
Hai Quipperian, bagaimana kabarnya? Semoga selalu sehat dan tetap semangat belajar, ya.
Jika kamu diminta untuk menentukan kecepatan sudut suatu partikel, apa yang akan kamu lakukan? Untuk menentukan kecepatan sudutnya, kamu harus melihat persamaan gerak partikel tersebut.
Kata kunci yang harus kamu perhatikan adalah kecepatan sudut. Partikel yang memiliki kecepatan sudut, pasti persamaan geraknya adalah persamaan trigonometri. Untuk tahu lebih lanjut tentang persamaan trigonometri, simak ulasan berikut.
Pengertian Persamaan Trigonometri

Persamaan trigonometri adalah persamaan yang memuat fungsi trigonometri dari sudut yang belum diketahui nilainya. Pada prinsipnya, persamaan trigonometri sama dengan persamaan linear atau kuadrat. Hal yang membedakan adalah himpunan penyelesaian pada persamaan trigonometri berupa besaran sudut.
Jenis Persamaan Trigonometri
Saat belajar trigonometri, kamu sudah dikenalkan dengan istilah sinus, cosinus, dan tangen, kan? Oleh karena itu, persamaan trigonometri juga memuat ketiga komponen tersebut.
1. Persamaan sinus
Untuk menyelesaikan permasalahan trigonometri, mungkin kamu akan menemukan nilai sudut yang lebih dari satu. Hal itu karena grafik fungsi trigonometri memuat nilai yang sama di beberapa sudut. Contohnya persamaan y = sin x, untuk -360o ≤ x ≤ 360o. Jika digambarkan dalam bentuk grafik, persamaan y = sin x, untuk -360o ≤ x ≤ 360o, akan menjadi seperti berikut.

Grafik di atas menunjukkan bahwa nilai x untuk sin x = 1 ada dua, yaitu -270o dan 90o. Nilai utama yang harus dilihat adalah nilai sin x di area bergaris biru, tepatnya di interval -90o ≤ x ≤ 90o. Lantas, bagaimana dengan nilai lainnya? Nilai lainnya bisa kamu tentukan berdasarkan gambar. Nilai x yang lebih dari 360o atau kurang dari -360o, dapat diketahui dengan persamaan berikut.

Untuk k merupakan konstanta bilangan bulat. Agar lebih paham, simak contoh soal berikut ini.
Contoh Soal 1

Pembahasan:
Perhatikan bahwa

Untuk x = 150o + k . 360o:

Jadi, nilai x yang memenuhi adalah x = {-330o, -210o, 30o, 150o, 390o, 510o}.
2. Persamaan Cosinus
Persamaan trigonometri untuk cosinus bisa kamu lihat dari grafik berikut.

Nilai utama yang harus kamu lihat adalah nilai pada garis biru, tepatnya pada interval 0o ≤ x ≤ 180o. Untuk nilai cosinus yang lain, bisa Quipperian lihat di gambar lainnya. Nilai x yang lebih besar dari 360o atau kurang dari 360o, bisa kamu tentukan dengan persamaan berikut.

k merupakan konstanta bilangan bulat. Agar lebih paham, simak contoh soal berikut.
Contoh Soal 2
Tentukan penyelesaian dari persamaan berikut untuk interval -120o ≤ x ≤ 450o.

Jadi, penyelesaian dari persamaan tersebut adalah x = {-45o, 45o, 315o, 405o}.
3. Persamaan Tangen
Persamaan tangen adalah persamaan trigonometri yang memuat fungsi tangen. Untuk lebih jelasnya, perhatikan grafik y = tan x untuk -360o ≤ x ≤ 360o berikut.

Nilai utama yang harus dilihat adalah nilai tan x bergaris biru, tepatnya pada interval -90o ≤ x ≤ 90o. Jika diperhatikan, nilai tersebut akan berulang untuk x positif dan negatif. Untuk nilai lainnya bisa kamu tentukan dengan persamaan berikut.

Untuk k merupakan konstanta bilangan bulat. Agar kamu lebih paham, simak contoh soal berikut.
Contoh Soal 3
![]()
Pembahasan:
Perhatikan bahwa:

Menyelesaikan Masalah Sehari-Hari terkait dengan Persamaan Trigonometri
Ternyata, banyak masalah sehari-hari yang bisa diselesaikan dengan persamaan trigonometri. Dua diantaranya adalah fungsi periodik gelombang cahaya dan bunyi. Bagaimana penyelesaiannya? Simak contoh soal berikut ini.
Contoh Soal 4
Secara umum, persamaan gerak partikel dinyatakan sebagai berikut.
S = A cos (ωt), t ≥ 0
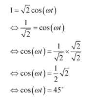
S merupakan simpangan gerak, A merupakan amplitudo, ω merupakan kecepatan sudut, dan t merupakan waktu. Jika suatu partikel bergerak dengan nilai simpangan 1 satuan, amplitudo √2 satuan, dan pergerakan terjadi saat t ≠ 0, nyatakan nilai ω dalam variabel t!
Pembahasan:
Diketahui persamaan gerak partikel secara umum adalah sebagai berikut.
S = A cos (ωt), t ≥ 0
Oleh karena pergerakan tersebut terjadi saat t ≠ 0, maka:
S = A cos (ωt), t > 0
Oleh karena simpangan 1 satuan dan amplitudo √2 satuan, maka:

Ini berarti:

Itulah pembahasan Quipper Blog tentang persamaan trigonometri. Semoga bermanfaat buat Quipperian, ya. Jangan lupa untuk tetap semangat. Jadikan hari-harimu lebih produktif dan bermakna. Jika Quipperian ingin melihat pembahasan persamaan trigonometri oleh tutor, silakan gabung bersama Quipper Video. Ingat belajar, ingat Quipper Video. Salam Quipper!
[spoiler title=SUMBER]
- https://learn.quipper.com/
- academia.edu/[/spoiler]
Penulis: Eka Viandari