
Hai Quipperian, di artikel sebelumnya kamu sudah dikenalkan dengan istilah eksponen, yaitu bentuk bilangan berpangkat. Tahukah kamu jika eksponen itu memiliki kebalikan lho. Ya, sama seperti bilangan berpangkat yang merupakan kebalikan dari akar pangkat. Adapun kebalikan eksponen adalah logaritma. Apakah sifat eksponen dan logaritma itu sama? Lantas, sifat-sifat logaritma apa saja? Daripada penasaran, yuk simak selengkapnya!
Logaritma
Logaritma merupakan kebalikan dari bentuk perpangkatan atau yang umum dikenal sebagai eksponen. Bentuk umum logaritma bisa dinyatakan sebagai berikut.
ab = c ⇔ a log c = b
Dengan:
- a = basis
- b = hasil logaritma; dan
- c = numerus
Ternyata, ada beberapa permasalahan yang bisa diselesaikan menggunakan logaritma lho. Misalnya, perhitungan produksi vaksin atau produk sejenisnya, penentuan interval spektrum audio, analisis harga barang berdasarkan tingginya angka permintaan dan penawaran, dan masih banyak lainnya. Pembahasan lengkapnya, bisa kamu lihat di artikel berikut ini.
Baca Juga: Logaritma – Matematika Kelas 10
Sifat-Sifat Logaritma
Sebagai bentuk kebalikan dari eksponen, apakah sifat logaritma sama dengan sifat eksponen? Yuk, simak dulu beberapa contoh sifat logaritma berikut ini.
- a log c + a log d = a log cd
- a log c – a log d = a log c/d
- a log cm = m a log c
- a log cm = p log c / p log a
- x log a / x log b = b log a
- an log cm = md / n log c
- aa log c = c
- alog a = 1
- alog 1 = 0
- a log b . b log c = a log c
- a log an = n
Untuk sifat a log a = 1 dan a log 1 = 0 disebut sebagai sifat dasar logaritma
Sifat Operasi Logaritma
Logaritma bisa dioperasikan seperti halnya bilangan, seperti penjumlahan, pengurangan, perkalian, dan pembagian. Pembahasan masing-masing operasi logaritma adalah seperti berikut.
1. Sifat Penjumlahan Logaritma
Sifat penjumlahan logaritma adalah dua numerus logaritma yang dijumlahkan akan berubah menjadi perkalian antarnumerus asalkan basisnya sama. Artinya, logaritma bisa dijumlahkan dengan logaritma lain menghasilkan bentuk logaritma perkalian. Perhatikan contoh berikut.
2 log3 + 2 log4 = 2log(3×4)
= 2 log 12Dari contoh di atas, diketahui bahwa sifat logaritma perkalian merupakan bentuk ringkas dari penjumlahan dua atau lebih logaritma yang basisnya sama.
2. Sifat Pengurangan Logaritma
Sifat pengurangan logaritma hampir sama dengan penjumlahan. Hanya saja, dua numerus pada pengurangan akan berubah menjadi pembagian antarnumerus. Artinya, pengurangan dua logaritma dengan basis yang sama akan menghasilkan logaritma pembagian. Perhatikan contoh berikut.
2log 8 – 2log4 = 2log (8/4) = 2log2 = 1Jika diuraikan satu persatu, apakah hasilnya sama? Yuk, kita buktikan.
2log8 – 2log4 = 2log23 – 2log22 = 3 2 log 2 – 2 2 log2 = 3-2 = 1Dari perhitungan di atas, diperoleh hasil yang sama. Quipperian bisa memilih cara yang kamu anggap lebih mudah, namun tetap berpedoman pada sifat-sifat logaritma, ya.
3. Sifat Perkalian Logaritma
Sifat perkalian logaritma mengacu pada salah satu dari 11 sifat umum logaritma, yaitu sifat berikut.
alogb.blog c = a log cJika dua logaritma yang berbeda basis dikalikan, akan dihasilkan logaritma baru yang basisnya sama dengan logaritma pertama dan numerusnya sama dengan logaritma kedua. Perhatikan contoh berikut.
3log 2. 2log 4 = 3 log 4Ingat, perkalian logaritma itu berbeda dengan logaritma perkalian. Perkalian logaritma merupakan operasi perkalian antara dua log atau lebih. Sementara log perkalian merupakan bentuk log yang numerusnya berupa perkalian. Perhatikan perbedaan berikut ini.
- Perkalian log = 3 log 2 x 2 log 4
- Log Perkalian = 3log(2×4)
Oleh sebab itu, sifat keduanya juga pasti berbeda.
4. Sifat pembagian logaritma
Sifat perkalian logaritma mengacu pada salah satu dari 11 sifat umum logaritma, yaitu sifat berikut.
x log a / x log b = b log a
Pembagian dua logaritma akan menghasilkan log baru di mana numerus penyebutnya akan menjadi basis dari log yang baru. Sementara itu, numerus pembagi akan tetap menjadi numerus pada log yang baru. Perhatikan contoh berikut.
2 log 4 / 2 log 6 =16 log 4
5. Sifat Logaritma Akar dan Kuadrat
Sifat logaritma akar dan kuadrat mengacu pada salah satu dari 11 sifat umum logaritma, yaitu sifat a log cm = ma log c
Sifat tersebut menunjukkan bahwa pangkat dari numerus bisa dijadikan konstanta di depan logaritmanya. Adapun contoh sifat logaritma bentuk kuadrat berikut.
4log52 = 24 log 5 -> sifat logaritma kuadrat
Untuk logaritma akar, kamu hanya perlu mengubah akar numerusnya dalam bentuk bilangan berpangkat. Selanjutnya, gunakan sifat logaritma seperti yang telah dijelaskan sebelumnya. Adapun contoh sifat logaritma akar adalah sebagai berikut.

