
Dalam dunia konstruksi, posisi bangunan menjadi hal utama yang harus diperhatikan. Bahkan, tingkat kemiringan bangunan tidak bisa diabaikan karena bisa berpengaruh pada kekokohannya. Nah, membahas masalah kemiringan tentu tidak akan lepas dari persamaan garis lurus. Ingin tahu selengkapnya? Check this out!
Pengertian Persamaan Garis Lurus
Persamaan garis lurus adalah persamaan yang memuat satu atau lebih variabel, di mana masing-masing variabelnya berpangkat satu.
Jika persamaan tersebut dilukiskan dalam diagram Cartesius, akan terbentuk grafik garis lurus dengan kemiringan tertentu. Kemiringan itu biasa disebut gradien garis (m).
Bentuk Persamaan Garis
Secara umum, persamaan garis lurus memiliki dua bentuk yaitu sebagai berikut.
1. Bentuk eksplisit
Bentuk eksplisit adalah bentuk persamaan garis yang memenuhi y = mx + c, dengan m = gradien garis dan c = konstanta.
Adapun contoh bentuk eksplisit adalah y = 3x + 6. Berdasarkan persamaan tersebut, gradien garisnya = 3.
2. Bentuk implisit
Bentuk implisit adalah bentuk persamaan garis yang memenuhi Ax + By + c = 0. Adapun contoh bentuk implisit adalah 3x – y + 6 = 0.

Jika digambarkan dalam diagram Cartesius, grafik persamaan garis lurus y = 3x + 6 atau 3x – y + 6 = 0 adalah sebagai berikut.

Cara Mencari Gradien
Sebelum mencari persamaan garis, Quipperian harus tahu dulu cara menentukan gradien garisnya. Inilah beberapa cara untuk menentukan gradien garis.
1. Gradien garis yang melalui dua titik
Jika sebuah garis lurus melalui dua titik koordinat A(x1,y1) dan B(x2,y2), maka gradiennya merupakan hasil bagi antara selisih nilai ordinat dan absisnya.

Secara matematis, dirumuskan sebagai berikut.

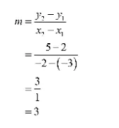
Perhatikan contoh berikut.
Tentukan gradien garis yang melalui titik A(-3,2) dan B(-2,5)!
Pembahasan
Tentukan dahulu nilai (x1,y1) dan (x2,y2)nya.
- x1 = -3
- y1 = 2
- x2 = -2
- y2 = 5
Untuk menentukan gradien garisnya, gunakan persamaan berikut.

Jadi, gradien garisnya adalah 3.
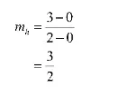
2. Gradien tegak lurus
Jika dua garis saling tegak lurus, maka hasil kali gradien kedua garis tersebut sama dengan -1.

Mari kita buktikan!
Gradien garis k

Gradien garis h

Hubungan antara gradien garis k dan garis h adalah

Dengan demikian, terbukti bahwa hasil kali gradien kedua garis tersebut adalah -1. Secara matematis, rumus gradien tegak lurus dirumuskan sebagai berikut.

Dengan:
m1 = gradien garis ke-1; dan
m2 = gradien garis ke-2.
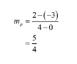
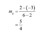
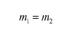
3. Gradien garis yang saling sejajar
Jika dua garis sama-sama sejajar, maka gradien kedua garis tersebut sama.

Mari kita buktikan!
Gradien garis p

Gradien garis q

Berdasarkan perhitungan, terbukti bahwa gradien garis p dan q adalah sama. Secara matematis, rumus gradien garis yang saling sejajar adalah sebagai berikut.

Cara Mencari Persamaan Garis
Setelah sebelumnya Quipperian belajar bagaimana cara menentukan gradien garis, kini saatnya belajar bagaimana sih cara mencari persamaan garis itu. Ada beberapa cara untuk mencarinya, yaitu sebagai berikut.
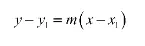
1. Persamaan garis lurus melalui titik (x1,y1) dan bergradien m
Jika sebuah garis yang bergradien m melalui titik (x1,y1), rumus persamaan garis lurusnya adalah sebagai berikut.

