
Hai Quipperian, bagaimana kabarnya? Semoga selalu sehat dan tetap semangat belajar, ya!
Saat bepergian ke kota-kota besar seperti Jakarta, Bandung, atau Surabaya, pasti Quipperian akan melihat gedung-gedung megah berjajar yang memancarkan keindahannya. Gedung-gedung tersebut harus didesain sedemikian sehingga aman dan tahan terhadap guncangan. Di balik kemegahan dan keindahan gedung-gedung tersebut, ternyata ada peran Matematika di dalamnya. Benarkah demikian?
Posisi atau kemiringan gedung merupakan hal utama yang harus diperhatikan. Membahas masalah kemiringan, ternyata ada peran trigonometri, lho. Apa itu trigonometri? Dan seperti apa prinsip turunan trigonometri? Temukan jawabannya di pembahasan Quipper Blog kali ini.
Pengertian Trigonometri

Trigonometri adalah ilmu Matematika yang mempelajari tentang sudut, sisi, dan perbandingan antara sudut dan sisi. Dari perbandingan tersebut, muncullah istilah sinus, kosinus, tangen, sekan, kosekan, dan kotangen. Jika trigonometri tersebut memuat suatu variabel tertentu, maka disebut sebagai fungsi trigonometri. Adapun ciri-ciri fungsi trigonometri adalah sebagai berikut.

Setelah Quipperian paham dengan ciri-ciri fungsi trigonometri di atas, kini saatnya mempelajari turunan dan fungsi dasarnya.
Turunan dan Fungsi Dasar Trigonometri

Untuk turunan dan fungsi dasar trigonometri, rumus yang digunakan adalah sebagai berikut.
1. Definisi turunan yang berkaitan dengan limit fungsi.
2. Rumus selisih sinus.

3. Rumus limit trigonometri.

4. Teorema limit.

Untuk mengasah pemahamanmu tentang turunan fungsi trigonometri, perhatikan contoh soal berikut ini.
Contoh soal 1

Pembahasan:

Dari contoh soal di atas, diperoleh turunan sinus dan kosinus berikut.

Agar Quipperian mudah dalam mengingat bentuk turunan di atas, inilah SUPER “Solusi Quipper”.

Dasar utama yang digunakan untuk menurunkan fungsi trigonometri adalah turunan terhadap sinus maupun kosinus seperti tabel maupun SUPER di atas. Namun demikian, kaidah penurunannya tetap mengacu pada turunan aljabar berikut ini.

Rumus Turunan Fungsi Dasar Trigonometri Lainnya

Ternyata, sifat turunan fungsi trigonometri sama juga lho dengan fungsi aljabar. Mau tahu?

Dari dua persamaan di atas, sifat turunan fungsi aljabar nomor 2 dapat digunakan untuk menentukan turunan trigonometri tangen, sekan, kosekan, dan kotangen. Jika ditelaah kembali, soal-soal yang berkaitan dengan turunan fungsi trigonometri itu banyak dan beragam, sehingga Quipper Blog telah merangkum beberapa rumus yang bisa memudahkan Quipperian saat mengerjakan soal. Adapun rumus yang dimaksud adalah sebagai berikut. Check this out!
1. Identitas perbandingan

2. Identitas pythagoras

3. Sinus sudut rangkap

4. Kosinus sudut rangkap

Belajar turunan fungsi trigonometri tidak lengkap jika belum mengerjakan contoh soal. Oleh sebab itu, simak contoh soal tentang rumus dasar turunan fungsi trigonometri berikut ini.
Contoh soal 2
Jika f(x) = sec x, tentukan f’(x)!
Pembahasan:
Berdasarkan identitas balikan diperoleh:

Gunakan permisalan seperti berikut.

Dengan demikian diperoleh:

Apakah hanya itu? Ternyata tidak, ya. Turunan fungsi trigonometri untuk bentuk lainnya, bisa ditemukan pada tabel berikut ini.

Dengan melihat beberapa persamaan di atas, Quipperian tidak perlu bingung karena SUPER “Solusi Quipper” hadir membawa kemudahan untuk menghafalkannya. Inilah SUPER “Solusi Quipper”.

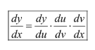
Turunan Fungsi Komposisi

Untuk menurunkan fungsi komposisi trigonometri, Quipperian juga harus menggunakan prinsip dasar turunan fungsi komposisi aljabar. Adapun rumus dasarnya adalah sebagai berikut.

Apakah Quipperian sudah paham dengan persamaan di atas? Jika masih mengalami kesulitan, Quipperian bisa mencoba prinsip turunan berantai seperti berikut ini.
Keterangan:
y, u, dan v merupakan fungsi dalam variabel x.
Untuk meningkatkan pemahaman kamu tentang turunan fungsi komposisi trigonometri, simak contoh soal berikut.
Contoh soal 3

Pembahasan:

Dengan demikian, diperoleh:


Untuk menyelesaikan persamaan di atas, ingat prinsip persamaan sinus berikut.

Tampaknya, Quipperian semakin paham tentang turunan fungsi komposisi trigonometri, ya. Cara termudah untuk menyelesaikan masalah terkait turunan fungsi trigonometri adalah dengan memahami turunan fungsi aljabar seperti pada pembahasan sebelumnya. Tugas Quipperian adalah mengubah fungsi trigonometri dalam soal sedemikian sehingga memiliki bentuk yang analog dengan fungsi aljabar yang dimaksud.
Nilai Turunan Fungsi di x = p

Suatu fungsi y = f(x) yang memiliki turunan di x = p, pasti turunan pertamanya f’(p).
Agar Quipperian lebih paham dengan nilai turunan fungsi di x = p, simak contoh soal berikut ini.
Contoh soal 4
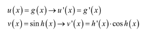
Diketahui f(x) = g(x) sin h(x), dengan g(2) = -1, g’(2) = -3, h(2) = 0, dan h’(2) = 2. Tentukan nilai dari f’(2)!
Pembahasan:
Fungsi f(x) memuat perkalian fungsi, sehingga sifat yang digunakan adalah sebagai berikut.

Pertama, Quipperian membuat permisalan seperti persamaan berikut.
Berdasarkan permisalan di atas, diperoleh:

Jadi, nilai f’(2) = -2.
Itulah pembahasan dan contoh soal tentang turunan trigonometri. Semoga pembahasan kali ini bermanfaat bagi Quipperian semua. Belajar Matematika itu bukan hal yang harus ditakutkan. Mengingat Matematika adalah ilmu dasar yang akan ada di setiap jenjang pendidikan. Oleh karena itu, asah kemampuan matematismu bersama Quipper Video. Dengan Quipper Video, belajar Matematika jadi lebih mudah dan praktis. Kamu bisa belajar kapan saja dan di mana saja. Salam Quipper.
Penulis: Eka Viandari