
Halo Quipperian! Pada kesempatan kali ini Quipper Blog akan membahas suatu topik yang menarik untuk kalian lho, yaitu “Memahami Konsep Dasar dari Garis Singgung Lingkaran”. Pembahasan tentang garis singgung lingkaran memang cukup sulit bagi siswa untuk pelajaran matematika. Hal ini dikarenakan banyaknya tipe-tipe dari garis singgung lingkaran dan pemakaian rumus yang berbeda tiap jenis garis singgung lingkarannya.
Namun hal tersebut dapat diatasi apabila Quipperian memahami konsep dasar dari garis singgung lingkaran tersebut serta menguasai tips dan trik untuk menjawab soal dari garis singgung. Oleh sebab itu, pada sesi kali ini Quipper blog akan membahas secara mendalam tentang:
- Definisi dari lingkaran dan garis singgung lingkaran
- Tipe-tipe garis singgung lingkaran
- Rumus dan persamaan garis singgung lingkaran
- Tips dan trik penyelesaian persamaan garis singgung lingkaran
- Contoh soal dan pembahasan dari bank soal Quipper
Menarik, kan? Tunggu apa lagi? Yuk, simak di bawah ini!
Definisi Lingkaran

Lingkaran adalah suatu koordinat titik-titik yang memiliki jarak sama terhadap suatu titik tertentu. Suatu lingkaran pasti memiliki jari-jari dimana jari-jari adalah jarak lingkaran terhadap titik pusat lingkaran yang besarnya selalu sama terhadap titik dimanapun pada lingkaran. Sehingga dapat disimpulkan suatu lingkaran pasti mempunyai titik koordinat, jari-jari lingkaran dan titik pusatnya.

Sumber: http://www.materi78.co.nr
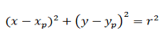
Suatu lingkaran mempunyai suatu persamaan yaitu:

Persamaan lingkaran dapat dibentuk jika diketahui beberapa variabel untuk mencari variabel yang lain seperti:
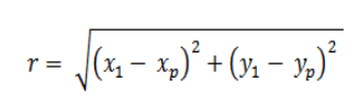
1. Titik pusat (Xp, Yp) dan satu titik pada lingkaran

Sumber: http://www.materi78.co.nr
Nilai jari-jarinya adalah sebagai berikut:

Nilai persamaan lingkarannya adalah sebagai berikut:

2. Titik pusat dan menyinggung sumbu x atau y

Sumber: http://www.materi78.co.nr
Nilai jari-jarinya adalah sebagai berikut:

Persamaan lingkarannya adalah:

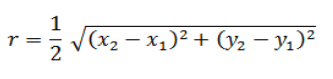
3. Titik-titik ujung diameter

Sumber: http://www.materi78.co.nr
Nilai jari-jarinya adalah:

Membentuk persamaan lingkaran dengan rumus:

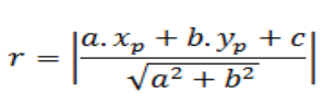
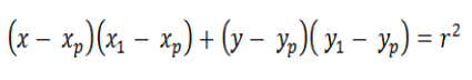
4. Titik pusat dan persamaan garis singgung lingkaran

Sumber: http://www.materi78.co.nr
Nilai jari-jarinya adalah:

Membentuk persamaan lingkaran:

Definisi Garis Singgung Lingkaran

Garis singgung lingkaran adalah garis yang memotong lingkaran tepat pada satu titik dan titik tersebut. Persamaan garis singgung lingkaran dapat dibentuk jika diketahui nilai persamaan lingkarannya yaitu:

1. Gradien garis singgung lingkaran
Membentuk persamaan garis singgung yaitu:

(Xp, Yp = pusat lingkaran)
r = jari-jari
m = gradien garis singgung lingkaran
2. Titik pada lingkaran/garis singgung (k = 0)

Sumber: http://www.materi78.co.nr
Melalui satu titik pada lingkaran hanya dapat dibuat satu buah garis singgung lingkaran saja, yaitu membentuk persamaan garis singgung:

3. Titik di luar lingkaran (k > 0)
Melalui satu titik di luar lingkaran dapat dibuat dua buah garis singgung lingkaran. Nilai gradien garis singgung dapat dapat dicari menggunakan persamaan:

Membentuk persamaan garis singgung:

Panjang garis singgung dari titik di luar ke titik singgung:

