
Hai Quipperian, mungkin kamu sudah tidak asing lagi dengan istilah pertidaksamaan linear. Lantas, bagaimana dengan pertidaksamaan eksponen? Apa yang dimaksud dengan pertidaksamaan eksponensial? Pertidaksamaan eksponen adalah bentuk pertidaksamaan bilangan berpangkat yang memuat suatu variabel.
Semakin penasaran, kan? Quipperian tak perlu khawatir, karena di artikel ini Quipper Blog akan membahas tentang pertidaksamaan eksponen lengkap dengan sifat-sifat, bentuk, dan contoh soalnya. Yuk, simak selengkapnya!
Pengertian Pertidaksamaan Eksponen
Eksponen merupakan bentuk penulisan bilangan berpangkat atau perkalian secara berulang sebanyak pangkatnya.
Pertidaksamaan eksponen adalah bentuk pertidaksamaan pada bilangan berpangkat yang memuat variabel, seperti x. Saat membahas pertidaksamaan, Quipperian akan bertemu dengan tanda < (kurang dari), > (lebih dari), ≤ (kurang dari sama dengan), dan ≥ (lebih dari sama dengan). Perhatikan contoh berikut.
72x+3 < 492x+1
Pada pertidaksamaan di atas, banyaknya nilai x yang memenuhi lebih dari satu. Oleh sebab itu, nilainya dinyatakan dalam bentuk himpunan penyelesaian.
Bentuk Pertidaksamaan Eksponen
Secara umum, bentuk pertidaksamaan eksponen dibagi menjadi dua, yaitu sebagai berikut.
1. Bilangan pokok lebih dari 1 (a > 1)
Jika bilangan pokok fungsi eksponennya lebih dari 1, untuk af(x) < ag(x) berlaku f(x) < g(x)
2. Bilangan pokok kurang berada di antara nol dan 1 (0 < a < 1)
Jika bilangan pokoknya 0 < a < 1, untuk af(x) < ag(x) berlaku f(x) > g(x)
Sifat-Sifat Pertidaksamaan Eksponen
Sifat-sifat pertidaksamaan eksponen ini mengacu pada bentuk yang telah dijabarkan sebelumnya. Adapun sifat-sifat pertidaksamaan eksponen adalah sebagai berikut.
1. Untuk a < 1
- af(x) < ag(x) berlaku f(x) < g(x)
- af(x) ≤ ag(x) berlaku f(x) ≤ g(x)
- af(x) > ag(x) berlaku f(x) > g(x)
- af(x) ≥ ag(x) berlaku f(x) ≥ g(x)
Untuk lebih jelasnya, perhatikan contoh soal berikut.
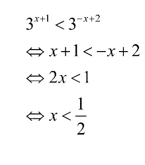
Tentukan nilai x yang memenuhi pertidaksamaan berikut ini.
3x+1 < 3-x+2
Pembahasan:

Pertidaksamaan tersebut memiliki bilangan pokok (a) yang lebih dari 1 (a > 1).
Dengan demikian, berlaku:
Jadi, nilai x yang memenuhi adalah {x < 1/2}
2. Untuk 0 < a < 1
- af(x) < ag(x) berlaku f(x) > g(x)
- af(x) ≤ ag(x) berlaku f(x) ≥ g(x)
- af(x) > ag(x) berlaku f(x) < g(x)
- af(x) ≥ ag(x) berlaku f(x) ≤ g(x)
Agar kamu semakin paham dengan sifat kedua ini, perhatikan contoh soal berikut.
Tentukan nilai x yang memenuhi pertidaksamaan berikut ini.

Pembahasan
Pertidaksamaan tersebut memiliki a = 1/2. Dengan demikian, berlaku:

Jadi, nilai x yang memenuhi adalah {x > 1}.
Langkah Menentukan Pertidaksamaan Eksponen
Solusi pertidaksamaan suatu bentuk eksponen bisa dicari dengan langkah-langkah berikut.
1 . Langkah pertama dalam menyelesaikan pertidaksamaan eksponen adalah dengan menguraikan semua fungsinya ke dalam bilangan pokok dasar yang sama. Misalnya pada 7x + 1 < 492x kamu harus menguraikan fungsi 492x ke dalam bilangan pokok dasarnya, yaitu 7, sehingga bisa sama dengan bilangan pokok fungsi 7x + 1. Jika diuraikan menjadi seperti berikut.

