Hai, Quipperian!
Kamu telah berkenalan dengan bilangan berpangkat—lebih tepatnya lagi, bilangan berpangkat bulat positif, negatif, dan nol. Menurutmu, mudah atau sulitkah materi itu? Apakah kamu sudah mengingat betul sifat-sifat yang ada pada bilangan berpangkat?
Percaya deh, mengenalinya tanpa mencoba mengerjakan latihan soalnya tidak akan menjadikan kamu berhasil menguasai materi tersebut. Pssst, meskipun kadang soal yang disajikan terlihat rumit, kamu dijamin akan bisa mengerjakan soal dengan menerapkan sifat-sifat bilangan berpangkat bulat positif yang bisa kamu temukan dalam postingan Quipper Blog juga.
Nah, supaya kamu semakin mahir dalam melakukan operasi hitung pada bilangan berpangkat dan tidak salah dalam menerapkan sifat-sifatnya itu, Quipper Blog telah menyediakan latihan soal untuk kamu kerjakan, nih! Gimana, sudah siapkah kamu untuk mulai hitung-menghitung?
Setelah menghitung dan mendapatkan jawabannya, cobalah samakan operasi hitung dan jawabanmu dengan pembahasan yang tersedia di bawah soal. Hmm, kira-kira, berapa soalkah yang akan kamu jawab dengan benar? Optimis benar semua enggak, nih? Jangan ditunda-tunda, deh! Yuk, segera dicoba!
Contoh Soal Bilangan Berpangkat Bulat No. 1
Pembahasan:
Bilangan pokok pada soal ini ialah (-6), sementara eksponennya ialah 3. Maka dari itu, yang perlu kamu lakukan ialah mengalikan (-6) sebanyak 3 kali, sebagai berikut:
(-6)3 = (-6) x (-6) × (-6)
=36 ×(-6)
=-216
Dengan demikian, pilihan jawaban yang tepat ialah pilihan pertama.
Jawaban: 1
Contoh Soal Bilangan Berpangkat Bulat No. 2
Pembahasan:
Dengan demikian, pilihan jawaban yang tepat ialah pilihan pertama.
Jawaban: 1
Contoh Soal Bilangan Berpangkat Bulat No. 3
Pembahasan:
Untuk mengerjakan soal satu ini, pertama-tama kamu harus menyelesaikan operasi perkalian yang ada di dalamnya, yaitu antara 4a524a2 dengan menggunakan salah satu sifat pada bilangan berpangkat bulat positif baru kemudian melakukan operasi penambahan, sebagai berikut:
4a5 x 24 a2+ 6a7 = 4×24 a5 x a2 + 6a7
= 4×2×2×2×2×a5+2 + 6a7
= 64a7+6a7
= 70a7
Dengan demikian, pilihan jawaban yang tepat ialah pilihan keempat.
Jawaban: 4
Contoh Soal Bilangan Berpangkat Bulat No. 4
Pembahasan:
Persoalan satu ini menggabungkan operasi perkalian dengan pembagian. Karena semua bilangan pokok dalam soal adalah sama, kamu dapat langsung menerapkan sifat bilangan berpangkat bulat positif dalam soal perkalian pada pembilangnya dan juga pembagian pada soal secara utuhnya, sebagai berikut:
Dengan demikian, pilihan jawaban yang tepat ialah pilihan ketiga.
Jawaban: 3
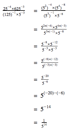
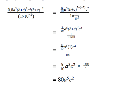
Contoh Soal Bilangan Berpangkat Bulat No. 5
Pembahasan:
Kelihatannya rumit, ya, Quipperian? Tapi, ternyata mengerjakan soal satu ini cukup mudah, lho, karena adanya kelompok bilangan yang sama, yakni (b+c), yang dapat langsung kamu terapkan ke dalam salah satu sifat bilangan berpangkat bulat positif tanpa perlu repot-repot memecahkannya. Jangan lupa juga sifat bilangan berpangkat bulat negatif yang perlu kamu terapkan ke dalam penyebut pada pecahan ini, sebagai berikut:
Dengan demikian, pilihan jawaban yang tepat ialah pilihan kedua.
Jawaban: 2
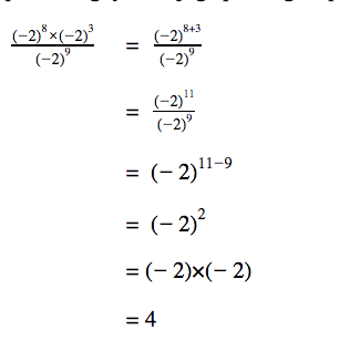
Contoh Soal Bilangan Berpangkat Bulat No. 6
Pembahasan:
Meskipun soal ini menyediakan bilangan berpangkat bulat negatif, jangan terkecoh dan menyulitkan dirimu sendiri dengan menjadikan seluruh pembilang dan penyebutnya ke dalam bentuk pecahan di dalam pecahan. Kamu bisa, lho, menerapkan salah satu sifat bilangan berpangkat bulat positif pada operasi perkalian yang ada di dalam soal ini.
Pssst, jangan lupa untuk menjadikan semua bilangan bulat ke dalam bentuk pemangkatannya bila memungkinkan untuk semakin memudahkanmu menghitung, sebagai berikut:
Dengan demikian, pilihan jawaban yang tepat ialah pilihan ketiga.
Jawaban: 4
Contoh Soal Bilangan Berpangkat Bulat No. 7
Pembahasan:
Nah, untuk soal satu ini, tentu saja pertama-tama kamu harus mengingat dahulu cara mencari luas permukaan serta volume kubus. Setelah kamu berhasil mendapatkannya, masukkan ke dalam perbandingan yang diminta, yakni luas permukaan dahulu, baru volume. Lalu, kamu tinggal menyederhanakan perbandingan yang kamu dapatkan, sebagai berikut:
Dengan demikian, pilihan jawaban yang tepat ialah pilihan keempat.
Jawaban: 4
Gimana, Quipperian? Berapa soalkah yang berhasil kamu jawab dengan benar? Selalu memberikan tantangan bagi dirimu sendiri untuk menjawab latihan soal pasti bisa menjadikanmu menguasai materi di dalam pelajaran Matematika, ya! Kalau kamu mau mengerjakan contoh soal lain seperti di atas, buruan gabung dengan Quipper Video!
Sumber:
Anak Kelas 9, Yuk Pahami Materi Bilangan Berpangkat Bulat Positif, Negatif, dan Nol Ini!
Penulis: Evita












