
Hai Quipperian, saat di SMP kamu sudah belajar tentang relasi dan fungsi, kan? Apakah kamu masih ingat? Seperti pembahasan di SMP dulu, fungsi merupakan hubungan satu-satu antara daerah awal dan daerah kawan. Ternyata, suatu fungsi bisa disubstitusikan ke dalam fungsi lainnya, lho. Gabungan fungsi semacam ini dikenal sebagai fungsi komposisi. Apa yang dimaksud dengan fungsi komposisi? Daripada penasaran, yuk simak selengkapnya!
Pengertian Fungsi Komposisi
Fungsi komposisi adalah gabungan antara dua atau lebih fungsi, sehingga membentuk fungsi baru. Pada fungsi komposisi, berlaku proses substitusi suatu fungsi ke dalam fungsi yang lain.
Jika ada suatu fungsi f(x), apa sih arti fungsi tersebut? Fungsi f(x) adalah fungsi yang nilainya bergantung pada nilai x, misalnya f(x) = 5x + 7. Jika x = 1, maka nilai fungsinya adalah 5(1) + 7 = 12. Nah, bagaimana jika x juga merupakan fungsi, semisal x = g(x)? Coba substitusikan x = g(x) pada f(x), sehingga menjadi f(g(x)) atau bisa ditulis (f o g)(x). Nah, (f o g)(x) ini merupakan penulisan matematis fungsi komposisi.
Rumus Fungsi Komposisi
Sebelum membahas rumus fungsi komposisi, perhatikan diagram panah berikut.

Diagram panah di atas menunjukkan, pemetaan dari daerah asal, yaitu x, menuju daerah kawan (range), yaitu f(x). Selanjutnya, pemetaan berlangsung dari daerah kawan atau daerah asal yang baru f(x) menuju daerah kawan (range) yang kedua, yaitu g(x).
f : x → f(x)
f : f(x) → g(x)
Dengan demikian, rumus fungsi komposisi adalah sebagai berikut.

Syarat Fungsi Komposisi
Dua buah fungsi bisa dikomposisikan menjadi jika memenuhi syarat berikut.
Irisan antara daerah kawan (range) fungsi pertama dan daerah asal fungsi kedua bukan himpunan kosong. Dengan kata lain, harus ada irisan antara range fungsi pertama dan domain fungsi kedua. Secara matematis, dinyatakan sebagai R1 ⊆ D2 atau R1 ∩ D2 ≠ { }. Perhatikan contoh berikut.
Diketahui dua buah fungsi seperti berikut.
f: {(1, 5), (2, 7), (3, 9), (4, 11)}
g: {(5, 6), (7, 12), (11, 16)}
Manakah yang terdefinisi sebagai fungsi komposisi, (f o g)(x) atau (g o f)(x)?
Yuk, selesaikan satu persatu!
Kamu harus ingat bahwa syarat dua fungsi dapat dikomposisikan adalah R1 ∩ D2 ≠ { }.
Mula-mula, tinjau (f o g)(x).
Tentukan daerah hasil g(x) dan daerah asal f(x) dahulu. Dalam hal ini, g(x) merupakan fungsi pertama dan f(x) sebagai fungsi kedua.
Rg = {6, 12, 16}
Df = (1, 2, 3, 4}
Dari himpunan di atas, terlihat bahwa tidak ada irisan antara range fungsi g(x) dan domain fungsi f(x). Dengan demikian, (f o g)(x) tidak terdefinisikan atau tidak memenuhi syarat fungsi komposisi.
Selanjutnya, tinjau (g o f)(x).
Tentukan daerah hasil f(x) dan daerah asal g(x) dahulu. Dalam hal ini, f(x) merupakan fungsi pertama dan g(x) sebagai fungsi kedua.
Rf = {5, 7, 9, 11}
Dg = (5, 7, 11}
Dari kedua himpunan di atas, diperoleh bahwa Rf ∩ Dg = {5, 7, 11}. Dengan demikian, (g o f)(x) terdefinisi sebagai fungsi komposisi.
Sampai sini, apakah Quipperian sudah paham?
