
Foto: freepik.com
Hai Quipperian, bagaimana kabarnya? Semoga selalu sehat dan tetap semangat belajar, ya.
Siapa di antara kamu yang menyukai Matematika? Menurut kamu, apa sih keuntungan belajar Matematika? Salah satu keuntungan belajar Matematika adalah mampu memodelkan setiap keadaan secara numerik, terutama bagi seorang pedagang.
Contohnya ada seorang pedagang lilin yang memiliki modal usaha Rp800.000 dengan kios mini yang hanya mampu menampung 500 bungkus lilin. Harga beli lilin A per bungkusnya Rp2.000 dan lilin B per bungkusnya Rp1.000.
Agar modal yang dimiliki penjual tersebut bisa digunakan sepenuhnya untuk membeli lilin sesuai kapasitas kios dan tanpa harus berhutang, bagaimana model matematika yang sesuai? Nah, temukan caranya di pembahasan program linear kali ini.
Pengertian Program Linear

Foto: pixabay.com
Program linear adalah metode yang digunakan untuk menyelesaikan suatu masalah dalam bentuk pertidaksamaan linear. Saat mempelajari program linear, sama artinya kamu belajar grafik pertidaksamaan. Adapun bentuk umum pertidaksamaan linearnya adalah ax + by ≤ c.
Menggambar Daerah Pertidaksamaan

Foto: pixabay.com
Jika dinyatakan dalam bentuk gambar, pertidaksamaan linear akan membentuk daerah di sebelah kanan atau kiri garis. Adapun langkah-langkah yang harus kamu perhatikan saat menggambar daerah pertidaksamaan adalah sebagai berikut.
- Menentukan 2 titik potong yang dilewati persamaan garis ax + by = c. Titik potong yang digunakan adalah sumbu x dan sumbu y.
- Menentukan daerah penyelesaian, bisa juga himpunan penyelesaian menggunakan 2 metode, yaitu metode titik uji dan metode ax + by > c (daerah sebelah kanan garis) atau ax + by < c (daerah sebelah kiri garis), dengan a > 0.
Untuk lebih jelasnya, simak contoh soal berikut.
Contoh Soal 1
Gambarlah daerah pertidaksamaan 2x ≤ y!
Pembahasan:
Pertama, kamu harus mencari dua titik potong garis 2x = y.

Oleh karena pertidaksamaan 2x ≤ y bisa diubah menjadi 2x – y ≤ 0, maka daerah yang diambil adalah daerah kiri.

Pembahasan di atas adalah cara untuk menggambarkan grafik dari pertidaksamaan yang diketahui. Selanjutnya, kamu akan belajar bagaimana cara menentukan pertidaksamaan dari daerah yang diketahui.
Menentukan Pertidaksamaan dari Daerah yang Diketahui

Foto: pixabay.com
Adapun langkah-langkahnya adalah sebagai berikut.
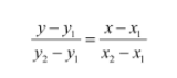
1. Menentukan persamaan garisnya terlebih dahulu. Persamaan garis sudah kamu pelajari di bagian gradien.
2. Saat menentukan persamaan garis pada koordinat kartesius, dibutuhkan minimal dua titik yang diketahui. Kedua titik tersebut dimisalkan sebagai (x1, y1) dan (x2, y2). Lalu, substitusikan kedua nilai x dan y ke persamaan berikut.

3. Quipperian juga bisa menggunakan cara berikut.

Pada prinsipnya, untuk menentukan pertidaksamaan—baik melalui titik uji atau metode gambar di atas—daerah kanan akan merupakan daerah besar dan kiri daerah kecil jika a > 0.
Sistem Pertidaksamaan Linear

Foto: pixabay.com
Sistem pertidaksamaan linear merupakan gabungan dari beberapa pertidaksamaan linear. Daerah penyelesaian merupakan daerah yang diarsir.
Untuk lebih jelasnya, perhatikan contoh soal berikut.
Contoh Soal 2
Gambarlah daerah pertidaksamaan dari sistem pertidaksamaan berikut.
2x + 3y ≥ 6;
x ≥ 3;
y ≤ 5; dan
x + y ≤ 8.
Pembahasan:
Pertama, tentukan titik potong untuk masing-masing pertidaksamaan.
Untuk 2x + 3y ≥ 6

Untuk x ≥ 3
(3, 0) (3, 1)
Untuk y ≤ 5
(0, 5) (1, 5)
Untuk x + y ≤ 8

Gambarnya akan menjadi seperti berikut.