Tips dan Trik Menjawab Soal Garis Singgung Lingkaran

Dalam penyelesaian soal persamaan garis singgung lingkaran, terdapat tips dan trik untuk mempermudah Quipperian dalam menjawab soal persamaan garis singgung ini. Tips dan trik adalah sebagai berikut :
- Tentukan dahulu nilai gradien garis singgungnya (m)
- Tentukan nilai jari-jari (r ), dan titik pusat lingkaran (Xp, Yp)
- Tentukan tipe persamaan garis singgung lingkaran tersebut apakah tipe soal 1 (langsung mencari gradien garis singgung lingkaran, tipe 2 (titik pada lingkaran/titik singgung), tipe 3 (titik di luar lingkaran).
- Masukkan rumus persamaan garis singgung lingkaran pada masing-masing tipe.
Untuk mencoba tips dan trik tersebut, Quipper Blog sajikan soal dan pembahasan beserta langkah-langkah sesuai tahapan tips dan trik di atas. Let’s move it!
Contoh soal: garis singgung yang mempunyai titik pusat
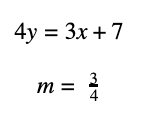
1. Tentukan persamaan lingkaran yang berpusat di titik (2, -3) dan menyinggung garis 3x-4y+7 = 0

Jawab:
Langkah 1. Cari dahulu nilai gradiennya dari persamaan 3x – 4y + 7 = 0

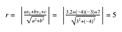
Langkah 2. Cari nilai titik pusat ( Xp, Yp) yaitu nilainya (2,3)
Langkah 3. Cari nilai jari-jarinya.
Nilai jari-jari lingkaran adalah sebagai berikut:

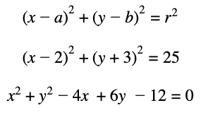
Langkah 4. Cari nilai persamaan garis singgung lingkarannya:
Karena komponen-komponen lingkaran sudah ada titik pusat (Xp, Yp) dan jari-jarinya. Persamaan garis singgung lingkaran dapat dicari menggunakan persamaan:

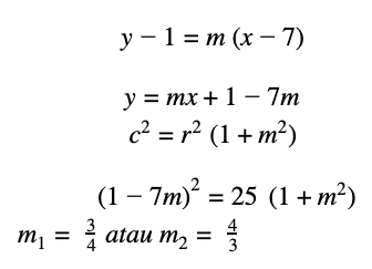
2. Tentukan persamaan garis singgung lingkaran x2 + y2 = 25 yang melalui titik (7,1) !
Jawab:
Langkah 1. Cari dahulu nilai gradiennya yaitu

Langkah 2. Cari nilai persamaan garis singgungnya dengan mensubtitusi nilai gradient ke persamaan garis lingkarannya

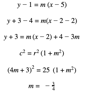
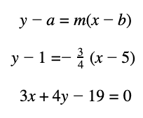
3. Tentukan persamaan garis singgung pada lingkaran x2 + y2 – 4x + 6y – 12 = 0 di (5, 1) !
Langkah 1. Cari nilai gradiennya yaitu:

Langkah 2. Cari nilai persamaan garis singgung nya dengan subtitusi nilai gradiennya ke persamaan garis yaitu:

Bagaimana Quipperian sudah mulai memahami contoh soal beserta tahapan-tahapannya? Oke, next step. Quipper Blog akan memberikan contoh soal serta pembahasannya dari bank soal Quipper Blog yang selalu Up to Date untuk mempersiapakan kalian menghadapi segala tes dan ujian yang diberikan. Tunggu apa lagi, Let’s Check this out!!
Soal 1: Persamaan garis singgung melalui titik

Pembahasan:

Soal 2: Persamaan garis singgung memotong sumbu -Y

Pembahasan:

Soal 3: Persamaan garis singgung yang diketahui nilai jari-jari dan koordinat titik potongnya

Pembahasan:




Apakah Quipperian sudah mulai memahami konsep dasar dari garis singgung lingkaran? Ternyata dengan menguasai konsep dasar dari suatu materi pelajaran dan serta banyak berlatih soal-soal yang diberikan Quipper Blog, pelajaran matematika terasa mudah ya? Eitss, nanti dulu. Apabila Quipperian ingin lebih menguasai konsep pelajaran lainnya, ayo bergabung bersama Quipper Video, karena di sana banyak terdapat video dari tutor Quipper yang berpengalaman dan dilengkapi dengan animasi yang membuat pelajaran yang disampaikan akan cepat dipahami. Ayo gabung bersama Quipper Video!
Sumber
- Sumatri, Yuyun. Soal latihan dan Pembahasan Persamaan Lingkaran. Tasikmalaya: SMA 3 Tasikmalaya
- Tampomas, Husein. 2006. SeribuPena Matematika untuk SMA/MA kelas XI. Jakarta: Penerbit Erlangga
- Wibowo, Anang. 2012. Materi Lingkaran Persamaan Garis Singgung Sekutu 2 Lingkaran. Ponoroga: SMA 1 Ponorogo.
Penulis: William Yohanes