
Halo Quipperian, bagaimana kabarnya? Semoga selalu sehat, sehingga bisa terus semangat meraih mimpi di masa mendatang.
Siapa sih di sini yang suka memakai baju bermotif batik? Batik merupakan kerajinan identitas asli dari Indonesia. Salah satu kota batik terkenal di Indonesia adalah Pekalongan.
Motif batik dari daerah Pekalongan beragam, salah satunya motif yang memuat jajargenjang. Apa jajargenjang itu? Daripada penasaran, yuk belajar bareng Quipper Blog.
Pengertian Jajargenjang
Jajargenjang adalah bangun datar segi empat yang memiliki dua pasang sisi yang saling berhadapan dan sejajar. Berikut ini contohnya.

Berdasarkan gambar di atas, Quipperian bisa melihat maksud dari dua pasang sisi yang saling berhadapan dan sejajar, kan?
Sisi-sisi yang dimaksud adalah AC = BC dan AB = BC. Lantas, bagaimana dengan sifat-sifatnya?
Sifat Jajargenjang

Adapun sifat jajargenjang adalah sebagai berikut.
- Seperti halnya bangun datar segiempat lain, jajargenjang memiliki empat sisi dan titik sudut.
- Dua pasang sisi yang berhadapan memiliki panjang yang sama dan sejajar.
- Terdiri dari dua sudut lancip dan dua sudut tumpul. Dari gambar di atas, sudut tumpulnya adalah sudut A dan sudut D. Sementara itu, sudut lancipnya adalah sudut B dan sudut C.
- Besarnya sudut yang saling berhadapan adalah sama besar. Artinya, sudut A = sudut D dan sudut B = sudut C.
- Tidak memiliki simetri lipat karena panjang keempat sisinya tidak sama panjang.
- Memiliki dua diagonal bidang yang panjangnya tidak sama.
- Jumlah sudut yang berdekatan atau sepihak = 180o, misalnya sudut A + sudut C = 180o.
Keliling Jajargenjang
Keliling adalah panjang sisi-sisi yang membatasi suatu bangun datar. Keliling jajargenjang merupakan panjang semua sisi yang membatasinya. Untuk mencari kelilingnya, kamu harus menjumlahkan semua sisinya.

Keliling = AB + BD + DC + CA, mengingat AB = CD dan AC = BD
= 2 AB + 2 AC
Untuk lebih jelasnya, simak contoh soal berikut.
Tentukan keliling bangun di bawah ini.

Pembahasan:
Kamu harus ingat bahwa panjang sisi yang saling berhadapan adalah sama panjang.
Keliling = panjang semua sisinya
= 2 (12 + 21)
= 33 cm
Jadi, keliling bangun di atas adalah 33 cm.
Luas Jajargenjang

Jika Quipperian memperhatikan dengan saksama, jajargenjang merupakan hasil gabungan antara dua buah segitiga yang besarnya sama. Dengan demikian, luas jajargenjang merupakan hasil penjumlahan dari dua segitiga tersebut. Secara matematis, dirumuskan sebagai berikut.

Keterangan:
a = alas (panjang CD); dan
t = tinggi (panjang AE).
Untuk lebih jelasnya, perhatikan contoh soal berikut.
Perhatikan bangun di bawah ini.

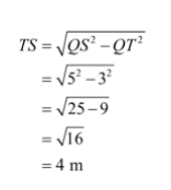
Jika panjang TS TQ = 3 cm, tentukan luas bangun di atas!
Pembahasan:
Pertama, kamu harus mencari tingginya dahulu. Tingginya = panjang TS. Gunakan teorema Phytagoras.
Dengan demikian, luas bangun di atas menjadi seperti berikut.

Jadi, luas bangun di atas adalah 32 m2.
Apakah Quipperian sudah puas mengerjakan soalnya? Tetap semangat ya karena Quipper Blog masih akan menghadirkan contoh soal lanjutan buat kamu. Check this out!
Contoh Soal 1
Saat pelajaran olahraga, Putri diminta untuk berlari mengelilingi lapangan yang bentuknya seperti berikut.

Jika Putri mengelilingi lapangan selama 8 kali, tentukan panjang lintasan yang dilaluinya!
Pembahasan:
Pertama, kamu harus mencari keliling bangunnya.
K = 2 (10 + 15)
= 2 (25)
= 50 m
Selanjutnya, tentukan panjang lintasan yang dilalui Putri, yaitu dengan mengalikan keliling lapangan dan banyaknya Putri mengelilinginya. Secara matematis, dirumuskan sebagai berikut.
Panjang lintasan = K × banyaknya Putri mengelilingi lapangan
= 50 × 8
= 400 m
Contoh Soal 2
Bu Ina memiliki kebun berbentuk seperti berikut.

Di kebun bagian tengah yang berjarak 5 m dari tepi (bangun tidak diarsir) akan ditanami pohon durian. Jika tinggi keseluruhan kebun Bu Ina dua kali tinggi kebun yang akan ditanami durian, tentukan luas kebun yang tidak ditanami pohon durian (daerah yang diarsir)!
Pembahasan:
Pertama, kamu harus mencari luas seluruh kebun Bu Ina.
ttotal = 2 × tkebun yang ditanami durian
= 2 × 20
= 40 m
Luastotal = a × t
= 30 × 40
= 1.200 m2
Kedua, kamu harus mencari luas bidang tanah yang akan ditanami pohon durian.
Ingat bahwa jarak antara kebun yang akan ditanami durian dan bagian tepi kebun adalah 5 m. Dengan demikian, gambarnya menjadi seperti berikut.

Panjang alas (a) = 30 – (5 + 5) = 20 m
Luaskebun durian = a × t
= 20 × 20
= 400 m2
Ketiga, tentukan luas daerah yang diarsir.
Ldiarsir = Ltotal – Lkebun durian
= 1.200 – 400
= 800 m2
Jadi, luas kebun yang diarsir atau tidak ditanami pohon durian adalah 800 m2.
Bagaimana, mudah bukan?
Itulah pembahasan Quipper Blog kali ini. Semoga bisa bermanfaat buat Quipperian. Jangan lupa tetap semangat belajar agar kamu bisa meraih mimpi di masa depan.
Jika kamu ingin tambah semangat belajar, silakan gabung bersama Quipper Video karena di dalamnya banyak pembahasan menarik yang bisa kamu dapatkan. So, tunggu apa lagi yuk buruan daftar. Salam Quipper!