Contoh Soal Logaritma
Untuk mengasah pemahamanmu tentang sifat logaritma, yuk simak contoh soal berikut.
Contoh Soal 1
Sederhanakan bentuk logaritma berikut!
xlog(a2 – ab) – xlog 2a
Pembahasan:
Kedua bentuk log tersebut memiliki basis yang sama, yaitu x, sehingga kamu bisa menggunakan sifat pengurangan seperti berikut untuk menyederhanakannya.

Jadi, bentuk sederhana dari xlog(a2 – ab) – xlog 2a adalah xlog (a-b)/2
Contoh Soal 2
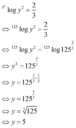
Diketahui 5x log y2 = 2/3
Berapakah perbandingan antara x dan y?
Pembahasan:
Untuk menyelesaikan soal tersebut, kamu bisa menggunakan sifat
Dengan demikian:

Lalu, substitusikan nilai x = 3 ke persamaan
sehingga menjadi:

Jadi, perbandingan antara x dan y adalah 3 : 5
Contoh Soal 3
Suatu tempat A dilanda gempa bumi yang kekuatannya 6 SR. Persamaan kekuatan gempa buminya dinyatakan sebagai berikut.
K = 2log(184 – x)
Jika x merupakan jarak antara suatu daerah dengan titik pusat gempanya (dalam mil), berapakah jarak antara tempat A dan pusat gempa?
Pembahasan:
Untuk menyelesaikan masalah tersebut, kamu harus menggunakan sifat-sifat logaritma. Sifat yang bisa kamu gunakan adalah a log an = n
Artinya, kamu harus membuat persamaan kekuatan gempa bumi sedemikian sehingga dihasilkan nilai = 6 seperti berikut
K = 6
⇔ 2log(184 – x) = 6
⇔ 2log(184 – x) = 2 log 26
⇔ 184 – x = 26
⇔ 184 – x = 64
⇔ x = 120 mil
Jadi, jarak antara tempat A dan pusat gempanya adalah 120 mil
Dari pembahasan di atas, Quipperian sudah tahu kan jika sifat eksponen dan logaritma itu berbeda? Perbedaannya cukup mendasar, ya. Sifat eksponen lebih mengarah pada penyelesaian bilangan berpangkat atau antilogaritma.
Itulah pembahasan Quipper Blog kali ini. Semoga bermanfaat, ya. Untuk mendapatkan materi lengkapnya, yuk buruan gabung Quipper Video. Bersama Quipper Video, belajar jadi lebih mudah dan menyenangkan. Salam Quipper!