
Hai Quipperian, bagaimana kabarnya? Semoga selalu sehat dan tetap semangat belajar, ya.
Pada pertemuan ini, Quipper Blog akan mengajak Quipperian untuk belajar tentang grafik fungsi trigonometri. Salah satu penerapan grafik fungsi trigonometri ini adalah untuk mendeteksi ketinggian air laut di bidang oseanografi. Sebenarnya, masih banyak penerapan lainnya.
Namun, pada artikel ini hal yang akan dibahas bukan penerapan grafik fungsi trigonometrinya, melainkan bagaimana cara menggambar grafik fungsi trigonometri. So, stay tune!
Melukis Pendekatan Nilai π Menurut Kochansky
Sebelum menggambarkan grafik fungsi trigonometri, Quipperian harus bisa memastikan bahwa perbandingan antara panjang satuan sumbu-x dan sumbu-y harus tepat. Hal ini bertujuan untuk mendapatkan panjang ruas garis sebesar 2πr.
Itulah sebabnya sebelum melukis grafik fungsi trigonometri, Quipperian perlu mengetahui cara melukis pendekatan nilai π. Nah, salah satu cara yang biasa digunakan adalah cara Kochansky, yaitu sebagai berikut.

Jika dijabarkan dalam bentuk matematis, akan menjadi seperti berikut.

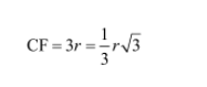
Lukis EF = 3r, sehingga:

Berdasarkan teorema Phytagoras, panjang DF dapat ditentukan sebagai berikut.

Mengingat hasil perhitungan nilai π sebenarnya adalah 3,14 maka pendekatan DF sebagai πr sudah cukup teliti.
Melukis Grafik Fungsi Trigonometri
Nilai perbandingan trigonometri sudut-sudut istimewa berperan penting dalam melukiskan bentuk grafiknya. Inilah tabel perbandingan trigonometri untuk sudut istimewa.

1. Melukis grafik fungsi sinus menggunakan tabel
Adapun langkah-langkahnya adalah sebagai berikut.
a. Gunakan nilai perbandingan trigonometri untuk sudut istimewa dengan sudut relasi sebagai x.

b. Melengkapi nilai pada tabel, lalu tulis pasangan koordinat titik-titiknya dalam radian atau derajat.

c. Lukis titik tersebut dalam koordinat kartesius yang sesuai.

d. Lukis kurva melalui titik-titiknya.

2. Melukis grafik fungsi kosinus menggunakan tabel
Sama seperti grafik fungsi sinus, untuk kosinus kamu bisa menentukan terlebih dahulu nilai kosinus sudut-sudut istimewanya.

Dengan demikian, diperoleh grafik berikut ini.

3. Melukis grafik fungsi tangen menggunakan lingkaran satuan
Jari-jari lingkaran satuan yang diperpanjang sampai memotong sumbu-y, akan menghasilkan gambar berikut.

Dari gambar di atas, kamu bisa mendapatkan beberapa nilai tangen berikut.

Nilai di atas menunjukkan bahwa nilai tangennya adalah panjang ruas garis dari titik O sampai ke titik potong jari-jari yang terkait sudut, misalnya sudut x. Untuk melukis grafik fungsi tangen, kamu bisa melalui titik potongnya, dengan ruas atas bertanda positif dan ruas bawah bertanda negatif.

Grafik Fungsi Trigonometri
Secara umum, grafik fungsi trigonometri dibagi menjadi tiga, yaitu sebagai berikut.
1. Grafik fungsi sinus (y = a sin bx, x ∈ [0o, 360o])
Grafik fungsi sinus, y = a sin bx, x ∈ [0o, 360o] memiliki bentuk gelombang bergerak yang teratur seiring pergerakan x. Perhatikan gambar berikut.

