
Hai Quipperian, bagaimana kabarnya? Semoga selalu sehat dan tetap semangat, ya!
Siapa di antara Quipperian yang hobi bermain sepak bola? Sepak bola merupakan salah satu olahraga yang banyak digandrungi oleh semua kalangan, baik anak-anak, remaja, bahkan orang tua. Pernahkah kamu berpikir apa jadinya jika objek yang ditendang dalam permainan tersebut tidak berbentuk bola, melainkan kubus? Mungkin jadinya, sepak kubus ya!
Objek yang ditendang dalam permainan sepak bola sudah pasti berbentuk bola. Hal itu karena bola memiliki sebidang sisi lengkung yang tidak dimiliki oleh bangun ruang lain, sehingga memudahkannya untuk bergerak menggelinding. Jika sisinya bendanya berbentuk kubus, sudah pasti susah untuk bergerak, kan? Sebagai salah satu bangun ruang yang memiliki satu bidang sisi lengkung, bola juga memiliki volume layaknya bangun ruang lain, lho. Ingin tahu volume bola? Check this out!
Pengertian Bola

Sebelum membahas tentang volume bola, Quipperian harus tahu apa sih bola itu?
Bola merupakan bangun ruang sisi lengkung yang dibatasi oleh suatu bidang lengkung. Jika Quipperian ingin membuat bola, cobalah untuk memutar bangun setengah lingkaran sejauh 360o pada garis tengahnya. Hasil putaran itu seolah-olah akan membentuk suatu bangun yang disebut bola. Bola tidak memiliki titik sudut dan rusuk, melainkan hanya satu bidang sisi lengkung.
Volume Bola

Jika Quipperian ingin tahu volume bola, ikuti langkah-langkah berikut.
- Sediakan sebuah kerucut, bangun setengah bola, dan air. Bangun berbentuk setengah bola bisa kamu dapatkan dari hasil pemotongan bola di bagian diameternya. Nah, kerucut yang kamu gunakan harus memiliki diameter dan tinggi yang sama dengan diameter bola. Bagaimana cara membuat kerucutnya? Kerucut bisa kamu buat dari kertas karton atau lainnya.
- Isilah kerucut dengan air sampai penuh. Usahakan jangan sampai tumpah.
- Tuangkan air di dalam kerucut tersebut ke bangun setengah bola. Ulangi sampai bangun setengah bola penuh dengan air.
Dari percobaan sederhana tersebut, apa sih hal yang bisa kamu simpulkan? Jika percobaanmu sesuai dengan langkah yang telah disebutkan sebelumnya, hasilnya adalah bola akan penuh dengan air setelah kamu memasukkan air sebanyak dua kali dari kerucut. It means, volume setengah bola sama dengan 2 x volume kerucut. Secara matematis, dirumuskan sebagai berikut.


Keterangan:
V = volume bola (m3 atau cm3);
r = jari-jari bola (m atau cm); dan
d = diameter bola (m atau cm).
Perbandingan Volume Bola

Misalnya kamu memiliki dua buah bola yang berbeda jari-jarinya. Jika diminta untuk membandingkan volume keduanya, rumus apa yang harus kamu gunakan? Apakah kamu akan menghitung volume masing-masing bola? Bisa juga sih, tapi terlalu lama. Untuk membandingkan volume dua buah bola yang berbeda jari-jarinya, gunakan persamaan berikut.

Jadi, untuk membandingkan dua buah bola yang berbeda jari-jarinya, Quipperian cukup membandingkan jari-jari tersebut lalu dipangkatkan tiga. Mudah bukan?
Untuk mengasah kemampuanmu tentang volume bola, perhatikan contoh soal berikut.
Contoh Soal 1
Andi memiliki sebuah bola plastik. Bola tersebut diisi oleh udara sampai penuh. Volume udara yang dimasukkan di dalamnya adalah 38.808 cm3. Tentukan jari-jari bola tersebut!
Pembahasan:
Diketahui:
V = 38.808 cm3
Ditanya: r =…?
Jawaban:

Jadi, jari-jari bola tersebut adalah 21 cm.
Contoh Soal 2
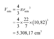
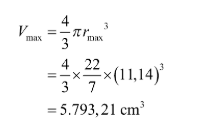
Pak Heru ingin membeli bola untuk sepak bola di sekolahnya. Bola yang ingin dibeli Pak Heru harus memiliki panjang 68 cm – 70 cm. Tentukan volume bola minimal dan maksimal yang harus dibeli Pak Heru!
Pembahasan:
Diketahui:
K = 68 cm – 70 cm
Ditanya: volume bola minimal dan maksimal =…?
Jawaban:
Untuk mencari volume bola minimal dan maksimal, Quipperian harus mencari masing-masing volume bola yang panjangnya 68 cm dan 70 cm. Panjang bola dalam hal ini berarti keliling lingkaran. Tentukan dahulu jari-jari bolanya menggunakan keliling lingkaran.
- Jari-jari bola minimal

- Volume bola minimal

- Jari-jari bola maksimal

- Volume bola maksimal

Jadi, volume bola minimal dan maksimalnya berturut-turut adalah 5.08,17 cm3 dan 5.793,21 cm3.
Contoh Soal 3

Pembahasan:
Untuk mencari perbandingan volume bola sebelum dan sesudah diperkeci, gunakan persamaan berikut.

Jadi, perbandingan volume bola sebelum dan setelah diperkecil adalah 27 : 1.
Nah, itulah pembahasan Quipper Blog tentang volume bola. Bola merupakan bangun ruang yang mudah sekali untuk dijumpai dalam kehidupan sehari-hari. Itulah mengapa materi bola penting untuk dipelajari. Untuk memudahkan Quipperian dalam memahami materi ini, cobalah untuk terus membaca dan berlatih mengerjakan soal. Dengan semakin sering berlatih, semakin mudah pula Quipperian untuk paham.
Agar belajarmu lebih menyenangkan, yuk gabung bersama Quipper Video karena di dalamnya memuat ribuan soal yang bisa kamu kerjakan kapanpun dan dimanapun. So, tunggu apa lagi. Salam Quipper!
[spoiler title=SUMBER]
- Dris, J dan Tasari. 2011. Matematika Jilid 3 untuk SMP dan MTS Kelas IX. Jakarta: Pusat Kurikulum dan Perbukuan
- Agus, Nuniek Avianti. 2007. Mudah Belajar Matematika untuk Kelas IX Sekolah Menengah Pertama/Madrasah Tsanawiyah. Jakarta: Pusat Kurikulum dan Perbukuan[/spoiler]
Penulis: Eka Viandari