
Quipperian, kamu sedang mendalami materi Pecahan? Kamu berada di artikel yang tepat! Quipper Blog akan membahas tuntas materinya di sini. Yuk, simak!
Ibu memiliki satu kotak brownies. Brownies tersebut dibagi menjadi delapan bagian sama besar. Jika kamu diberi 1 bagian, berapa bagian sisa brownies ibu?
Jika ada soal demikian, jawaban Quipperian apa? Apakah 7 bagian? Jangan sampai Quipperian menjawab 7 bagian, ya. Jawaban tersebut jelas tidak tepat.
Lantas berapa jawaban yang tepat? Untuk tahu jawabannya, simak artikel ini sampai habis ya.
Pengertian Pecahan
Pecahan adalah bilangan rasional yang ditulis dalam bentuk a/b.
Dengan ketentuan, a merupakan pembilang dan b merupakan penyebut.
Sebagai penyebut, syarat yang harus dipenuhi b adalah b ≠ 0. Artinya, nilai b tidak boleh sama dengan nol.
Agar Quipperian bisa dengan mudah memahami konsep materi yang satu ini, perhatikan gambar berikut.

Mulanya kue tart utuh, lalu dipotong menjadi empat bagian sama besar.
Nah, setiap bagian potongan itu bisa dinyatakan sebagai 1 dari total empat potongan atau satu per empat.
Secara matematis, bisa ditulis sebagai 1/4 bagian.
Macam-Macam Pecahan
Adapun macam-macam pecahan yang harus Quipperian ketahui adalah sebagai berikut.
1. Pecahan sejati atau pecahan murni
Pecahan sejati atau murni merupakan bentuk yang paling sederhana. Artinya, bilangan ini tidak bisa disederhanakan lagi menjadi bilangan yang lebih kecil.

2. Pecahan campuran
Disebut campuran karena terdiri dari bilangan pecah dan utuh.

3. Pecahan desimal
Disebut desimal karena penyebutnya berupa bilangan 10, 100, 1.000, dan seterusnya.

4. Pecahan senilai
Disebut senilai karena memiliki nilai akhir atau hasil pembagian yang sama.

5. Pecahan senama
Disebut senama karena memiliki penyebut yang sama.

Operasi Bilangan Pecahan
Setelah membahas pengertian dan macamnya, kali ini Quipper Blog mau mengenalkan operasi bilangan pecahan.
Bentuk operasinya sama seperti operasi bilangan lain, yaitu memuat penjumlahan, pengurangan, perkalian, dan pembagian.
Untuk lebih jelasnya, check this out!
1. Penjumlahan pecahan
Secara umum, penjumlahan pecahan dibagi menjadi dua, yaitu penjumlahan dengan penyebut sama dan penjumlahan dengan penyebut berbeda.
a. Penjumlahan pecahan berpenyebut sama
Untuk bilangan yang penyebutnya sama caranya cukup mudah, yaitu dengan menjumlahkan pembilangnya saja. Berikut ini contohnya.

b. Penjumlahan pecahan berpenyebut berbeda
Hasil penjumlahan antara bilangan berpenyebut berbeda tentu lebih rumit daripada berpenyebut sama, yaitu dengan menyamakan penyebutnya terlebih dahulu. Berikut ini contohnya.

Pertama, tentukan dahulu bilangan yang bisa mewakili kedua penyebut (3 dan 5). Apakah 6 bisa mewakili keduanya?
Tentu tidak karena hasil pembagian antara 6 dan 5 menghasilkan bilangan tidak bulat.
Apakah 15 bisa mewakili keduanya? Iya, karena hasil bagian antara 15 dan 5 serta 15 dan 3 akan menghasilkan bilangan bulat.
Dengan kata lain, Quipperian bisa mencari nilai KPK antara 3 dan 5 agar diperoleh nilai penyebut yang sama.
Jika sudah mendapatkan KPKnya, silakan lakukan langkah berikut.
Bagi KPK dengan masing-masing penyebut, lalu kalikan dengan pembilangnya masing-masing.

Pada penyelesaian di atas dari mana diperoleh nilai 10 dan 12?
15 dibagi 3 lalu hasilnya dikali 2, sehingga diperoleh nilai 10. Lakukan langkah yang sama untuk pecahan lainnya.
2. Pengurangan pecahan
Pada prinsipnya, pengurangan pecahan sama dengan penjumlahan.
Secara umum, pengurangan dibagi menjadi dua yaitu pengurangan bilangan berpenyebut sama dan berpenyebut berbeda.
a. Pengurangan pecahan berpenyebut sama
Pengurangan ini cukup mudah karena kamu hanya perlu mengurangkan pembilangnya saja. Berikut ini contohnya.

b. Pengurangan pecahan berpenyebut berbeda
Untuk mengurangkan bilangan yang penyebutnya berbeda, langkahnya sama persis dengan penjumlahan, yaitu dengan mencari KPK antara dua atau lebih penyebut. Berikut ini contohnya.

