
Tinggi Amir 167 cm. Jika tinggi Amir dinyatakan dalam satuan meter, berapakah hasilnya? Tentu jawabannya 1,67 m. Angka 1,67 tersebut merupakan bentuk pecahan desimal, lho. Apakah Quipperian sudah mempelajari tentang pecahan tersebut? Jika belum, yuk belajar bareng Quipper Blog.
Pengertian Pecahan Desimal
Pecahan desimal adalah pecahan yang memuat tanda koma di penulisan antar angka penyusunnya. Contohnya adalah 1,2; 3,21; 0,05; 0,1; dan seterusnya.
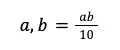
Bentuk ini diperoleh dari hasil pembagian antara pembilang dan penyebut. Secara matematis, rumus pecahan desimal dinyatakan sebagai berikut.

Pada persamaan di atas, di belakang koma hanya ada b, sehingga bentuk pecahannya berpenyebut 10. Untuk lebih jelasnya, simak cara mengubah pecahan desimal berikut.
Cara Mengubah Pecahan Desimal
Pecahan ini bisa diubah menjadi pecahan biasa, campuran, dan persen. Bagaimana caranya?
1. Cara mengubah pecahan desimal ke pecahan biasa
Seperti Quipperian ketahui, pecahan biasa hanya memuat pembilang dan penyebut. Artinya, kamu harus mengubahnya sesuai ketentuan tersebut.
Cara mengubah pecahan desimal ke pecahan biasa adalah dengan melihat banyaknya angka di belakang koma. Jika di belakang koma hanya ada 1 angka, maka bentuk pecahannya berpenyebut 10.
Jika di belakang koma ada 2 angka, maka bentuk pecahannya berpenyebut 100 dan seterusnya.
Lalu, pembilang diisi dengan bentuk bulat dari bilangan desimalnya. Perhatikan contoh berikut.
Tentukan bentuk pecahan dari 0,75!
Pertama, kamu tentukan jumlah angka di belakang komanya. Pada 0,75 terdapat dua angka di belakang koma. Artinya, bentuk pecahannya berpenyebut 100. Dengan demikian:

Bentuk pecahan tersebut masih bisa disederhanakan dengan cara membagi pembilang dan penyebut dengan angka 25.

2. Cara mengubah pecahan desimal ke pecahan campuran
Sebelum mengubah bentuk desimal ke campuran, kamu harus menjadikannya pecahan biasa seperti pembahasan sebelumnya.
Jika sudah berbentuk pecahan biasa, lakukan pengubahan menjadi campuran. Perhatikan contoh berikut.
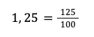
Tentukan bentuk pecahan campuran dari 1,25!
Pertama, tentukan banyaknya angka di belakang koma. Pada 1,25 terdapat 2 angka di belakang koma. Artinya, pecahannya berpenyebut 100.

Lalu, sederhanakan bentuk pecahan di atas!

3. Cara mengubah pecahan desimal ke persen

Cara mengubah pecahan desimal ke persen adalah dengan mengalikan pecahan tersebut dengan 100%.
Selain itu, kamu juga bisa memilih cara yang lebih panjang, yaitu dengan menjadikannya pecahan berpenyebut 100 dahulu. Perhatikan contoh berikut.
Tentukan bentuk persen dari 0,35!
Cara 1
Kalikan 0,35 dengan 100%, sehingga diperoleh:
0,35×100%=35%
Cara 2

Kedua cara di atas, memiliki hasil yang sama. Silahkan kamu pilih cara yang dianggap lebih mudah!
Operasi Pecahan Desimal
Operasi pecahan ini meliputi penjumlahan, pengurangan, perkalian, dan pembagian.
1. Penjumlahan pecahan desimal
Penjumlahan bisa dilakukan dengan menjumlahkan seluruh angkanya seperti penjumlahan bilangan bulat.
Hanya saja, kamu harus meletakkan tanda koma pada hasilnya. Tanda koma diletakkan lurus dengan tanda koma bilangan yang dijumlahkan. Perhatikan contoh berikut.
Tentukan hasil penjumlahan dari 3,49 + 2,11!
Lakukan penjumlahan biasa seperti berikut.

