
Hai Quipperian, saat mendengar istilah turunan pasti kamu akan berpikir jalanan yang menurun kan? Siapa sangka, di dalam Matematika juga terdapat turunan, lho. Jika turunan ini dikenakan pada fungsi trigonometri, maka turunannya disebut turunan fungsi trigonometri. Apa yang dimaksud turunan fungsi trigonometri? Daripada penasaran, yuk simak selengkapnya!
Pengertian Turunan Fungsi Trigonometri
Sebelum memahami pengertian turunan fungsi trigonometri, kamu harus tahu dulu apa itu fungsi trigonometri.
Fungsi trigonometri adalah suatu fungsi yang memuat variabel x di bagian sinus, cosinus, serta tangennya. Dengan syarat, perbandingannya (sinus, cosinus, dan tangen) harus terletak di bagian basis, bukan sebagai pangkat. Perhatikan contoh berikut.

Lantas, apa yang dimaksud turunan fungsi trigonometri? Turunan fungsi trigonometri adalah suatu proses turunan matematis yang melibatkan fungsi trigonometri. Proses turunan pada fungsi ini bisa berlangsung dua kali jika koefisiennya lebih dari satu. Perhatikan contoh berikut.
f(x) = cos(2x) …. (1)
Untuk menurunkan fungsi di atas, kamu harus melakukan dua kali turunan, yaitu turunan terhadap cosinus dan 2x. Semakin rumit komposisi variabelnya, semakin panjang pula proses penurunannya.
f(x) = cos(2x2 + 3x) …. (2)
Persamaan (1) memiliki variabel yang lebih sederhana dibandingkan persamaan (2). Pada persamaan (1), kamu hanya perlu menurunkan kosinus dan 2x saja. Namun, pada persamaan (2), kamu harus menurunkan cosinus, 2x2, dan 3x.
Tak perlu khawatir, ya, karena Quipper Blog akan membantumu untuk memahami konsep turunan ini.
Apa Saja Turunan Fungsi Trigonometri?
Saat belajar trigonometri, kamu sudah mengenal istilah sinus, kosinus, dan tangen kan? Nah turunan fungsi trigonometri juga termasuk ketiganya, yaitu turunan terhadap fungsi sinx, turunan terhadap cosx, turunan terhadap tanx, turunan terhadap secx, dan turunan terhadap cosecx. Dalam penerapannya, fungsi ini bisa dikembangkan layaknya fungsi aljabar, misalnya fungsi komposisi (yang memuat trigonometri).
Apa Saja Rumus Turunan Fungsi Trigonometri?
Kamu pasti sudah paham kan dengan konsep turunan secara umum? Misalnya, jika f(x) = 2x diturunkan terhadap x, akan dihasilkan f’(x) = 2, jika f(x) = 2x2 diturunkan terhadap x, akan dihasilkan f’(x) = 4x. Nah, seperti apa contoh turunan fungsi trigonometri?
1. Turunan terhadap fungsi sinx
Jika fungsi yang memuat sinx diturunkan terhadap x, akan dihasilkan fungsi cosx. Perhatikan contoh berikut.
f(x) = sinx → f’(x) = cosx
2. Turunan terhadap fungsi cosx
Jika fungsi yang memuat cosx diturunkan terhadap x, akan dihasilkan fungsi -sinx. Perhatikan contoh berikut.
f(x) = cosx → f’(x) = -sinx
Untuk memudahkan kamu mengingat, simak urutan SUPER “Solusi Quipper” berikut ini.

Tanda panah menunjukkan hasil turunannya.
Turunan fungsi sinus dan cosinus di atas merupakan dasar yang nantinya akan kamu gunakan untuk menyelesaikan soal-soal terkait turunan fungsi trigonometri.
Mungkin kamu bertanya-tanya, padahal kan fungsi trigonometri itu beragam jenisnya, ada yang tanx, cosecx, dan secx. Bagaimana menyelesaikannya? Berikut ini tabel rumus turunan trigonometri yang bisa kamu jadikan acuan belajar, ya.
| No | Fungsi (f(x)) | Hasil turunan (f’(x)) |
|---|---|---|
| 1 | sinx | cosx |
| 2 | cosx | -sinx |
| 3 | tanx | sec2x |
| 4 | cotx | -cosec2x |
| 5 | secx | secx . tanx |
| 6 | cosecx | -cosecx . cotanx |
| 7 | sin(ax + b) | acos(ax + b) |
| 8 | cos(ax + b) | -asin(ax + b) |
| 9 | k . sinn(ax + b) | k . na . sinn – 1 (ax + b).cos(ax + b) |
| 10 | k . cosn(ax + b) | -k . na . cosn – 1 (ax + b).sin(ax + b) |
| 11 |
Selain rumus pada tabel di atas, kamu juga harus mengenal beberapa rumus identitas untuk memudahkan penyelesaian soal-soal fungsi trigonometri.
⇒ Rumus identitas perbandingan

⇒Rumus identitas Pythagoras
sin2(nx) + cos2(nx) = 1tan2 + 1 = sec2(nx)
tan2 + 1 = cosec22(nx)
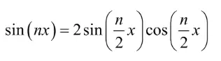
⇒Rumus sinus sudut rangkap

