
Hai Quipperian, bagaimana kabarnya? Semoga selalu sehat dan tetap semangat, ya!
Pada pertemuan kali ini, Quipper Blog akan membahas tentang baris dan deret. Konsep baris dan deret ini biasa kamu jumpai dalam kehidupan sehari-hari. Misalnya saat kamu berinvestasi sebesar Rp10.000.000. Pada bulan pertama kamu investasi, keuntungan yang diperoleh adalah Rp2.000. Pada bulan kedua, keuntungannya menjadi Rp4.000 dan bulan ketiga menjadi Rp8.000.
Kira-kira berapa keuntungan yang kamu dapatkan setelah 10 bulan berinvestasi? Total keuntungan yang akan kamu dapatkan setelah 10 bulan berinvestasi bisa langsung kamu tentukan dengan konsep baris dan deret ini, lho. Ingin tahu pembahasan selanjutnya tentang baris dan deret? Simak ulasan berikut.
Secara umum, barisan dan deret dibagi menjadi dua, yaitu barisan dan deret aritmetika serta barisan dan deret geometri. Apakah perbedaan keduanya?
Barisan Aritmetika

Barisan aritmetika merupakan barisan bilangan dengan pola yang tetap berdasarkan operasi penjumlahan dan pengurangan. Selisih antara dua suku berurutan pada barisan aritmetika disebut beda yang dilambangkan dengan b. Rumus untuk menentukan beda pada barisan aritmetika adalah sebagai berikut.
Keterangan:
b = beda;
Un= suku ke-n;
Un+1= suku sebelum suku ke-n; dan
n= banyaknya suku.
1. Bentuk barisan aritmetika
Adapun bentuk barisan aritmetika adalah sebagai berikut.

Rumus selisih atau bedanya, adalah sebagai berikut.

Keterangan:
Un+1 = suku ke-(n +1);
Un = suku ke-n; dan
b = beda atau selisih.
Akibat dari rumus suku ke-n tersebut, dapat diperoleh:
U1, U2, U3, …, Un-2, Un-1, Un
a, a+b, a+2b, …, a+n-3b, a+n-2b, a+n-1b
Jika banyak suku (n) ganjil, suku tengah (Ut) barisan aritmetika dapat dirumuskan
sebagai berikut.
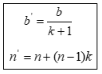
Sementara itu, jika di antara dua buah suku U1,U2,U3,…,Un disisipkan k buah bilangan sehingga terbentuk barisan aritmetika baru, beda dan banyak suku dari barisan tersebut akan berubah sesuai rumusan berikut.
Keterangan:
b’= beda barisan aritmetika baru;
b= beda barisan aritmetika lama;
k= banyak bilangan yang disisipkan;
n‘= banyak suku barisan aritmetika baru; dan
n= banyak suku barisan aritmetika lama.
Perlu diingat bahwa suku pertama barisan baru sama dengan suku pertama barisan lama.
2. Suku ke-n barisan aritmetika
Saat Quipperian diminta untuk mencari suku ke-n dari barisan aritmetika, cara termudahnya adalah dengan menelusuri satu per satu sampai mencapai suku ke-n. Namun, cara ini tergolong tidak praktis dan membutuhkan banyak waktu. Jika yang diminta suku ke-10 mungkin masih bisa. Bagaimana jika yang diminta suku ke-1000? Kebayang kan betapa rumitnya? Untuk itu, rumus suku ke-n yang bisa kamu gunakan adalah sebagai berikut.
Keterangan:
a = suku awal (U1);
Un = suku ke-n; dan
b = beda atau selisih.
Agar kamu lebih paham, yuk simak contoh soal berikut.
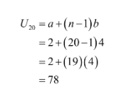
Contoh soal 1
Tentukan suku ke-20 dari barisan 2, 6, 10, 14, …, …,!
Pembahasan:
Diketahui:
a = 2
b = 6 – 2 = 4
Ditanya: U20 =…?
Pembahasan:

3. Suku tengah barisan aritmetika
Jika Quipperian menemukan barisan aritmetika yang banyak sukunya ganjil, pasti barisan aritmetika tersebut memiliki suku tengah (Ut). Secara matematis, Ut dirumuskan sebagai berikut.