Jadi, hasil penjumlahan dari 3,49 + 2,11 = 5,60.
2. Pengurangan pecahan desimal
Prinsip dasar pengurangan sama dengan penjumlahan. Quipperian bisa melakukan pengurangan seperti pada bilangan bulat.
Namun, jangan lupa untuk meletakkan tanda komanya. Perhatikan contoh berikut.
Tentukan hasil pengurangan dari 4,3 – 1,25!
Ingat 4,3 = 4,30!

Jadi, hasil pengurangan dari 4,3 – 1,25 = 3,05.
3. Perkalian pecahan desimal
Perkalian pecahan desimal juga sama dengan perkalian bilangan bulat. Namun, kamu harus tetap menambahkan koma sebanyak angka di belakang koma pada bilangan yang dikalikan.
Misalnya kamu mengalikan 2,36 × 1,2. Nah 2,36 memiliki 2 angka di belakang koma dan 1,2 memiliki 1 angka di belakang koma.
Hasil perkaliannya harus memiliki 3 (2+1) angka di belakang koma. Perhatikan contoh berikut.

4. Pembagian pecahan desimal
Sebenarnya, pembagian pecahan desimal sama seperti pembagian bilangan bulat. Namun, cara yang lebih mudah adalah mengubahnya menjadi pecahan terlebih dahulu.
Lalu, lakukan operasi pembagian pecahan biasa. Perhatikan contoh berikut.
Tentukan hasil 0,7 : 0,2!
Pertama, ubah keduanya menjadi pecahan biasa.

Jadi, hasil 0,7 : 0,2 adalah 3,5.
Untuk meningkatkan pemahaman Quipperian tentang materi ini, yuk simak contoh soal dan jawabannya berikut ini.
Contoh Soal 1
Ani memiliki pita sepanjang 1,2 m. Lalu, ia membeli lagi sepanjang 0,75 m. Pita tersebut akan ia gunakan untuk membuat 2 buah bunga yang ukurannya sama. Tentukan panjangnya pita yang dibutuhkan untuk membuat satu bunga!
Pembahasan:
Ani memiliki pita 1,2 m. Lalu, ia membeli lagi 0,75 m.
Artinya, Quipperian harus menjumlahkan panjang pita Ani secara keseluruhan.
Panjang pita total =1,2+0,75
=1,95 m
Pita tersebut akan digunakan untuk membuat dua bunga yang berukuran sama. Artinya, panjang pita total harus dibagi dua. Secara matematis, dirumuskan sebagai berikut.
Panjang pita 1 bunga =1,95:2

Jadi, panjangnya pita yang dibutuhkan untuk membuat satu bunga adalah 0,975 m.
Contoh Soal 2
Pak Halim memiliki sebidang tanah berbentuk persegi panjang. Panjang dan lebar tanah Pak Halim berturut-turut adalah 35,6 m dan 12,5 m. Tentukan luas sebidang tanah tersebut!
Pembahasan:
Untuk mencari luas tanah Pak Halim, gunakan perkalian seperti berikut.

Jadi, luas tanah Pak Halim adalah 445 m2.
Contoh Soal 3
Dua tahun lalu, tinggi badan Nova 1,34 m. Kini, tinggi badannya menjadi 1,66 m. Jika dijadikan pecahan biasa, tentukan selisih tinggi badan Nova antara kini dan dua tahun lalu!
Pembahasan:
Pertama, tentukan besar selisihnya terlebih dahulu.
Selisih =1,66-1,34
=0,32 m
Jika dijadikan pecahan biasa, selisihnya menjadi seperti berikut.

Jadi, Jika dijadikan pecahan biasa, selisih tinggi badan Nova antara kini dan dua tahun lalu adalah 825 m.
Itulah pembahasan Quipper Blog kali ini. Semoga bisa bermanfaat buat Quipperian. Jangan lupa untuk tetap semangat belajarnya. Kini, Quipper Video hadir dengan berbagai fitur baru yang bisa bikin kamu tambah semangat belajarnya. Yuk, buruan gabung! Salam Quipper!
Penulis: Eka Viandari