3. Perkalian pecahan
Perkalian pecahan termasuk operasi bilangan paling mudah jika dibandingkan dua operasi sebelumnya, yaitu cukup mengalikan pembilang dengan pembilang serta penyebut dengan penyebut. Berikut ini contohnya.

4. Pembagian pecahan
Langkah pembagian pecahan tidak sama dengan perkalian. Jika pada perkalian kamu bisa langsung mengalikan pembilang dengan pembilang serta penyebut dengan penyebut.
Pada pembagian, pertama kamu harus mengubahnya menjadi perkalian terlebih dahulu dengan syarat pembilang dibalik menjadi penyebut dan sebaliknya. Berikut ini contohnya.

Sampai sini, apakah kamu sudah bisa menjawab pertanyaan di awal materi ini?
Ibu memiliki satu kotak brownies. Brownies tersebut dibagi menjadi delapan bagian sama besar. Jika kamu diberi 1 bagian, berapa bagian sisa brownies ibu?
Menurut Quipperian, jawabannya berapa?

Agar kamu semakin paham dengan materi kali ini, yuk simak contoh soal berikut.
Contoh Soal 1
Deni memiliki satu kardus mie yang berisi 40 buah. Seperempat dari mie dalam kardus tersebut diberikan pada neneknya. Berapakah sisa mie Deni di dalam kardus?
Pembahasan:
Pertama, kamu harus menentukan banyaknya mie yang diberikan pada nenek.
Seperempat jika dinyatakan secara matematis menjadi 1/4.
Banyaknya mie yang diberikan pada nenek adalah 1/4×40=10 buah.
Dengan demikian, sisa mie Deni di dalam kardus adalah 40 – 10 = 30 buah.
Contoh Soal 2
Tentukan hasil operasi bilangan berikut ini.

Pembahasan:

Pertama, kamu harus mencari KPK antara 3, 6, dan 12.
KPK ketiga bilangan tersebut adalah 12.
Persamaannya menjadi seperti berikut.


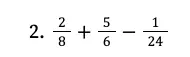
Pertama, kamu harus mencari KPK antara 8, 6, dan 24.
KPK ketiga bilangan tersebut adalah 24, sehingga persamaannya menjadi seperti berikut.


Lakukan perkalian seperti contoh yang telah disebutkan.


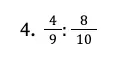
Pertama, ubahlah pembagian tersebut menjadi perkalian dengan syarat pembilang dan penyebutnya dibalik.

Contoh Soal 3
Urutkan bilangan berikut mulai dari yang terbesar sampai terkecil.

Pembahasan:
Cara mengurutkan pecahan di atas adalah dengan menyamakan dahulu penyebutnya.
Jika penyebut sudah sama, maka Quipperian bisa langsung melihat pembilang mana yang angkanya paling besar sampai paling kecil.
Tentukan KPK antara 6, 12, 3, 8, dan 24.
KPK antara kelima bilangan tersebut adalah 24. Ayo, selesaikan bersama!

Urutan:

Dengan demikian, urutan mulai bilangan terbesar sampai terkecil adalah sebagai berikut.

Contoh Soal 4
Tentukan perbandingan bilangan-bilangan berikut dengan menambahkan tanda < (kurang dari), > (lebih dari), atau = (sama dengan).

Pembahasan:
Cara membandingkan pecahan adalah dengan menyamakan penyebutnya. Sama seperti cara-cara sebelumnya.

KPK antara 7 dan 21 adalah 21, sehingga menjadi seperti berikut.

Kira-kira, tanda apa yang tepat untuk membandingkan keduanya? Ya, tanda > (lebih dari).


KPK antara 2 dan 72 adalah 72, sehingga menjadi seperti berikut.

Kira-kira, tanda apa yang tepat untuk membandingkan keduanya?


KPK antara 10dan 6 adalah 30, sehingga menjadi seperti berikut.

Tanda yang tepat untuk membandingkan keduanya adalah <.

Apakah Quipperian sudah paham dengan materi kali ini?
Sampai sini dulu pembahasan Quipper Blog, ya. Semoga bisa bermanfaat buat Quipperian.
Jangan lupa tetap semangat belajar, terlebih pembelajaran tatap muka sudah di depan mata.
Agar belajarmu tambah semangat, yuk gabung bersama Quipper Video. Mumpung ada promo, grab it fast! Salam Quipper!
Penulis: Eka Viandari