Untuk lebih jelasnya, perhatikan contoh soal berikut.
Contoh soal 2
Suku tengah barisan aritmetika adalah 15. Jika banyaknya suku barisan tersebut 11 dan suku ke-4 bernilai -3, tentukan suku terakhirnya!
Pembahasan:
Diketahui:
Ut = 15
n = 11
Ditanya: Un =…?
Pembahasan:
Pertama, Quipperian harus mencari nilai t.

Suku tengah adalah suku ke-6. Artinya, U6 = 15.

Untuk mencari nilai a dan b, gunakan metode eliminasi.

Substitusikan nilai b ke persamaan (1).
Selanjutnya, tentukan suku terakhir barisan tersebut.
Jadi, suku terakhirnya adalah 60.
4. Sisipan bilangan pada barisan aritmetika
Misalkan Quipperian menjumpai barisan aritemtika dengan beda b. Lalu, barisan aritmetika tersebut disisipi k bilangan di setiap 2 bilangan yang berdekatan. Setelah disisipi k bilangan, terbentuk barisan aritmetika baru yang bedanya b’. Pertanyaannya adalah berapakah beda bilangan aritmetika yang baru? Daripada pusing-pusing, gunakan persamaan berikut.

Ketentuannya, suku pertama barisan yang baru sama dengan suku pertama barisan sebelumnya karena bilangan yang disisipkan tidak berada di awal baris.
Deret Aritmetika

Deret aritmetika berkaitan dengan barisan aritmetika. Deret aritmetika yang disimbolkan dengan Sn merupakan jumlah n suku pertama barisan aritmetika. Dengan kata lain, penjumlahan dari suku-suku barisan aritmetika disebut dengan deret aritmetika.
Rumus jumlah n suku pertama dari deret aritmetika tersebut adalah sebagai berikut.
Substitusikan Un=a+(n-1) b, sehingga diperoleh:
Misalkan Sn-1= U1 +U2+ U3+ … +Un-1 dan Sn=U1+U2+ U3+…+Un-1+Un. Ini berarti, hubungan antara Sn-1 dan Un adalah sebagai berikut.
Mungkin terasa hambar jika belum dilengkapi contoh soal ya? Tak usah khawatir, berikut ini contoh soal berkaitan dengan deret aritmetika.
Contoh soal 3
Berapakah jumlah bilangan kelipatan 3 antara 10 sampai 100?
Pembahasan:
Jumlah bilangan kelipatan 3 antara 10 sampai 100 adalah sebagai berikut.

Keterangan:
a = 12
banyaknya suku = 30
Jadi, jumlah bilangan kelipatan 3 antara 10 sampai 100 adalah 1.665.
Barisan Geometri

Apa sih barisan geometri itu? Lalu apa bedanya dengan barisan aritmetika? Barisan geometri merupakan barisan bilangan yang hasil bagi antara dua suku berurutannya selalu sama atau tetap. Perbandingan (hasil bagi) antara dua suku berurutan pada barisan geometri disebut dengan rasio yang dilambangkan dengan r.
1. Bentuk barisan geometri
Rumus untuk menentukan rasio pada barisan geometri adalah sebagai berikut.
Keterangan:
r = rasio;
Un = suku ke-n;
Un-1= suku sebelum suku ke-n; dan
n = banyaknya suku.
2. Suku ke-n barisan geometri
Suku ke-n masih bisa kamu tentukan selama nilai n belum terlalu besar. Namun, jika nilai n cukup besar, cara seperti itu sulit untuk dilakukan. Untuk memudahkan kamu dalam menghitung suku ke-n barisan geometri, gunakan persamaan berikut.
Akibat dari rumus suku ke-n tersebut, dapat diperoleh
Jika banyak suku (n) ganjil, suku tengah (Ut) barisan geometri dapat dirumuskan sebagai berikut.
Sementara itu, jika di antara dua buah suku U1,U2,U3,…,Un disisipkan k buah bilangan sehingga terbentuk barisan geometri baru, rasio dan banyak suku dari barisan tersebut akan berubah sesuai rumusan berikut.
Keterangan:
r’= rasio barisan geometri baru;
r= rasio barisan geometri lama;
k= banyak suku yang disisipkan;
n’= banyak suku barisan geometri baru; dan
n= banyak suku barisan geometri lama.
Perlu diingat bahwa suku pertama barisan baru sama dengan suku pertama barisan lama.
Dengan a merupakan suku pertama atau U1. Untuk mengasah kemampuanmu, simak contoh soal berikut ini.
Contoh soal 4
Diketahui suku ke-2 dan ke-4 barisan geometri berturut-turut adalah 12 dan 27. Jika nilai r > 0, tentukan nilai dari suku ke-3!
Pembahasan:
Diketahui:
U2 = 12
U4 = 27
r > 0
Ditanya: U3 =…?
Pembahasan:
Nyatakan suku ke-2 dan ke-4 dalam notasi matematis.