Membuat Model Pertidaksamaan dari Soal Cerita

Foto: pixabay.com
Banyak kegiatan sehari-hari yang perlu melibatkan matematika, seperti mencari keuntungan maksimum bagi pedagang, mencari biaya produksi minimum, menentukan omzet tertinggi dari suatu bisnis, dan sebagainya.
Untuk menyelesaikan masalah tersebut, kamu harus mengubahnya menjadi bahasa matematika. Contohnya seperti pedagang lilin yang ada di pertemuan awal materi ini.
Ada seorang pedagang lilin yang memiliki modal usaha Rp800.000 dengan kios mini yang hanya mampu menampung 500 bungkus lilin. Harga beli lilin kecil per bungkusnya Rp2.000 dan lilin besar per bungkusnya Rp1.000.
Agar modal yang dimiliki penjual tersebut bisa digunakan sepenuhnya untuk membeli lilin sesuai kapasitas kios dan tanpa harus berhutang, bagaimana model Matematika yang sesuai?
Yuk, bantu si pedagang!
- Pertama, tentukan dahulu benda apa saja yang dibicarakan pada soal di atas, yaitu lilin A dan lilin B.
- Tentukan variabel masing-masing lilin. Misalnya lilin A = x dan lilin B = y.
Jika dijabarkan secara matematis, menjadi seperti berikut.

Dengan demikian, model matematika yang sesuai adalah sebagai berikut.
x + y ≤ 500 (jumlah lilin tidak boleh melebihi 500)
2.000x + 1.000y ≤ 800.000 (jumlah pembelian tidak boleh melebihi modalnya)
Oleh karena x dan y mewakili banyak benda, maka x,y ≥ 0.
Mencari Nilai Maksimum dan Minimum pada Soal Cerita

Foto: pixabay.com
Pada soal cerita, biasanya ditanyakan penerapan nilai maksimum dan minimum. Misalnya keuntungan maksimum, biaya produksi minimum, pendapatan maksimum, dan sebagainya.
Sebelum memecahkan masalah pertidaksamaan pada soal cerita, Quipperian harus mengenal titik pojok dan garis selidik.
- Titik pojok adalah titik untuk mengidentifikasi nilai maksimum suatu grafik pertidaksamaan. Titik ini berada di titik sudut daerah terdefinisi.
- Garis selidik digunakan jika titik pojok pada suatu daerah cukup banyak dan lebih dari satu titik belum diketahui.
Untuk lebih jelasnya, perhatikan contoh soal berikut.
Contoh Soal 3
Luas daerah suatu lahan parkir adalah 1.760 m². Luas rata-rata untuk mobil kecil 4 m² dan mobil besar 20 m². Daya tampung maksimum hanya 200 kendaraan. Biaya parkir mobil kecil Rp5.000/jam dan mobil besar Rp8.000/jam. Jika dalam satu jam terisi penuh dan tidak ada kendaraan yang pergi dan datang, berapakah penghasilan maksimum tukang parkirnya?
Pembahasan:
Diketahui:
x = banyaknya mobil kecil yang terparkir dalam satu jam
y = banyaknya mobil besar yang terparkir dalam satu jam
Tabel keterkaitan

Model matematikanya adalah sebagai berikut.
x + y ≤ 200;
4x + 20y ≤ 1.760 atau x + 5y ≤ 440;
x ≥ 0; dan
y ≥ 0.
Untuk fungsi objektifnya adalah z = f(x, y) = 5.000x + 8.000y, sehingga gambar daerahnya adalah sebagai berikut.

Gunakan metode titik pojok. Salah satu titik C belum diketahui, tetapi bisa dengan mudah dicari dengan eliminasi.

Substitusikan nilai y ke persamaan x + y = 200, diperoleh y = 140. Dengan demikian C (140, 60).
Substitusikan semua titik sudut yang diketahui.

Jadi, pendapatan maksimum tukang parkirnya adalah Rp1.180.0000.
Bagaimana Quipperian, mudah bukan? Semoga materi ini bisa bermanfaat buat Quipperian semua. Jangan lupa tetap semangat belajar untuk hari esok yang lebih berprestasi.
Untuk mendukung prestasimu, Quipper Video hadir dengan berbagai fitur menarik yang bisa kamu manfaatkan saat belajar kapanpun dan dimanapun. So, tunggu apa lagi. Ayo, berlangganan Quipper Video sekarang!
[spoiler title=SUMBER]
Penulis: Eka Viandari