-soal tentang aturan pencacahan juga selalu keluar dalam UN SMA IPA atau UN SMA IPS. Topik matematika dan jumlah soal SBMPTN yang keluar di SBMPTN ditunjukkan pada gambar di atas. Ironisnya, walaupun banyaknya jumlah soal tersebut yang keluar, masih banyak siswa yang kesulitan menjawab soal tentang aturan pencacahan ini.
Hal ini disebabkan karena siswa tidak dapat membedakan konsep tentang permutasi dan kombinasi, kesulitan memahami konsep dan menggunakan rumus dasar yang tepat dalam menjawab soal, serta penjabaran rumus yang terlalu panjang sehingga menghabiskan banyak waktu saat pengerjaan. FYI, Quipper Blog punya rumus solusi SUPER nih sehingga dapat mempersingkat Quipperian untuk pengerjaan soal dari aturan pencacahan ini. Oleh sebab itu, pada sesi kali ini Quipper Blog akan membahas tentang:
- Jenis-jenis dari aturan pencacahan yang sering keluar dalam setiap ujian.
- Cara membedakan kombinasi dan permutasi, rumus dasar dari aturan pencacahan.
- Tipe-tipe soal dari aturan pencacahan.
- Solusi SUPER mengerjakan soal aturan pencacahan.
- Soal dan pembahasan dari bank soal Quipper yang selalu up to date untuk persiapan tes yang akan kamu hadapi.
Penasaran? Let’s Check this out!
Bagian Aturan Pencacahan

Aturan pencacahan terdiri dari 4 jenis bagian yaitu aturan perkalian, faktorial, permutasi, dan kombinasi. Berikut penjabarannya.
1. Perkalian
Aturan perkalian adalah banyaknya cara yang dapat dilakukan untuk menentukan pilihan dari suatu permasalahan. Cara penyelesaian aturan pencacahan dapat diselesaikan dengan kotak, diagram, dan lain-lain. Rumus umum dari suatu aturan perkalian adalah sebagai berikut jika terdapat k unsur yang tersedia dengan:
n1 = banyak cara untuk menyusun unsur pertama
n2 = banyak cara untuk menyusun unsur kedua setelah unsur pertama tersusun
n3 = banyak cara untuk menyusun unsur ketiga setelah unsur kedua tersusun
nk = banyak cara untuk menyusun unsur ke-k setelah objek unsur sebelumnya tersusun.
Maka banyak cara untuk menyusun k unsur yang tersedia adalah:
n1 x n2 x n3 x ………x nk
Contoh soal: seorang manajer supermarket ingin menyusun barang berdasarkan nomor seri barang. Dia ingin menyusun nomor seri yang dimulai dari nomor 3000 sampai dengan 8000 dan tidak memuat angka yang sama. Tentukan banyak nomor seri yang disusun dari angka 1, 2, 3, 4, 5, 6, 7, 8.
Jawab: soal ini dapat dijawab menggunakan menggunakan konsep aturan perkalian dengan penjelasan kotak. Ada 4 kotak yang tersedia yaitu Ribuan, Ratusan, Puluhan, dan Satuan.

Dengan demikian, banyaknya angka yang dapat mengisi keempat posisi tersebut adalah sebagai berikut:
Ribuan (4,5,6,7,8)
Ratusan (7 bilangan (karena 1 bilangan sudah dipakai saat bagian ribuan)
Puluhan (6 bilangan (1 bilangan sudah dipakai untuk Ribuan dan 1 bilangan untuk ratusan).
Satuan ( 5 bilangan (1 bilangan sudah dipakai untuk Ribuan dan 1 bilangan untuk Puluhan, dan 1 bilangan dipakai untuk satuan).
Hasilnya sebagai berikut:
| 5 | 7 | 6 | 5 |
Sehingga banyaknya susunan nomor seri barang yang diperoleh adalah: 5 x 7 x 6 x 5 = 1050 cara
2. Faktorial
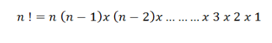
Faktorial adalah perkalian bilangan terurut. Simbol dari faktorial adalah “!” dimana
1! = 1 dan 0! = 1. Rumus umum dari Faktorial adalah sebagai berikut:

Contoh soal: tentukan nilai dari 3! =
Jawab:
3! = 3 x 2 x 1! = 6
Faktorial digunakan sebagai bagian penyelesaian dari permutasi dan kombinasi.
3. Permutasi
Permutasi adalah susunan yang berurutan dari semua atau sebagian elemen dari suatu himpunan. Permutasi memiliki beberapa jenis soal yaitu soal permasalahan sehari-hari dengan memperhatikan suatu urutan/posisi, permutasi dengan memiliki unsur yang sama, dan permutasi melingkar (siklis).
Rumus umum dari Permutasi adalah sebagai berikut:

