
“Annisa diminta untuk membeli pakan ikan sebanyak 2,5 kg.” Jika Quipperian diminta untuk membuat jenis pecahan dari pernyataan barusan, kira-kira apa jawabannya? Apakah pecahan desimal? Tentu tidak, ya. Bilangan 2,5 merupakan bentuk desimal dari suatu pecahan. Nah, pecahan itu merupakan pecahan campuran. Kok bisa? Daripada penasaran, yuk belajar bareng.
Pengertian Pecahan Campuran
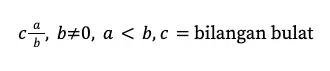
Pecahan campuran adalah penulisan bilangan yang memenuhi bentuk

Artinya, pada bentuk pecahan campuran memuat dua jenis bilangan, yaitu bilangan bulat dan pecahan.

Pecahan ini merupakan bentuk sederhana dari pecahan biasa. Kapan pecahan biasa bisa diubah menjadi campuran? Saat pembilangnya lebih besar daripada penyebutnya.
Secara matematis, rumusnya bisa dinyatakan sebagai berikut.

Cara Mengubah Pecahan Campuran
Mengapa disebut campuran? Karena hasil penyederhanaannya akan memuat dua jenis bilangan, yaitu bilangan bulat dan pecahan. Berikut ini cara mengubahnya menjadi pecahan murni, desimal, dan persen.
1. Cara mengubah ke pecahan biasa
Seperti Quipperian tahu bahwa pada pecahan biasa hanya terdapat pembilang dan penyebut. Oleh karena itu, pengubahan ini harus menghasilkan ketentuan seperti yang disebutkan sebelumnya. Perhatikan contoh berikut.

Untuk menjadikan pecahan biasa, kamu harus mengalikan penyebut dengan bilangan bulat di depannya, lalu hasil perkalian tersebut dijumlahkan dengan pembilangnya.

Sampai sini, apakah Quipperian sudah paham?
2. Cara mengubah ke desimal
Desimal merupakan bentuk bilangan selain pecahan dan bilangan bulat. Biasanya, bilangan desimal ditandai dengan adanya koma di antara angka-angkanya. Contohnya 1,2; 3,4; 0,5; dan seterusnya. Cara mengubah pecahan campuran ke desimal adalah dengan menjumlahkan bilangan bulat di depan pecahan dengan bentuk desimal pecahan itu sendiri.
Perhatikan contoh berikut.

Lalu, jumlahkan nilai 0,4 tersebut dengan angka 5 di depan pecahan:

3. Cara mengubah ke persen
Persen atau per seratus memiliki pembilang 100. Oleh karena itu, cara mengubah pecahan campuran ke persen adalah dengan menjadikannya menjadi bentuk desimal lalu mengalikannya dengan 100%.
Bisa juga dengan mengubahnya menjadi pecahan biasa lalu menjadikannya pecahan berpenyebut 100. Perhatikan contoh berikut.

Cara 1:
Ubahlah menjadi bentuk desimal.

Cara 2:
Ubahlah menjadi pecahan biasa lalu jadikan pecahan tersebut berpenyebut 100.

Dari hasil perhitungan, terbukti bahwa kedua cara di atas menghasilkan nilai yang sama, yaitu 750%.
Cara manakah yang kamu anggap lebih mudah, cara 1 atau cara 2? Tentu Quipperian bisa menggunakan cara yang dianggap lebih mudah ya.
Operasi Pecahan Campuran
Operasi pecahan campuran sama seperti pecahan-pecahan sebelumnya, yakni meliputi penjumlahan, pengurangan, perkalian, dan pembagian. Berikut ini ulasan lebih lengkapnya.
1. Penjumlahan pecahan campuran
Penjumlahan berlaku pada dua kondisi, penjumlahan antarpecahan berpenyebut sama dan berpenyebut tidak sama.
a. Penjumlahan dengan penyebut sama
Jika dua atau lebih bilangan berpenyebut sama dijumlahkan, kamu bisa menjumlahkan bilangan bulat dengan bilangan bulat serta pecahan dengan pecahan. Perhatikan contoh berikut.

b. Penjumlahan dengan penyebut tidak sama
Jika dua atau lebih bilangannya memiliki penyebut tidak sama, maka kamu harus menjadikannya pecahan biasa terlebih dahulu. Lalu, lakukan penjumlahan dengan menyamakan penyebutnya. Perhatikan contoh berikut.

Lalu, lakukan penjumlahan seperti biasa dengan menyamakan penyebut.

Jika cara di atas dianggap terlalu panjang, Quipperian bisa menjumlahkan bilangan bulat dengan bilangan bulat dan pecahan dengan pecahan seperti cara sebelumnya. Namun, kedua pecahan harus disamakan dahulu penyebutnya.

2. Pengurangan pecahan campuran
Untuk melakukan pengurangan, langkahnya sama dengan penjumlahan. Perhatikan contoh berikut.

3. Perkalian pecahan campuran
Di antara operasi bilangan lainnya, perkalian termasuk yang paling mudah. Quipperian cukup mengalikan antara pembilang dengan pembilang, penyebut dengan penyebut, serta bilangan bulat dengan bilangan bulat.
Perhatikan contoh berikut.

4. Pembagian pecahan campuran
Prinsip dasar pembagian sama seperti sebelumnya, yaitu dengan menjadikannya perkalian terlebih dahulu. Syaratnya, pembilang dijadikan penyebut dan penyebut jadi pembilang.
Sebelum dijadikan bentuk perkalian pecahan, kamu harus mengubah pecahan campuran tersebut menjadi pecahan biasa. Perhatikan contoh berikut.

Pertama, ubah menjadi pecahan biasa terlebih dahulu!

Untuk meningkatkan pemahamanmu tentang materi kali ini, yuk simak contoh soalnya berikut ini.
Contoh Soal 1

Pembahasan:
Ibu meletakkan beras di dua ember sama banyaknya. Massa beras di tiap ember bisa dirumuskan sebagai berikut.

Contoh Soal 2

Pembahasan:
Desimal

Persen

Contoh Soal 3

Pembahasan:

Jadi, tentukan perkiraan uang yang akan diterima Pak Heru adalah Rp270.000.
Itulah pembahasan Quipper Blog kali ini. Gimana, ternyata seru banget ya mempelajari matematika kalau pembahasannya menyenangkan! Semoga bisa bermanfaat buat Quipperian. Jangan lupa tetap semangat belajarnya, ya. Agar tambah semangat, yuk gabung Quipper Video.
Di sana, kamu bisa akses ragam materi mata pelajaran lewat video pembahasan dari tutor-tutor andal, rangkuman materi, serta contoh soal dan pembahasan lengkapnya. Buruan daftar ya, Quipperian!
Penulis: Eka Viandari