Perhatikan contoh berikut.
Tentukan persamaan garis lurus yang melalui titik (6,-2) dan bergradien 2.
Pembahasan
Adapun nilai x1 = 6 dan y1 = -2, m = 2.
Dengan demikian, persamaan garis lurusnya adalah sebagai berikut.

Jadi, persamaan garisnya adalah y = 2x – 10.
2. Persamaan garis lurus melalui 2 titik, yaitu A(x1,y1) dan B(x2,y2)
Jika sebuah garis lurus melalui 2 titik A(x1,y1) dan B(x2,y2), maka persamaan garisnya ditentukan dengan rumus berikut.

Perhatikan contoh berikut.
Tentukan persamaan garis yang melalui titik P(4,-2) dan Q(-1,3)!
Pembahasan
Untuk mencari persamaan garisnya, gunakan persamaan berikut.

Jadi, persamaan garis lurus yang melalui titik P(4,-2) dan Q(-1,3) adalah x + y – 2 = 0.
3. Persamaan garis lurus saling sejajar
Jika diketahui suatu garis sejajar dengan garis lain yang persamaannya diketahui, maka Quipperian harus mencari dahulu gradien garis yang diketahui persamaannya tersebut. Lalu, substitusikan nilai gradien tersebut ke persamaan berikut.

Agar kamu lebih memahaminya, perhatikan contoh soal berikut.
Garis A melalui titik (4,-1) dan sejajar dengan garis B yang persamaannya y = 2x + 5. Tentukan persamaan garis A!
Pembahasan:
Pertama, tentukan gradien garis B

Jadi, persamaan garis A adalah y = 2x – 9.
4. Persamaan garis lurus yang saling tegak lurus
Pada prinsipnya, caranya sama dengan dua garis yang saling sejajar, yaitu dengan mencari gradien salah satu garisnya. Lalu, lakukan perkalian hingga menghasilkan nilai -1.
Perhatikan contoh berikut.

Pembahasan:
Pertama, tentukan gradien garis Q.

Jadi, persamaan garis P adalah y = -2x.
Bagaimana Quipperian, apakah sudah paham dengan materi kali ini? Untuk mengasah pemahamanmu, perhatikan contoh soal berikut ini.
Contoh Soal 1
Gambarkan grafik garis lurus yang memiliki persamaan 4x – 2y + 8 = 0.
Pembahasan:
Pertama, Quipperian harus melakukan analisis titik koordinat mana saja yang dilalui garis tersebut. Asumsikan saat x = 0 dan y = 0.
- Jika x = 0, maka y = 4, sehingga titik koordinatnya (0,4)
- Jika y = 0, maka x = -2, sehingga titik koordinatnya (-2,0)
Gambar garis lurusnya.

Contoh Soal 2
Sebuah fungsi permintaan memiliki persamaan P = -3Q + 15. Tentukan banyaknya permintaan tertinggi beserta gambar grafiknya.
Pembahasan:
Permintaan tertinggi dipenuhi jika P = 0. Artinya, Quipperian harus mencari nilai Q saat P = 0.
P = -3Q + 15
↔ 0 = -3Q + 15
↔ 3Q = 15
↔ Q = 5
Jadi, permintaan tertingginya adalah 5 unit.
Gambar garis lurus:
- Jika P = 0, maka Q = 5
- Jika Q = 0, maka P = 15
Berikut ini gambar garisnya.

Contoh Soal 3
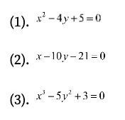
Di bawah ini yang termasuk persamaan garis lurus adalah….

Pembahasan:
Kamu harus ingat bahwa persamaan garis lurus memuat variabel yang berpangkat 1. Dari ketiga persamaan pada soal, jelas bahwa persamaan yang termasuk persamaan garis lurus adalah x – 10y – 21 = 0.
Itulah pembahasan Quipper Blog kali ini. Semoga bisa bermanfaat buat Quipperian. Jika kamu ingin mendapatkan materi lengkapnya, yuk buruan gabung Quipper Video. Bersama Quipper Video, belajar jadi semakin mudah dan menyenangkan. Salam Quipper!
Penulis: Eka Viandari