2. Langkah kedua adalah menyelesaikan pangkat variabelnya dengan mengacu pada sifat-sifat pertidaksamaan eksponen.
3. Langkah ketiga adalah mensubstitusikan nilai x yang diperoleh ke dalam pertidaksamaan. Jika substitusi tersebut menghasilkan nilai fungsi yang sesuai, artinya nilai x sudah memenuhi.
Untuk pertidaksamaan eksponen yang berbentuk pertidaksamaan kuadrat
kb2x + lbx + m ≥ 0, bisa dicari dengan langkah-langkah berikut.
Langkah Pertama
Dengan menentukan bilangan pokok dasarnya. Jika a < 0, kamu harus mengubah sedemikian sehingga menjadi a > 0. Caranya dengan mengalikan pertidaksamaan dengan tanda negatif lalu tanda pertidaksamaannya dibalik. Contohnya adalah seperti berikut.
-22x + 2x + 4 > 0 | x(-)
22x – 2x – 30 < 0
Langkah Kedua
Adalah fungsi eksponen yang bilangan pokoknya sama, dimisalkan sebagai variabel lain yang tidak berpangkat. Perhatikan contoh berikut.
-22x – 2x – 4 < 0
(2x)2 – 2x – 30 < 0
Langkah Ketiga
Menyelesaikan pertidaksamaan dengan sistem pertidaksamaan kuadrat seperti biasa
p2 – p – 30 = 0
(p – 6)(p + 5) = 0
p = 6 atau p = -5
Langkah Keempat
Lakukan analisis solusi dengan mengubah variabel ke dalam fungsi eksponen aslinya. Substitusikan nilai x yang memenuhi pertidaksamaan tersebut.
Contoh Soal Pertidaksamaan Eksponen
Agar pemahamanmu semakin terasah, perhatikan contoh soal pertidaksamaan eksponen berikut ini.
Contoh Soal 1
Nilai m yang memenuhi pertidaksamaan 5m+3 > 25m+1 adalah
- 0
- 2
- 3
- 1
Pembahasan:
Mula-mula, kamu harus menyamakan terlebih dahulu bilangan pokok dasarnya.

Oleh karena nilai m < 1, maka nilai yang memenuhi adalah 0.
Jawaban: A
Contoh Soal 2
Seorang peneliti sedang mengembangbiakkan bakteri yang baik bagi usus. Perkembangbiakan bakteri tersebut mengikuti ketentuan berikut.
Pn < P0 (1 + x)n
Bakteri tersebut mampu membelah setiap 30 menit sekali sebanyak 2% dari ukuran sebelumnya. Jika jumlah bakteri mula-mula 1.000, banyaknya bakteri setelah 3 jam yang mungkin adalah
- 1,120
- 1,300
- 1,254
- 1,450
Pembahasan:
Dari soal tersebut, diketahui:
P0 = 1,000
x = 2%
Bakteri membelah setiap 30 menit sekali sebanyak 2%. Jika dikembangbiakkan selama 3 jam, artinya bakteri mengalami 6 kali pembelahan. Dengan demikian, banyaknya bakteri setelah 3 jam dirumuskan sebagai berikut.

Jadi, banyaknya bakteri yang mungkin selama 3 jam harus kurang dari 1.126, yaitu 1.120.
Contoh Soal 3
Himpunan penyelesaian dari pertidaksamaan berikut ini adalah
32x + 3x+1 >18
- {x > 1}
- {x < 1}
- {x < -1}
- {x < 2}
Pembahasan:
Mula-mula, ubah pertidaksamaan eksponen tersebut ke dalam bentuk pertidaksamaan kuadrat dengan memisalkan 3x = p.

Jadi, x > 1
Jadi, himpunan penyelesaian dari pertidaksamaan berikut ini adalah {x > 1}.