
Hai Quipperian, bagaimana kabarnya? Semoga selalu sehat dan tetap semangat, ya!
Pernahkah kamu mendengar istilah sensus penduduk? Sensus penduduk adalah proses yang dilakukan pemerintah untuk mengetahui jumlah penduduk dalam selang waktu tertentu, biasanya 10 tahun sekali. Dari data yang diperoleh setiap 10 tahun sekali itu, pemerintah bisa menghitung pertumbuhan penduduk untuk beberapa tahun selanjutnya. Perhitungan itu tentu bersifat pendekatan atau perkiraan saja. Apakah bisa demikian? Tentu bisa dengan menggunakan pendekatan secara eksponen. Apakah itu eksponen? Temukan jawabannya di pembahasan Quipper Blog kali ini. Check this out!
Pengertian Eksponen

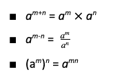
Eksponen adalah bentuk perkalian suatu bilangan yang sama secara berulang-ulang. Mungkin Quipperian biasa mendengar istilahnya sebagai bilangan berpangkat. Contohnya sebagai berikut.

Bentuk eksponen bisa dinyatakan dalam bentuk persamaan maupun pertidaksamaan. Hal itu berkaitan dengan jenis penggunaannya, misalnya untuk menyelesaikan masalah yang berkaitan dengan fungsi eksponen. Nah, konsep dasar perkalian berulang-ulang inilah yang nantinya digunakan pemerintah untuk menghitung jumlah penduduk beberapa tahun ke depan. Tentunya dengan perhitungan dan penurunan rumus yang tidak mudah, ya!
Persamaan Eksponen

Persamaan eksponen adalah persamaan yang memiliki variabel di bagian eksponennya. Secara umum, persamaan eksponen dibagi menjadi tiga, yaitu persamaan eksponen berbasis konstanta, persamaan eksponen berbasis fungsi, dan persamaan eksponen dalam bentuk penjumlahan. Untuk penjelasan lebih lengkapnya, simak ulasan berikut.
1. Persamaan eksponen berbasis konstanta
Untuk persamaan eksponen berbasis konstanta, terdapat dua persamaan yang harus Quipperian pahami, yaitu sebagai berikut.

Untuk lebih jelasnya, simak contoh soal berikut ini.
Contoh Soal 1
Tentukan solusi dari persamaan 3x+2 = 9x-2!
Pembahasan:
Untuk menentukan solusinya, Quipperian harus menyamakan basis kedua ruas terlebih dahulu. Berdasarkan sifat-sifat eksponen, diperoleh:

Jadi, solusi dari persamaan 3x+2 = 9x-2 adalah x = 6.
2. Persamaan eksponen berbasis fungsi
Bentuk umum persamaan eksponen berbasis fungsi adalah sebagai berikut.
Bentuk persamaan eksponen di atas memiliki empat kemungkinan solusi, yaitu sebagai berikut.
- g(x) = h(x)
- f(x) = 1
- f(x) = -1, dengan syarat g(x) dan h(x) sama-sama genap atau ganjil.
- f (x) = 0, dengan syarat g(x), h(x) > 0.
Untuk mengetahui penerapan persamaan eksponen berbasis fungsi pada soal, simak contoh berikut.
Contoh Soal 2
Tentukan himpunan penyelesaian dari persamaan eksponen (x – 2)x2-2x = (x – 2)x+4!
Pembahasan:
Solusi dari persamaan eksponen di atas didapat dari 4 kondisi berikut.
a. Solusi ke-1

b. Solusi ke-2

c. Solusi ke-3
Sekarang Quipperian periksa apakah x = 1, g(x) dan h(x) sama-sama genap atau sama-sama ganjil.
- Uji pangkat untuk ruas kiri.
![]()
- Uji pangkat untuk ruas kanan
![]()
Oleh karena sama-sama ganjil, maka x = 1 merupakan penyelesaian.
d. Solusi ke-4

Cobalah periksa, apakah untuk x = 2, g(x) dan h(x) sama-sama bernilai positif?
Uji pangkat ruas kiri menunjukkan bahwa:
x2 – 2x = 22 – 2(2) = 0
Oleh karena 0 bukan bilangan positif, maka x = 2 bukan termasuk penyelesaian.
Jadi, himpunan penyelesaian dari persamaan eksponen di atas adalah {-1, 1, 3, 4}.
3. Persamaan eksponen berbentuk penjumlahan
Bentuk umum persamaan eksponen penjumlahan adalah sebagai berikut.

