
Artikel ini akan membahas tentang konsep irisan kerucut, rumus dasar hiperbola, contoh soal hiperbola, dan solusi Quipper atau SUPER untuk menyelesaikan soal hiperbola. Yuk, simak lengkapnya!
Halo Quipperian! Pada sesi kali ini Quipper Blog akan membahas suatu tema yang menarik lho, yaitu hiperbola. Tahukah kamu, kalau soal tentang Irisan Kerucut dengan topik Elips, Parabola, Hiperbola adalah termasuk soal yang sukar dijawab oleh siswa di bidang matematika?
Salah satu faktor kesulitan siswa tersebut adalah belum pahamnya siswa akan konsep tentang irisan kerucut dan tidak mampu membedakan irisan kerucut, apakah itu Lingkaran, Elips, Parabola, atau Hiperbola. Namun tahukah kamu, walaupun soal ini sulit, ternyata banyak Solusi SUPER untuk dapat menyelesaikan topik ini dengan cepat dan tepat? Yuk, langsung saja simak lengkapnya di bawah ini!
Konsep Irisan Kerucut

Irisan kerucut adalah irisan bidang dengan kerucut tegak. Bentuk irisan (penampang) bergantung pada posisi bidang terhadap sumbu kerucut. Ditunjukkan pada Gambar 1).
- Jika kerucut diiris oleh bidang yang tegak lurus sumbu kerucut maka bentuk irisannya berupa lingkaran (bentuk ke 3 pada gambar 1).
- Jika bidang tidak tegak lurus pada sumbu kerucut tetapi mengiris miring sumbunya maka bentuk irisannya berupa elips (bentuk 1 pada gambar 1).
- Jika bidang sejajar dengan sumbu kerucut, bidang ini akan memotong kerucut dua kali maka bentuk irisannya berupa hiperbola yang terdiri atas dua bagian. (bentuk 2 pada gambar 1).
- Jika bidang sejajar dengan salah satu garis pelukis kerucut maka bentuk irisannya berupa parabola (bentuk 4 pada gambar 1).
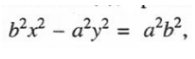
Nilai Persamaan Umum Hiperbola

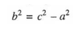
Hiperbola adalah himpunan semua titik yang selisih jaraknya terhadap dua titik tertentu sama. Kedua titik tertentu itu disebut fokus (titik api) hiperbola. Selisih jarak yang sama = 2a (a > 0) dan jarak kedua fokus = 2c dengan 2c > 2a. Suatu persamaan Hiperbola memiliki unsur-unsur di dalamnya yaitu titik pusat, titik Fokus, titik puncak, sumbu simetri, sumbu nyata, sumbu imajiner, persamaan direktriks, eksentrisitas, dan panjang latus rectum. Suatu Hiperbola memiliki nilai persamaan umum:

Penjelasan:
- Titik fokus adalah dua titik tertentu yang bukan merupakan himpunan dari Hiperbola.
- Sumbu imajiner adalah sumbu vertikal pada hiperbola sedangkan sumbu nyata adalah sumbu horizontal pada hiperbola.
- Persamaan direktriks adalah sebuah garis yang tegak lurus dengan sumbu nyata.
- Eksentriksitas adalah ukuran sebuah irisan kerucut menjauhi lingkaran. (Secara matematis, Eksentrisitas didefinisikan perbandingan jarak 2 titik fokus dan panjang sumbu nyatanya).
- Panjang latus rectum adalah garis yang melalui titik fokus F1 dan F2 yang tegak lurus dengan sumbu nyata.
- Titik puncak hiperbola adalah titik A (-a, 0) dan B (a, 0) adalah titik potong hiperbola dengan sumbu nyata.
Perhatikan Gambar 2.
- Fokus (titik api), yaitu F1 (-c, 0) dan F2 (c, 0)
- Pusat, yaitu O (0, 0)
- Sumbu Simetri:
- Sumbu utama, yaitu sumbu X
- Sumbu sekawan yaitu sumbu Y
- Sumbu nyata, yaitu AB = 2a
- Sumbu imajiner, yaitu CD = 2c
- Titik A dan B disebut titik puncak hiperbola yang merupakan titik potong hiperbola dengan sumbu nyata

Persamaan Hiperbola dengan Unsur Berbeda

Suatu persamaan Hiperbola memiliki titik pusat yang berbeda yaitu di O (0, 0) dan di titik sembarang P (a, b). Nilai persamaan Hiperbola dan unsur-unsurnya juga berbeda yaitu sebagai berikut.
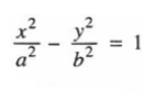
A. Persamaan Hiperbola berpusat di O (0,0)
Atau jika diubah bentuknya menjadi:

Unsur-unsurnya adalah sebagai berikut:
- Pusat O (0,0)
- Fokus F1 (-c,0) dan F2 (c,0)
- Puncak A (-a,0) dan B (a,0)
- Sumbu Simetri:
- Sumbu utama adalah sumbu X
- Sumbu sekawan adalah sumbu Y
- Sumbu nyata AB = 2a
- Sumbu imajiner CD= 2b
- Persamaan direktriks