Lakukan pembagian antara kedua suku seperti berikut.
Setelah rasio diketahui, tentukan suku ke-3nya.

Jadi, nilai dari suku ke-3 adalah 18.
3. Suku tengah barisan geometri
Sama halnya barisan aritmetika. Pada barisan geometri yang banyak sukunya ganjil, suku tengahnya bisa diperoleh dengan persamaan berikut.
4. Sisipan pada barisan geometri
Misalkan Quipperian menjumpai barisan geometri dengan rasio r. Lalu, barisan geometri tersebut disisipi k bilangan di setiap 2 bilangan yang berdekatan. Setelah disisipi k bilangan, terbentuk barisan geometri baru yang rasionya k’. Pertanyaanya adalah berapakah rasio barisan geometri yang baru? Untuk memudahkan Quipperian, gunakan persamaan berikut.

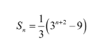
Deret Geometri

Jumlah suku ke-n pertama dari suku-suku barisan geometri disebut sebagai deret geometri berhingga. Mengapa disebut berhingga? Karena memiliki suku akhir tertentu. Apakah mungkin ada deret geometri tak hingga? Mungkin saja sih. Pembahasan deret geometri tak hingga bisa kamu dapatkan di pembahasan Quipper Blog selanjutnya. Secara matematis, jumlah suku ke-n pertama barisan geometri dirumuskan sebagai berikut.

Agar belajarmu lebih afdal, simak contoh soal terkait deret geometri berikut.
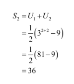
Contoh soal 5

Pembahasan:
Diketahui:

Ditanya: r =…?
Pembahasan:
Pertama, Quipperian harus mencari suku pertama dan kedua barisan tersebut.
Selanjutnya, tentukan jumlah 2 suku pertama barisan geometri tersebut.

Tentukan suku ke-2nya.
Tentukan rasionya!
Jadi, rasio barisan geometri tersebut adalah 3.
Di awal pertemuan ini, Quipperian diajak untuk menghitung berapa keuntungan setelah berinvestasi selama 10 bulan? Penasaran? Check check this out!
Contoh soal 6
Kamu berinvestasi sebesar Rp10.000.000. Pada bulan pertama kamu investasi, keuntungan yang diperoleh adalah Rp2.000. Pada bulan kedua, keuntungannya menjadi Rp4.000 dan bulan ketiga menjadi Rp8.000. Kira-kira berapa keuntungan yang kamu dapatkan setelah 10 bulan berinvestasi? Dan berapa total uang yang bisa kamu kumpulkan setelah berinvestasi selama 10 bulan?
Pembahasan:
Pada kondisi tersebut, keuntungan setiap bulan merupakan kelipatan 2 dari bulan sebelumnya. Artinya, jika dibentuk barisan, keuntungan tersebut akan menjadi barisan geometri, yaitu Rp2.000, Rp4.000, Rp8.000, …,Un. Setelah 10 bulan, keuntungannya akan menjadi:
Jadi, keuntungan yang akan kamu dapatkan setelah berinvestasi selama 10 bulan adalah Rp2.046.000 dengan total uang mencapai Rp10.000.000 + Rp2.046.000 = Rp12.046.000.
Apakah Quipperian semakin paham dengan materi baris dan deret ini? Jika sudah paham, cobalah kamu asah kemampuan dengan banyak berlatih mengerjakan soal. Soal-soal itu bisa kamu dapatkan di Quipper Video. Quipper Video menyediakan ribuan soal beserta pembahasannya yang bisa kamu kerjakan kapanpun dan dimanapun. So tunggu apa lagi? Bersama Quipper Video, belajar jadi lebih mudah dan menyenangkan. Salam Quipper!
Penulis: Eka Viandari