Lalu, bagaimana langkah-langkah menentukan hasil persamaan eksponen berbentuk penjumlahan ini? check this out!
a. Bentuk eksponen harus diuraikan sampai diperoleh bentuk yang sama. Untuk menguraikannya, gunakan sifat-sifat berikut.

b. Gunakan permisalan bentuk eksponen yang sama dengan variabel tertentu.
c. Selesaikan persamaannya, lalu substitusikan kembali nilai variabel yang diperoleh pada permisalan.
Untuk lebih jelasnya, simak contoh soal berikut ini.
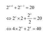
Contoh Soal 3
Tentukan solusi dari persamaan eksponen 2x+1 + 2x-1 = 20!
Pembahasan:

Misalkan, 2x = y, sehingga diperoleh:
Substitusikan nilai balik y pada permisalan tersebut.

Jadi, solusi dari persamaan eksponen 2x+1 + 2x-1 = 20 adalah x = 3.
Bagaimana Quipperian, mudah bukan belajar persamaan eksponen? Nah, setelah persamaan eksponen, Quipper Blog akan mengajak Quipperian untuk belajar tentang pertidaksamaan eksponen. Seperti apa ulasannya?
Pertidaksamaan Eksponen

Pertidaksamaan eksponen adalah pertidaksamaan jenis eksponen yang memiliki variabel. Ternyata, pertidaksamaan eksponen memiliki dua bentuk umum lho, yaitu sebagai berikut.

Untuk menentukan solusi pertidaksamaan eksponen seperti pertidaksamaan di atas, ikuti langkah berikut.
- Bentuk eksponen harus diuraikan sampai diperoleh bentuk yang sama. Uraikan berdasarkan sifat-sifat eksponen.
- Gunakan permisalan bentuk eksponen dengan variabel tertentu.
- Selesaikan pertidaksamaannya menggunakan konsep pertidaksamaan sampai diperoleh interval untuk permisalannya.
- Susbtitusikan nilai balik yang diperoleh pada permisalan.
Agar Quipperian tambah paham dengan pertidaksamaan eksponen, perhatikan contoh berikut.
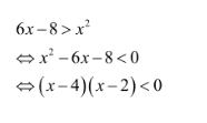
Contoh Soal 4
Tentukan himpunan penyelesaian dari pertidaksamaan eksponen 493x-4 > 7x2!
Pembahasan:
Untuk menentukan solusinya, Quipperian harus menyamakan basis pada kedua ruas. Berdasarkan sifat-sifat eksponen diperoleh:

Oleh karena a = 7 > 1, maka berlaku:

Titik pembuat nol x = 4 dan x = 2.
Selanjutnya, Quipperian harus menempatkan titik pembuat nol dalam garis bilangan. Kemudian, tentukan tanda daerahnya dengan titik uji. Oleh karena tanda pertidaksamannya “<”, maka bulatannya kosong dan titik pembuat nol tidak termasuk dalam nilai x.

Jadi, himpunan penyelesaian dari pertidaksamaan eksponen di atas adalah {x|x ∈ R, 2 < x < 4}.
Nampaknya, cukup mudah ya materi persamaan dan pertidaksamaan eksponen ini? Quipperian tidak perlu khawatir, semua pembahasan lengkapnya bisa kamu dapatkan di Quipper Video. Quipper Video menyediakan ribuan latihan soal beserta pembahasannya yang bisa kamu gunakan kapanpun dan dimanapun. Tidak hanya itu, kamu juga akan dibimbing langsung oleh para tutor yang pastinya kece dan jago di bidangnya. So, tunggu apa lagi? Bersama Quipper Video, belajar jadi lebih mudah dan menyenangkan. Salam Quipper!
Penulis: Eka Viandari