
Halo Quipperian! Pada kali ini Quipper Blog akan membahas suatu tema yang menarik untuk Quipperian lho,yaitu Fungsi Komposisi. Mengapa tema ini menarik? Karena berdasarkan data yang Quipper Blog miliki, topik Fungsi Komposisi adalah bab yang selalu keluar dalam soal-soal SBMPTN pada tahun belakangan ini. Jumlah soal yang keluar pun termasuk banyak lhoyaitu kira-kira 10 soal.
Oleh sebab itu, pada sesi kali ini Quipper Blog akan membahas tentang definisi dan rumusan dasar Fungsi Komposisi, sifat-sifat Fungsi Komposisi, Rumus umum Fungsi Invers, dan Solusi Super menyelesaikan Fungsi Komposisi dan Inversnya. Penasaran? Simak, yuk!
Pengertian Fungsi Komposisi

Fungsi Komposisiadalah gabungan dari beberapa fungsi yang ada. Fungsi Komposisi disimbolkan dengan “ o “ (Bundaran). Contoh gabungan dari dua Fungsi yaituf o g (x) = f( (g(x)) dan g o f(x) = g(f(x)). Artinya ada dua gabungan yaitu fungsi f(x) dengan fungsi g(x). Untuk mempermudah pemahaman Quipperian tentang Fungsi Komposisi, mari perhatikan gambar di bawah ini:

Dari gambar di atas terlihat misalkan Fungsi f(x) adalah sebuah pizza sedangkan g(x) adalah buah nanas. Maka apabila digabungkan/ dikomposisikan menjadi f o g (x) adalah pizza isi nanas sedangkan apabila Fungsi Komposisi dari g o f (x) adalah sebuah nanas besar yang diletakkan sebagai piringan pizza. Dari ilustrasi tersebut, terlihat bahwa f o g (x) ≠ g o f (x).
Contoh Soal ke Dalam Bentuk Matematikanya

Diketahui f(x) = 2x + 1 dan g(x) = 3x2 . Tentukan:
a.(f o g)(x) b.(g o f)(x)
Penyelesaian:
a.

b.

Dari soal tersebut juga terlihat bahwa (f o g) (x) ≠ (g o f)(x).
Jenis Penyelesaian Fungsi Komposisi

Ada beberapa jenis yaitu Fungsi Sebelah kanan dan Fungsi Sebelah kiri apabila diketahui gabungan Fungsinya. Jika yang ditanyakan adalah fungsi sebelah kiri, maka Fungsi Komposisi ini dapat diselesaikan dengan operasi perhitungan biasa. Namun jika yang ditanyakan adalah fungsi sebelah kanan maka Fungsi Komposisi harus dimisalkan dahulu dengan suatu variabel untuk penyelesaiannya. Contoh:
a. Contoh soal Fungsi sebelah kiri:
Diberikan f o gx= 4x+6dan x=2x-4. Tentukan fungsi g (x)!

b. Contoh soal Fungsi sebelah kanan:
Jika f(x) = x-3 dan ( g o f)(x) = (x+3)2 . Tentukan nilai g (x)!

Fungsi Invers

Suatu Fungsi memiliki suatu Invers. Invers adalah suatu proses pembalikan suatu Fungsi asalnya. Fungsi Invers dan disimbolkan dengan pangkat tanda -1 contoh : f-1(x)dibaca: Invers dari fungsi f(x).
Sebagai contoh Himpunan a terdiri 3 elemen yaitu {a,b,c} dan Himpunan B terdiri dari 3 elemen yaitu {1,2,3}. Apabila Quipperian masih belum memahami, Quipper Blog akan memberikan sebuah ilustrasi untuk lebih memahami konsep Invers.
Misalnya Fungsi (x) adalah terdiri dari 5 pria berkulit hitam dan 1 wanita berkulit putih maka fungsi inversnya adalah 5 wanita berkulit hitam di belakang dan 1 pria berkulit hitam di posisi depan.
Strategi penentuan fungsi invers dari fungsi y = f(x) dapat ditembuh dengan langkah-langkah berikut ini:
- Nyatakan x sebagai fungsi y, yaitu x = f-1(y)
- Ganti y dengan x dan x dengan y, sehingga y = f-1(x) merupakan invers fungsi dari y = f(x)

Contoh Soal
Diberikan fungsi f(x) = 3x + 6. Tentukan rumus f-1(x)!
Penyelesaian:

Dalam Penyelesaian Invers dengan bentuk Fungsi tunggal F(x) ada beberapa jenis nya yaitu, Fungsi linear Fungsi pecahan linear, dan Fungsi Irasional. Solusi SUPER dari Invers F(x) jenis berturut-turut adalah sebagai berikut:

Dalam penentuan Invers dari Fungsi gabungan/Komposisi juga dapat menggunakan solusi SUPER lho, yaitu sebagai berikut:

Contoh Soal Menggunakan Solusi Super

Nomor 1
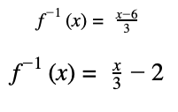
Diberikan fungsi f(x) = 3x +6. Tentukan rumus f-1(x) ?
Penyelesaian:
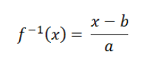
Dari soal, fungsi yang dimaksud adalah fungsi linear. Maka penentuan Inversnya adalah menggunakan rumus

Di mana a = 3 dan b = 6, maka diperoleh:

Jawaban tersebut sama dengan menggunakan aturan dasar dari Fungsi Komposisi yang sudah dijelaskan sebelumnya.
Nomor 2

Nomor 3

Penyelesaian:

Nomor 4

Penyelesaian:

Nomor 5

Penyelesaian:

Nomor 6

Penyelesaian:
- Menggunakan cara biasa

- Menggunakan Cara SUPER

Nomor 7

Penyelesaian:

Bagaimana Quipperian sudah mulai tertantang untuk mengerjakan soal-soal tentang Fungsi Komposisi lebih banyak lagi? Calm down! Quipper Blog akan memberikan soal-soal dan pembahasan yang menarik untuk Quipperian apabila kalian bergabung bersama kami di Quipper Video ataupun Quipper Masterclass. Ayo, tunggu apa lagi!
Sumber:
- Tampomas, Husein. 2006. Seribu Pena Matematika untuk SMA/MA kelas XI. Jakarta: Erlangga
- Yuniarto, Markus. 2016. Fungsi Komposisi dan Invers Fungsi. Bandung: SMA Santa Angela.
- https://id.wikipedia.org/wiki/Fungsi_invers
Sumber gambar:
- https://id.wikipedia.org/wiki/Fungsi_invers
- https://1cak.com/2482660
- https://Instagram.com/warungsainsteknologi/fungsi_komposisi