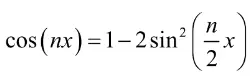
⇒Kosinus sudut rangkap

Sifat Turunan Fungsi Trigonometri
Apakah kamu masih ingat sifat turunan fungsi aljabar? Ternyata, sifat turunan fungsi trigonometri juga sama dengan sifat turunan aljabar, lho. Bedanya, pada fungsi trigonometri kamu juga harus menurunkan si trigonometrinya sendiri. Apa iya sih sifat kedua jenis fungsi ini sama? Yuk, kita buktikan.
Sifat turunan fungsi aljabar

Sifat turunan fungsi trigonometri
Seperti kamu ketahui, tanx merupakan perbandingan antara sinx dan cosx. Dengan mengacu pada sifat turunan fungsi aljabar di atas, diperoleh:

Terbukti kan, jika sifat turunan fungsi aljabar juga berlaku pada fungsi trigonometri?
Contoh Turunan Fungsi Trigonometri?
Adapun contoh turunan fungsi trigonometri adalah sebagai berikut.
Diketahui f(x) = sin(2x + 10), bagaimanakah bentuk turunan fungsinya?
Mula-mula, kamu harus menurunkan fungsi di dalam kurung, (2x + 10).
Hasil turunannya adalah 2
Selanjutnya, turunkan perbandingan sinusnya. Hasil turunannya adalah cos.
Mengacu pada rumus nomor 7 (pada tabel), yaitu f(x) = sin(ax + c) yang memiliki turunan f’(x) = a cos(ax + c), diperoleh:
f(x) = sin(2x + 10) → f’(x) = 2cos(2x + 10)

Lantas, bagaimana jika bentuk fungsinya memuat perbandingan berpangkat, misalnya f(x) = 2sin2(5x2 + 6)?
Untuk mencari turunannya, kamu bisa menggunakan rumus nomor 9, yaitu f(x) = k . sinn(ax + b) dengan hasil turunan f’(x) = k . na . sinn – 1 (ax + b).cos(ax + b). Dengan demikian, diperoleh:
f(x) = 2sin2(5x2 + 6)
f’(x) = 2 (2) (10x) sin(5x2 + 6)cos(5x2 + 6)
Jadi, turunan dari f(x) = 2sin2(5x2 + 6) adalah f’(x) = 2 (2) (10x) sin(5x2 + 6)cos(5x2 + 6).
Aplikasi Turunan Fungsi Trigonometri dalam Kehidupan Sehari-Hari
Adapun aplikasi turunan fungsi trigonometri dalam kehidupan sehari-hari adalah sebagai berikut.
- Menentukan jarak optimal antara tempat duduk dan layar bioskop.
- Menentukan papan terpendek untuk menopang pagar atau sejenisnya.
- Mencari kemiringan grafik yang bersinggungan dengan garis lurus di suatu titik.
- Memperkirakan puncak arus mudik lebaran, sehingga bisa mengantisipasi terjadinya kemacetan.
- Memperkirakan waktu optimal untuk produksi suatu barang, sehingga bisa mendapatkan penjualan yang optimal pula.
- Memperkirakan suhu terendah dan tertinggi di negara empat musim.
Contoh Soal Turunan Fungsi Trigonometri
Untuk mengasah pemahamanmu tentang materi kali ini, yuk simak contoh soal berikut.
Contoh Soal 1
Tentukan turunan pertama dari fungsi berikut.

Pembahasan:
Mula-mula, kamu harus menguraikan fungsi tersebut menurut rumus yang umum berlaku. Dalam hal ini, gunakan rumus identitas kebalikan dan perbandingan.

Lalu, turunkan bentuk penyederhanaan fungsi di atas.
f (x) = 3sin x = tan x
⇔ f(x) = 3cos x – sec2 x
Jadi, turunan f(x)=3cos(x)-1/cos(x) adalah f(x) = 3cos x – sec2 x
Contoh Soal 2
Diketahui fx=2x4.tan(5x). Tentukan turunan pertama dari fungsi tersebut?
Pembahasan:
Dari fungsi di atas, kamu dapat memisalkan sebagai berikut.
Misal:
u(x) = 2x4 → u’(x) = 8x3
v(x) = tan(5x) → v’(x) = 5sec2(5x)
Untuk mencari turunan pertamanya, gunakan sifat turunan fungsi aljabar berikut.
f(x) = u(x).v(x) ⇒ f(x) = u(x).v(x)+u(x).v(x)
Dengan demikian:

Jadi, turunan pertama dari fx=2x4.tan(5x) adalah f’(x) = 2x3(4 tan(5x) + 5xsec2(5x)).
Contoh Soal 3
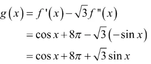
Diketahui fx=x +8πx dan gx=f’x-√3f”(x). Berapakah nilai x yang memenuhi g’(x) = 0, dengan 0 ≤ x ≤ π?
Pembahasan:
Mula-mula, kamu harus menentukan turunan pertama dan kedua f(x).
- f(x) = sin(x) +8πx
- f'(x) = cos cos (x) +8π
- f”(x) = x
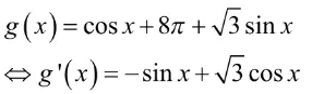
Lalu, substitusikan f’(x) dan f’’(x) ke persamaan g(x).

Selanjutnya, tentukan turunan pertama dari g(x).

Jika, g’(x) = 0, berlaku

Berdasarkan persamaan trigonometri untuk tangen, diperoleh:

Jadi, nilai x yang memenuhi adalah π/3
Itulah pembahasan Quipper Blog kali ini. Semoga bermanfaat, ya. Untuk melihat materi lengkapnya, yuk buruan gabung Quipper Video. Salam Quipper!