Apa Saja Sifat-Sifat Fungsi Komposisi
Fungsi komposisi memenuhi sifat-sifat berikut.
- Berlaku sifat asosiatif, yaitu sebagai berikut. f o (g o h) = (f o g) o h Sifat ini akan terpenuhi jika Rh ∩ Dg ≠ { }; Rg ∩ Df ≠ { }
- Berlaku sifat identitas, yaitu sebagai berikut. f o I = I o f
- Perhitungan masalah gaji dan tunjangan
- Pembelahan bakteri yang melibatkan dua besaran
- Permasalahan nilai tukar antarmata uang
Lalu, apakah fungsi komposisi bersifat komutatif? Jawabannya tidak, ya. Hal itu mengacu pada syarat-syarat yang telah dijelaskan sebelumnya, di mana (f o g) ≠ (g o f).
Cara Mencari Fungsi Komposisi
Cara mencari fungsi komposisi, baik (f o g)(x) maupun (g o f)(x), terbilang cukup mudah, yaitu kamu hanya perlu mensubstitusikan persamaan fungsi pertama ke persamaan fungsi kedua. Untuk (f o g) kamu hanya perlu mensubstitusikan fungsi g(x) ke persamaan fungsi f(x). Perhatikan contoh berikut.
Diketahui:
f(x) = x + 4
g(x) = 3x – 6
Persamaan fungsi komposisi untuk (f o g)(x) dapat dicari dengan mensubstitusikan g(x) = 3x – 6 ke f(x) = x + 4 seperti berikut.
(f o g)(x) = f(3x – 6) = 3x – 6 + 4
(f o g)(x) = 3x – 2
Persamaan fungsi komposisi untuk (g o f)(x) dapat dicari dengan mensubstitusikan f(x) = x + 4 ke g(x) = 3x – 6 seperti berikut.
(g o f)(x) = g(x + 4) = 3(x + 4) – 6
(g o f)(x) = 3x + 6
Lalu, bagaimana jika diketahui fungsi komposisi lalu kamu diminta untuk menentukan fungsi f(x) atau g(x)? Dalam hal ini, kamu harus mencari invers fungsinya terlebih dahulu seperti berikut.
Diketahui:
(f o g)(x) = 3x – 2
g(x) = 3x – 6
Berapakah persamaan fungsi f(x)?
(f o g)(x) = 3x – 2
f(g(x)) = 3x – 2
f(3x – 6) = 3x – 2
Tentukan invers dari g(x) atau g-1(x).
g(x) = 3x – 6, misalkan g(x) = y, sehingga:
y = 3x – 6
y + 6 = 3x
x = y+6/3
substitusikan nilai x = y+6/3 ke persamaan f(3x – 6) = 3x – 2.
f(y) = 3(y+6/3) – 2
f(y) = y + 4
f(x) = x + 4
Contoh Fungsi Komposisi
Adapun contoh fungsi komposisi adalah sebagai berikut.
Diketahui:
f(x) = 2x – 4
g(x) = 3x + 2
h(x) = 5x – 1
Tentukan fungsi komposisi (f o g o h)(x)!
Mula-mula, kamu harus mencari persamaan fungsi komposisi untuk (g o h)(x).
g(x) = 3x + 2
h(x) = 5x – 1
(g o h)(x) = 3(5x – 1) + 2
= 15x – 1
Lalu, tentukan (f o g o h)(x)!
(f o g o h)(x) = f(g(h(x)))
= f(15x – 1)
= 2(15x – 1) – 4
= 30x – 6
Aplikasi Fungsi Komposisi
Siapa bilang fungsi komposisi hanya teori di atas kertas saja. Buktinya, ada beberapa aplikasi fungsi ini dalam kehidupan sehari-hari, seperti berikut ini.
Misalnya jika seorang ASN mendapatkan tunjangan kinerja x kali gaji pokok dan tunjangan kesehatan 0,5x gaji pokok. Nah, untuk menentukan gaji setiap ASN, tentu tidak mungkin bagian keuangan menghitungnya satu per satu. Untuk memudahkannya, diperlukan suatu fungsi komposisi.