- Eksentrisitas

- Panjang latus rectum


Sumber: Matematika15.wordpress.com
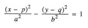
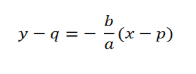
b. Persamaan Hiperbola berpusat di (p,q)
Atau pusat nya di titik sembarang adalah sebagai berikut:

Atau dapat diubah menjadi :

- Pusat (p,q)
- Fokus F1 (p –c, q) dan F2(p+ c, q)
- Puncak A (p- a, q) dan B (p+ a, q)
- Sumbu simetri:
- Sumbu utama y = q (sumbu X’)
- Sumbu sekawan x = p (sumbu Y’)
- Sumbu nyata AB = 2a
- Sumbu imajiner CD = 2b
- Persamaan direktriks

- Eksentrisitas

- Panjang latus rectum

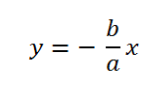
Asimtot

Suatu Hiperbola memiliki Asimtot. Bentuk Asimtot berupa garis lengkung. Secara definisi, Asimtot adalah garis lengkung adalah sebuah garis lurus yang makin lama semakin didekati oleh garis lengkung itu tetapi tidak pernah berpotongan. Bentuk Asimtot ditunjukan pada gambar 4. Asimtot Hiperbola ada yang di pusat koordinat (0,0) dan di titik sembarang. Gambar 5 menunjukkan pusat Asimtot.

Sumber: Matematika15.wordpress.com

Sumber: Matematika15.wordpress.com
Persamaan Nilai Asimtot Hiperbola pada pusat O(0,0) adalah sebagai berikut:

Sedangkan persamaan nilai Asimtot Hiperbola pada pusat P(a.b) adalah sebagai berikut:

Suatu Hiperbola memiliki persamaan garis singgung. Garis singgung di sini artinya adalah sebuah titik singgung yang mengenai permukaan hiperbola di titik sembarang P(x1 ,y1). Gambar persamaan garis singgung ditunjukan pada gambar 6.

Sumber: Matematika15.wordpress.com
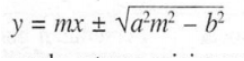
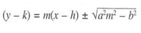
Persamaan garis singgung Hiperbola juga dapat dillintasi yang memiliki gradien. Rumus untuk persamaan garis singgungnya adalah sebagai berikut:
- Berpusat di O(0,) dan titik focus di sumbu X:

- Berpusat di (h,k) dan sumbu utama sejajar sumbu X:


Tabel 1. Bentuk persamaan Hiperbola dan hubungannya dengan persamaan garis singgung
Contoh Soal 1
Tentukan unsur-unsur persamaan Hiperbola (titik pusat, titik fokus, titik puncak, sumbu simetri, dan asimtot) yang persamaanya adalah:

Jawab:


Note: Cara penyelesaian pada soal b disebut melengkapkan kuadrat sempurna. Tujuannya adalah membentuk persamaan garis singgung Hiperbola yang diketahui persamaan umum Hiperbolanya. Lalu ditentukan unsur-unsur yang lain.
Contoh Soal 2
Tentukan persamaan Hiperbola, jika diketahui:

Jawab:

Contoh Soal 3
Tentukan persamaan garis singgung pada setiap Hiperbola dengan titik singgung yang diberikan berikut ini dan tuliskan hasilnya dalam bentuk Ax + By + C = 0

Jawab:

Contoh Soal 4
Tentukan persamaan garis singgung pada hiperbola yang memiliki gradien 4.

Jawab:

Solusi Quipper (SUPER)
Dalam penyelesaian soal Hiperbola, terdapat rumus SUPER (Solusi Quipper) untuk menyelesaikan soal dengan tepat dan cepat. Tips penyelesainnya adalah:
- Apabila diketahui persamaan Hiperbola dan ditanyakan pusat Hiperbola, maka solusi SUPER-nya dapat dicari menggunakan konsep turunan.
- Apabila diketahui asimtot Hiperbola, maka penentuan nilainya dengan menggunakan terobosan, di mana pendamping x2 sebagai pembilang.
Contoh soal:
1. Koordinat pusat Hiperbola 3x2 – 4y2 + 12x+ 32y + 10 = 0
Menggunakan cara biasa:

Menggunakan SOLUSI SUPER:

2. Salah satu persamaan asimtot dari Hiperbola adalah 9x2-16y2-54x+64y-127 = 0
Menggunakan cara biasa:

Menggunakan cara cepat:
Selalu pendamping x2 sebagai pendamping

Kita ambil nilai yang positif sehingga menjadi:

Bagaimana Quipperian sudah mulai memahami tentang penyelesaian soal Hiperbola? Ternyata soal yang sulit pun akan terasa lebih mudah apabila menggunakan SOLUSI SUPER, ya. Biar kamu bisa belajar SUPER lainnya, yuk bergabung bersama Quipper Video. Kamu juga bisa belajar bareng tutor kece lewat video, rangkuman, dan latihan soal. Yuk, subscribe!
- Kanginan, Marthen. 2006. Matematika SMA untuk Kelas XI. Jakarta: Erlangga
- Zainal Abidin, Muhammad. RUMUS CEPAT MATEMATIKA Irisan Kerucut. Sulawesi Selatan:SMA 1 Bone-Bone
Penulis: William Yohanes