Berdasarkan grafik di atas, diperoleh sifat-sifat berikut.
- Simpangan maksimum gelombang atau yang biasa disebut amplitudo adalah 1. Simpangan gelombang adalah jarak dari fungsi x ke puncak gelombang.
- Gelombang memiliki periode satu putaran penuh.
- Grafik y = sin x memiliki nilai ymaks = 1 dan ymin = -1.
- Titik maksimum gelombang adalah adalah (90o, 1) dan titik minimumnya (270o, -1).
Jika persamaan fungsi trigonometrinya diubah menjadi y = a sin x dengan a = 2, diperoleh grafik berikut.

Perubahan nilai a mengakibatkan perubahan amplitudo gelombang. Nah, jika persamaan fungsinya diubah menjadi y = sin bx dengan b = 2, grafiknya akan menjadi seperti berikut.

Artinya, perubahan nilai b mempengaruhi jumlah gelombang yang terbentuk. Pada grafik fungsi y = sin 2x terbentuk 2 buah gelombang.
Untuk memudahkan belajarmu, inilah SUPER “Solusi Quipper”.

2. Grafik fungsi kosinus (y = cos 2x, x ∈ [0o, 360o])
Pada dasarnya, grafik fungsi kosinus sama dengan grafik fungsi sinus. Hal yang membedakan adalah grafik fungsi sinus dimulai dari y = 0, sedangkan grafik fungsi kosinus dimulai dari y = 1. Perhatikan grafik berikut.

Jika persamaan fungsinya diubah menjadi y = cos 2x, grafiknya menjadi seperti berikut.

Grafik di atas menujukkan adanya dua buah gelombang yang bergerak dari y = 1.
3. Grafik fungsi tangen (y = tan x, x ∈ [0o, 360o])
Adapun ketentuan yang berlaku pada fungsi tangen adalah sebagai berikut.
- Saat x -> 90o dan x -> 270o (dari kanan), nilai y = tan x menuju tak terhingga.
- Saat x -> 90o dan x -> 270o (dari kiri), nilai y = tan x menuju negatif tak terhingga.
Berikut ini contoh grafiknya.

Jika fungsi tangen diubah menjadi y = tan 2x, x ∈ [0o, 360o] grafiknya menjadi seperti berikut.

Untuk mengasah pemahamanmu tentang grafik fungsi trigonometri, simak contoh soal berikut.
Contoh Soal 1
Perhatikan grafik fungsi berikut.

Grafik fungsi tersebut merupakan grafik fungsi jenis apa?
Pembahasan:
Jika diperhatikan, grafik tersebut dimulai dari titik (0,1) dan mempunyai periode satu putaran 0 ≤ x ≤ 2π.
Dengan demikian, grafik fungsi tersebut adalah grafik fungsi cos, yaitu y = cos x. Untuk meyakinkan, coba lihat salah satu titiknya.

Jadi, grafik fungsi tersebut merupakan grafik fungsi y = cos x untuk 0 ≤ x ≤ 2π.
Contoh Soal 2
Lukislah grafik fungsi y = 2 cos 2x, x ∈ [0o, 360o]
Pembahasan:
Untuk menentukan bentuk grafiknya, gunakan tabel trigonometri sudut istimewa.

Dengan demikian, grafik fungsi y = 2 cos 2x, x ∈ [0o, 360o] adalah sebagai berikut.

Contoh Soal 3
Hitunglah nilai maksimum dan minimum fungsi y = cos (x – 30), x ∈ [0o, 360o]. Kemudian, lukislah grafik fungsinya.
Pembahasan:
Berdasarkan tabel trigonometri untuk sudut istimewa, diperoleh:

Berdasarkan tabel di atas, nilai maksimum dari fungsi y = cos (x – 30), x ∈ [0o, 360o] adalah 1 dan nilai minimumnya adalah –1. Untuk lebih jelasnya, simak grafik fungsi berikut.

Itulah pembahasan Quipper Blog tentang grafik fungsi trigonometri. Semoga bermanfaat buat Quipperian. Jika Quipperian ingin melihat pembahasan lengkapnya, silakan buka akun Quipper Video-nya, ya. So, tunggu apa lagi. Salam Quipper!
Penulis: Eka Viandari