Hai Quipperian! Sudahkah kamu memahami materi logaritma? Pasti sudah ya kan. Kalau belum, tenang saja, belajar logaritma tidak susah kok selama kamu memahami konsepnya.
Untuk membantumu, Quipper Video Blog akan memberikan beberapa contoh soal materi logaritma dan pembahasannya. Tentunya, contoh soal itu akan berguna untuk membantumu memahami materi logaritma dalam pelajaran matematika.
Mau tahu seperti apa contoh soalnya? Kalau begitu, yuk, simak pembahasannya berikut!
Belajar Persamaan Kuadrat untuk Menguasi Materi Matematika Dasar!
Soal tersebut cukup mudah kamu jawab kalau sudah paham konsep rumus logaritma. Berikut pembahasannya:
Diketahui: log3 = 0,477 dan log2 = 0,301
Dari hasil hitungan tersebut diketahui bahwa log18 adalah 1,255. Dengan demikian, jawaban yang tepat untuk soal tersebut ialah pilihan jawaban B.
Untuk menjawab soal tersebut, maka kamu harus menyelesaikannya dengan cara berikut:
Berdasarkan hasil hitungan tersebut, maka jawaban yang tepat ialah pilihan jawaban A. Bagaimana Quipperian? Cukup mudahkan kalau kamu tahu cara penghitungannya? Lanjut ke contoh soal selanjutnya
Soal ini dapat diselesaikan dengan cara berikut:
Dari hasil hitungan tersebut maka jawaban yang tepat ialah pilihan jawaban C. Kunci keberhasilan hitungan ialah tidak terburu-buru dan memperhatikan hasil hitungan secara cermat. Jika kamu terlalu terburu-buru, maka hasilnya bisa meleset dan jawabannya tentu salah.
Ini Kunci Penting Menyelesaikan Soal Matematika Dasar dengan Mudah
Soal tersebut cukup mudah untuk diselesaikan. Kamu bisa menemukan jawabannya bila menggunakan hitungan berikut:
log4,72=0,674
log4720= log(4,72 1000)
= log4,72+ log1000
= log4,72+ log103
= 0,674+3
= 3,674
Dari hitungan tersebut telah diketahui bahwa nilai dari log 4720= 3,674. Dengan demikian, jawaban yang tepat ialah pilihan jawaban D.
Jawaban soal tersebut dapat kamu ketahui bila mengikuti cara berikut:
Dari hasil hitungan tersebut akhirnya diketahui bahwa jawaban dari pertanyaan soal ialah 1− . Dengan demikian, jawaban yang tepat ialah E.
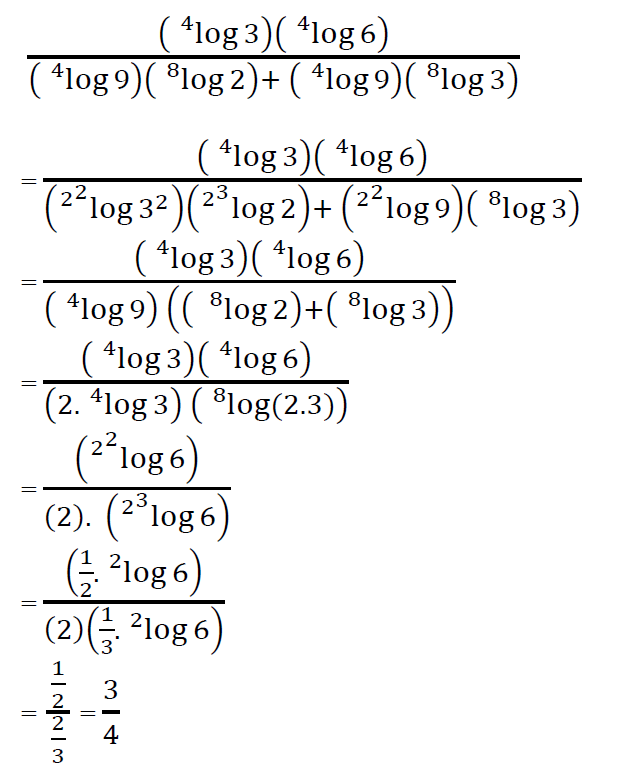
Untuk dapat memecahkan soal tersebut, kamu harus menghitungnya dengan cara berikut:
Dari hasil hitungan tersebut sudah diketahui bahwa jawaban yang tepat ialah pilihan jawaban A. Soalnya mudahkan untuk dipecahkan kalau kamu sudah mengerti bagaimana pola hitungannya. Yuk, lanjut ke nomor selanjutnya!
Soal pertidaksamaan seperti di atas bisa kamu selesaikan dengan mudah bila menggunakan cara berikut:
Berdasarkan hasil hitungan tersebut, maka jawaban yang tepat untuk soal tersebut ialah D. Soal itu termasuk cukup rumit bagi kamu yang tidak memahami cara menghitungnya. Namun, bila kamu sudah memahaminya, tentu soal sulit semacam itu akan menjadi sangat mudah guys.
Simak Sejarah Logaritma Jost Burgi, Agar Kemampuan Matematikamu Semakin Canggih!
Bagaimana Quipperian? Mudahkan belajar logaritma. Kalau kamu butuh lebih banyak contoh soal lainnya untuk belajar, maka kamu bisa mendapatkannya di Quipper Video. Materinya banyak lho. Mulai dari persamaan angka, logaritma, trigonometri, hingga baris dan deret. Pokoknya lengkap dhe.
Kamu pun bisa mencari materi belajar matematika tambahan yang kiranya tidak kamu dapatkan di sekolah. Sebab, di Quipper Video ada Pak Ferry Muhammad Isnaeni, The Math Magician, sebagai tutor kamu.
Belajar bersama Pak Ferry akan membuatmu cepat memahami materi matematika yang sulit sekaligus. Tak hanya itu, cara menjelaskannya pun enak dan mudah dipahami. Pastinya, untuk kamu yang tadinya tidak suka matematika menjadi keranjingan pelajaran matematika.
Selain Pak Ferry, masih ada pula tutor lain yang kiranya tidak kalah kece dan tentunya membuatmu semangat belajar. Tutor lainnya itu seperti Bu Nadia Cassinie, Math Duchess, dan Bu Mia Syafrina, Math Genius.
Adapun, materi pelajaran lain pun bisa kamu dapatkan di Quipper Video. So, kamu bisa belajar materi dari pelajaran lain dengan cara yang asyik bersama Quipper Video. Penasaran? Yuk, langsung saja bergabung bersama Quipper Video!
Penulis: Muhammad Khairil














