
Hai Quipperian, apakah kamu masih ingat tentang persamaan kuadrat? Di artikel sebelumnya Quipper Blog sudah pernah membahas tentang pengertian, jenis-jenis, beserta cara menentukan persamaan kuadrat. Apakah Quipperian masih ingat caranya? Nah, pada pembahasan ini Quipper Blog akan mengajak Quipperian untuk belajar contoh soal persamaan kuadrat. Yuk, simak selengkapnya!
Contoh Soal 1
Bentuk umum dari persamaan kuadrat x( x – 4 ) = 2x + 3 adalah
- x2 – 2x + 3 = 0
- x2 – 6x – 3 = 0
- 2x2 + 6x – 3 = 0
- x2 – 8x – 3 = 0
Pembahasan:
Bentuk umum dari persamaan kuadrat bisa dinyatakan sebagai berikut.
ax2 + bx + c = 0
Artinya, persamaan pada soal harus kamu arahkan ke bentuk umumnya.
x (x – 4) = 2x + 3
⇔ x2 – 4x = 2x + 3
⇔ x2 – 6x – 3 = 0
Jadi, bentuk umum persamaan kuadrat x (x – 4) = 2x + 3 adalah x2 – 6x – 3 = 0
Jawaban: B
Contoh Soal 2

Nilai dari 2a + b – c adalah
- 21
- 19
- -15
- 8
Pembahasan:
Mula-mula, kamu harus mengarahkan persamaan pada soal ke dalam bentuk umumnya.

Dari bentuk umum di atas diperoleh a = 1, b = 7, c = -12. Dengan demikian, nilai 2a + b – c = 2(1) + 7 – (-12) = 21
Jadi, nilai 2a + b – c = 21
Jawaban: A
Contoh Soal 3
Himpunan penyelesaian dari persamaan kuadrat 2x2 – x – 15 adalah
- {2, -3/2}
- {3,5}
- {3, -5/2}
- {3, -5/4}
Pembahasan:
Dari persamaan kuadrat pada soal, diketahui:
- a = 2
- b = -1
- c = -15
Selanjutnya, kamu harus membuat permisalan dua buah bilangan, yaitu m dan n. Jika m dijumlahkan dengan n, akan menghasilkan b = -1. Jika m dikali n, akan menghasilkan ac = -30. Bilangan yang memenuhi ketentuan tersebut adalah m = 5 dan n = -6
Lalu, gunakan SUPER “Solusi Quipper” berikut untuk mencari himpunan penyelesaiannya.

Jadi, himpunan penyelesaiannya adalah {3, -5/2}
Jawaban: C
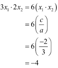
Contoh Soal 4
Persamaan kuadrat memiliki akar x1 dan x2. Jika x1 < x2, nilai 3×1.2×2 adalah
- -4
- -8
- 6
- 4
Pembahasan:
Untuk menyelesaikan soal ini, kamu bisa menggunakan dua metode, yaitu pemfaktoran biasa dan SUPER “Solusi Quipper”.
Metode pemfaktoran
Faktorkan persamaan berikut.

Dengan demikian, 3×1.2×2 = 3 (-2/3) x 2(1) = -4
Metode SUPER “Solusi Quipper”

Ternyata, hasil pemfaktoran dan SUPER sama, yaitu -4
Jadi, nilai 3×1.2×2 adalah -4
Jawaban: A
Contoh Soal 5
Sebuah kelereng dijatuhkan dari atap suatu gedung. Persamaan gerak kelereng tersebut mengikuti persamaan ketinggian seperti berikut.
h(t) = 3x2 – 12x -12 dengan t dalam s dan h dalam m
Waktu yang diperlukan kelereng untuk mencapai tanah adalah
- 4 s
- 1 s
- 3 s
- 2 s
Pembahasan:
Saat menyentuh tanah, ketinggian bola = 0 atau h(t) = 0. Dengan demikian
h(t) = 3x2 – 12x -12
⇔ 3x2 – 12x -12 = 0
⇔ x2 – 4x – 4 = 0
⇔ (x – 2)(x – 2) = 0
⇔ x1 = x2 = 2
Jadi, waktu yang diperlukan kelereng untuk menyentuh tanah adalah 2 s
Jawaban: D
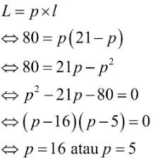
Contoh Soal 6
Andi berencana membeli sebidang tanah yang luasnya 80 m2. Oleh karena suatu hal, si pemilik tanah tidak memberitahu Andi ukuran panjang dan lebarnya. Namun, ia hanya memberi tahu jumlah panjang dan lebarnya, yaitu 21 m. Keliling tanah tersebut adalah
- 56 m
- 42 m
- 48 m
- 64 m
Pembahasan:
Oleh karena si pemilik tanah tidak memberi tahu Andi ukuran panjang dan lebarnya, yuk Quipperian bantu Andi menentukannya.
Misal, panjang disimbolkan p dan lebar l.
p + l = 21 m
⇔ l = 21 – p
Luas tanah tersebut 80 m2, sehingga:

Ukuran p harus lebih besar dari l, sehingga p = 16 m dan l = 5 m
Selanjutnya, tentukan keliling tanah yang akan dibeli Andi
K = 2 ( p + l) = 2 (16+5) = 2(21) = 42 m
Jadi, keliling tanah yang akan dibeli Andi adalah 42 m
Jawaban: B
Contoh Soal 7
Nilai diskriminan dari 4x2 – 2x + 1 = 0 adalah
- 12
- -15
- -12
- -14
Pembahasan:
Rumus diskriminan dinyatakan sebagai berikut.
D = b2 – 4ac
Berdasarkan persamaan 4x2 – 2x + 1 = 0, diperoleh diskriminannya adalah sebagai berikut.
D = b2 – 4ac = (-2)2 – 4(4)(1) = 4 – 16 = -12
Jadi, nilai diskriminannya adalah -12
Jawaban: C
Contoh Soal 8
bentuk faktorisasi dari persamaan x2 – 6x – 27 = 0 adalah
- (x – 9)(x + 3) = 0
- (x – 6)(x + 3) = 0
- (x + 9)(x – 3) = 0
- (x – 3)(x + 3) = 0
Pembahasan:
Pada faktorisasi, Quipperian harus menguraikan persamaan tersebut menjadi faktor-faktor penyusunnya. Untuk memfaktorkannya, ingat tips berikut.
x2 – 6x – 27 = 0
Pilihlah dua angka yang jika dikalikan akan menghasilkan -27 dan jika ditambahkan menghasilkan -6. Angka yang dimaksud adalah -9 dan 3. Dengan demikian, hasil faktorisasinya adalah sebagai berikut.
x2 – 6x – 27 = 0
(x – 9)(x + 3) = 0
Jadi, bentuk faktorisasi dari persamaan x2 – 6x – 27 = 0 adalah (x – 9)(x + 3) = 0
Jawaban: A
Contoh Soal 9
Perhatikan persamaan kuadrat berikut
x2 + 4x – 32 = 0
Jika x1 merupakan bilangan positif dan x2 merupakan bilangan negatif, nilai 2x1 + x2 adalah
- -2
- 5
- 2
- 0
Pembahasan:
Mula-mula, kamu harus memfaktorkan persamaan kuadrat pada soal
x2 + 4x – 32 = 0
⇔ (x + 8)(x – 4)=0
⇔ x = -8 atau x = 4
Di soal tertulis bahwa x1 merupakan bilangan positif dan x2 merupakan bilangan negatif. Artinya, x1 = 4 dan x2 = -8. Dengan demikian, 2×1 + x2 = 2(4) + (-8) = 0
Jadi, nilai 2x1 + x2 adalah 0
Jawaban: D
Contoh Soal 10
Sita memiliki selembar kertas yang panjangnya (x +4) cm dan lebarnya (x – 2) cm. Jika luas kertas tersebut 40 cm2, nilai x adalah
- 10
- 8
- 6
- 4
Pembahasan:
Mula-mula, substitusikan nilai panjang dan lebar kertas ke dalam persamaan luas
L = p x l
⇔ 40 = (x + 4)(x – 2)
⇔ 40 = x2 + 2x – 8
⇔ x2 + 2x – 8 – 40 = 0
⇔ x2 + 2x – 48 = 0
⇔ (x + 8)(x – 6) = 0
⇔ x = -8(TM) atau x = 6
Oleh karena nilai x yang memenuhi adalah 6, maka nilai x = 6
Jadi, nilai x adalah 6
Jawaban: C
Itulah pembahasan Quipper Blog kali ini. Semoga bermanfaat, ya. Jika ingin melihat video pembahasan lengkapnya, yuk buruan gabung Quipper Video. Bersama Quipper Video, belajar jadi lebih siap dan mudah. Salam Quipper!