Pertumbuhan bakteri pada penelitian tentu tidak hanya dipengaruhi oleh satu faktor saja, melainkan dipengaruhi beberapa faktor atau besaran. Untuk memudahkan penelitian tersebut, si peneliti harus mampu merumuskan fungsi komposisi yang melibatkan beberapa variabel terkait, misalnya suhu dan waktu pembelahan.
Permasalahan nilai tukar untuk satu jenis mata uang memang tidak perlu fungsi komposisi. Namun, ada kalanya seseorang menukarkan dua tingkat mata uang. Misalnya, seorang WNA menukarkan mata uang USD ke Rupiah di negara asalnya. Lalu, di tempat lain WNA tersebut menukarkan mata uang Rupiah ke AUD di Indonesia.
Soal Fungsi Komposisi
Untuk mengasah kemampuanmu tentang fungsi komposisi, yuk simak soal-soal berikut.
Contoh soal 1
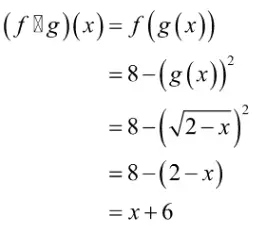
Tentukan daerah hasil dari fungsi komposisi (f o g) dengan f(x) = 8 – x2 dan 
Pembahasan:
Mula-mula, tentukan dahulu nilai (f o g)(x).

Dengan demikian (f o g)(x) = x + 6 merupakan fungsi yang linear. Artinya, himpunan dari domain tidak ada batasnya, sehingga himpunan dari daerah hasil berupa himpunan tak hingga. Jika ditulis secara matematis menjadi {y| – ∞ < y < ∞}.
Jadi, daerah hasilnya adalah {y| – ∞ < y < ∞}.
Contoh soal 2
Seorang ahli meneliti jejak tumpahan minyak di lautan lepas. Jari-jari tumpahan minyak tiap satuan waktunya dinyatakan sebagai r(t) = 5t – t2. Sementara itu, luas tumpahan minyaknya mengikuti fungsi luas L(r) = πr2. Bagaimana bentuk persamaan luas tumpahan minyak tersebut tiap satuan waktunya?
Pembahasan:
Diketahui:
r(t) = 5t – t2
L(r) = πr2
Ditanya: L(t) =…?
Jawab:
Untuk mencari persamaan luas sebagai fungsi waktu, kamu harus mencari fungsi komposisi (L o r).
r(t) = 5t – t2
Susbstitusikan nilai di atas pada persamaan luas.
L(r) = πr2
L(5t – t2) = π(5t – t2)2
L(t) = π(5t – t2)2
Jadi, bentuk persamaan fungsi komposisinya adalah L(t) = π(5t – t2)2.
Contoh soal 3
Proses produksi tahu di suatu pabrik dilakukan dalam dua tahapan. Tahapan pertama meliputi proses penggilingan kedelai (x dalam kuintal) menjadi bubur kedelai (p dalam kuintal) dengan bantuan mesin A dan mengikuti fungsi p = f(x) = 2x2 + x – 5.
Tahapan kedua berlangsung dengan bantuan mesin B. Pada tahapan ini, bubur kedelai akan diolah menjadi tahu dengan mengikuti persamaan fungsi g(p) = 2p – 15. Jika kedelai yang tersedia untuk sekali produksi 5 kuintal, tentukan banyaknya tahu yang dihasilkan!
Pembahasan:
Pertama, kamu harus menentukan banyaknya hasil produksi tahap I oleh mesin A. Pada tahapan ini, variabel x menunjukkan bahan baku dasar berupa kedelai utuh.
f(x) = 2x2 + x – 5
f(5) = 2(5)2 – 5 + 5
= 50
Lalu, substitusikan nilai f(5) pada persamaan produksi tahap II oleh mesin B.
g(50) = 2(50) – 15
=85 kuintal
Jadi, banyaknya tahu yang dihasilkan adalah 85 kuintal.
Itulah pembahasan Quipper Blog kali ini. Semoga bermanfaat, ya. Untuk materi lengkapnya bisa kamu lihat di Quipper Video. Salam Quipper!