Di mana n adalah ruang sampel (semua anggota dari himpunan),
r adalah jumlah elemen soal yang dicari.
Sedangkan rumus umum dari permutasi siklis adalah sebagai berikut:
P siklis = (n-1)!
Permutasi siklis digunakan untuk soal-soal susunan di mana letak dari soal adalah melingkar.
Contoh soal dari permutasi adalah sebagai berikut:
- Jika di suatu kelas terdapat 12 siswa, maka banyaknya cara memiliki ketua, wakil ketua, dan sekretaris dari 12 siswa dalam suatu kelas tersebut adalah?
Cara penyelesaian: Banyaknya posisi duduk siswa tersebut adalah dengan cara memilih 3 orang dari keseluruhan 12 orang dengan memperhatikan urutannya yaitu (ketua, wakil ketua, dan sekretaris) maka nilai permutasinya:
![]()
- Tentukan ada berapa banyak cara mengatur posisi duduk 5 orang mengelilingi meja berbentuk lingkaran!
Jawab: karena di soal sudah disebutkan bahwa pemilihan posisi duduk secara melingkar, maka soal tersebut diselesaikan menggunakan permutasi siklis:
Psiklis = (5-1)! = 4 ! =24 cara.
- Berapa banyak cara menyusun kata berlainan dari kata MATEMATIKA ?
Jawab:
Dari soal terdapat alfabet yang memiliki unsur yang sama yaitu
M = 2 Huruf I = 1 Huruf
A = 3 Huruf K = 1 Huruf
T = 2 Huruf
E = 1 Huruf
Sehingga banyak cara menyusun adalah:

4. Kombinasi
Kombinasi adalah pemilihan banyaknya susunan dari semua atau sebagian elemen dari suatu himpunan tanpa memperhatikan urutan pemilihannya. Karena tanpa memperhatikan urutan maka nilai AB = BA pada penyelesaian kombinasi.
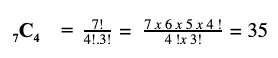
Rumus umum dari Kombinasi adalah:

Contoh soal: Tentukan nilai dari

Dalam pengamatan Quipper Blog, masih banyak siswa yang kesulitan untuk membedakan soal permutasi dan soal kombinasi. Padahal dari definisi di atas sudah jelas, Permutasi adalah pemilihan suatu kejadian yang memperhatikan urutan sedangkan Kombinasi adalah pemilihan suatu kejadian yang tanpa memperhatikan urutannya.
Contoh soal:
- Berapa banyak cara menempatkan 7 orang duduk dalam satu baris dalam urutan yang berbeda?
- Dari keseluruhan 7 orang ada berapa banyak cara memilih 4 orang untuk dijadikan pengurus RT?
Identifikasi soal:
Untuk contoh soal nomor 1, penyelesaian soal menggunakan permutasi. Hal ini disebabkan dalam soal terdapat kata (urutan yang berbeda). Sehingga cara penyelesaiannya adalah sebagai berikut:

Untuk contoh soal nomor 2, penyelesaian soalnya menggunakan kombinasi. Hal ini disebabkan karena posisi duduk dalam pemilihan pengurus RT tersebut tidak diperhatikan sehingga cara penyelesaiannya adalah sebagai berikut:

Dalam penyelesaian, soal permutasi dan kombinasi dari aturan pencacahan biasanya siswa kehabisan waktu menghitung faktorialnya. Eits, tenang Quipperian. Quipper Blog sudah bisa memberikan SOLUSI QUIPPER (SUPER) untuk menyelesaiakn persoalan ini. Rumus Solusi SUPER untuk permutasi dan kombinasinya adalah sebagai berikut:

Bagaimana, mudah kan kalau menggunakan SUPER alias Solusi Quipper? Eh, belum berakhir, Quipperian, Quipper Blog juga juga akan memberikan soal dan pembahasan tentang aturan pencacahan dari bank soal Quipper Video untuk membantu kalian mempersiapkan segala jenis ujian. Check this out!
Contoh Soal: Aturan Perkalian

Cara Penyelesaian:

Contoh Soal Aturan Pencacahan Menggunakan Kotak

Cara Penyelesaian:

Contoh Soal Permutasi

Cara Penyelesaian:

Contoh Soal Permutasi Siklis (Melingkar)

Cara Penyelesaian:

Bagaimana Quipperian sudah mulai tertantang mengerjakan soal-soal aturan pencacahan menggunakan SUPER? kalau kalian ingin mengerjakan soal-soal aturan pencacahan atau pelajaran matematika lainnya, kalian bisa bergabung bersama Quipper Video. Karena di sana terdapat banyak latihan-latihan soal untuk dapat membantu kamu menghadapi segala ujian yang akan kamu hadapi, beserta pembahasannya juga. Lebih hebat lagi, tersedia video-video menarik sehingga bisa membantu kamu lebih memahami tiap pelajaran yang ada. Mari bergabung bersama Quipper Video!
- Kanginan, Marthen & Kartiwa, Alit. 2010. Aktif Belajar Matematika untuk kelas XI. Jakarta: Pusat perbukuan Kemdikbud.
- Tampomas, Husein. 2006. Seribu Pena Matematika Jilid 3 untuk SMA/MA kelas XI. Jakarta: Erlangga.
Penulis: William Yohanes