
Foto: Freepik.com
Hai Quipperian, bagaimana kabarnya? Semoga selalu sehat dan tetap semangat, ya!
Siapa di antara Quipperian yang suka pelajaran Matematika? Apa sih yang kamu sukai dari Matematika? Beberapa orang suka Matematika karena mereka menganggap angka adalah sesuatu yang unik karena bisa diutak-atik. Hasil kombinasi angka-angka akan membentuk suatu bilangan. Dari bilangan inilah segala permasalahan bisa terselesaikan.
Misalnya, untuk menentukan harga beras, berat badan, panjang kayu, pasti membutuhkan bilangan, kan? Tah heran jika materi bilangan masuk dalam soal-soal UTBK SBMPTN. Ingin belajar lebih lanjut tentang bilangan TPS? Check this out!
Pengertian Bilangan

Foto: Unsplash.com
Bilangan merupakan simbol yang digunakan untuk menyatakan kuantitas dalam perhitungan maupun pengukuran. Adapun contoh bilangan adalah –3, 0, 1, ½, π, dan masih banyak lainnya.
Jenis-Jenis Bilangan

Foto: Unsplash.com
Bilangan dibagi menjadi beberapa jenis, yaitu seperti pada bagan berikut.

Untuk bilangan asli, ternyata juga dibagi lagi menjadi empat jenis bilangan. Adapun pembahasan masing-masing bilangan asli adalah sebagai berikut.
1. Bilangan ganjil
Mudahnya, bilangan ganjil adalah bilangan yang tidak bisa dibagi dua, contoh 1, 3, 5. 7. 9, dan seterusnya. Bilangan ini biasa dinotasikan sebagai 2n – 1, dengan n = bilangan asli.
2. Bilangan genap
Bilangan genap tentu kebalikan dari bilangan ganjil, yaitu bilangan yang bisa dibagi dua, contoh 4, 6, 8, 22, dan seterusnya. Bilangan genap biasa dinyatakan sebagai 2n, dengan n = bilangan asli.
3. Bilangan prima
Bilangan prima adalah bilangan yang hanya bisa dibagi 1 dan bilangan itu sendiri. Umumnya, bilangan prima adalah bilangan ganjil, kecuali 2. Contoh bilangan prima adalah 2, 3, 5, 7, 11, 13, 17, 19, dan seterusnya.
4. Bilangan komposit
Bilangan komposit adalah bilangan asli yang bukan bilangan prima dan lebih besar dari 1. Contoh bilangan komposit adalah 4, 6, 8, 10, 12, dan seterusnya.
Operasi Bilangan

Foto: Unsplash.com
Operasi bilangan wajib kamu kuasai karena materi ini merupakan materi dasar sejak kamu berada di tingkat sekolah dasar.
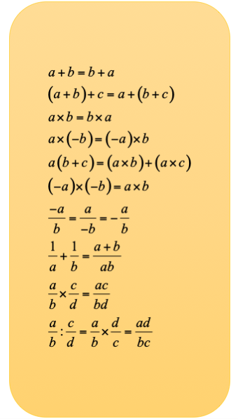
1. Penjumlahan, pengurangan, perkalian, dan pembagian
Tentu kamu masih ingat dengan penjumlahan, pengurangan, perkalian, dan pembagian, kan? Untuk memudahkan belajarmu, perhatikan konsep berikut.

Jika kamu menemukan soal di mana bilangan ganjil ditambah atau dikurangi bilangan genap, maka hasilnya sudah pasti bilangan ganjil. Namun, jika bilangan ganjil ditambah atau dikurangi bilangan ganjil, hasilnya berupa bilangan genap. Untuk perkalian, berlaku konsep berikut.

Sementara itu, untuk pembagian, kamu bisa dengan mudah menentukan hasilnya dengan mengikuti trik berikut.
- Suatu bilangan habis dibagi 3 jika jumlah semua digit dalam bilangan tersebut habis dibagi 3.
- Suatu bilangan habis dibagi 4 jika dua digit terakhir bilangan tersebut habis dibagi 4.
- Suatu bilangan habis dibagi 5 jika digit terakhir bilangan tersebut adalah 0 atau 5.
- Suatu bilangan habis dibagi 6 jika bilangannya genap dan jumlah semua digit dalam bilangan tersebut habis dibagi 3.
- Suatu bilangan habis dibagi 7 jika 2 kali digit satuannya bisa menjadi pengurang sisa digitnya. Jika hasil pengurangan habis dibagi 7, sudah pasti bilangan tersebut juga habis dibagi 7.
- Suatu bilangan habis dibagi 8 jika tiga digit terakhir bilangan tersebut habis dibagi 8.
- Suatu bilangan habis dibagi sembilan jika jumlah semua digit dalam bilangan tersebut habis dibagi 9.
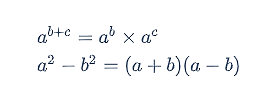
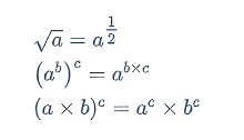
2. Pangkat dan akar
Konsep tentang pangkat dan akar sudah kamu dapatkan di kelas 9 dan 10, kan? Untuk menyegarkan ingatanmu tentang pangkat dan akar, perhatikan persamaan berikut.

3. Mengurutkan nilai
Mengurutkan bilangan yang belum diketahui nilainya memang tidak semudah yang dibayangkan. Untuk mengantisipasi hal ini, kamu bisa menggunakan garis bilangan. Masukkan satu per satu data pada premis ke dalam garis bilangan yang sudah dibuat.
Jika premisnya lebih dari dua, kamu bisa menggunakan garis bilangan kedua untuk memperkirakan letak bilangan tersebut. Nah, jika bilangannya berupa pecahan, kamu bisa menyamakan penyebutnya dengan KPK kemudian urutkan pembilangnya. Perhatikan contoh berikut.

Untuk mengasah kemampuanmu tentang bilangan, simak contoh soal berikut ini.
Contoh soal 1

Pembahasan:
Ingat bahwa:
Ini berarti:

Contoh soal 2

Pembahasan:
Ingat bahwa:

Ini berarti:

Dengan demikian, persentase p terhadap q adalah sebagai berikut.

Jadi, persentase p terhadap q adalah 0,4%.
Contoh soal 3
Suatu bilangan bulat 6 digit, yaitu 64ab92 habis dibagi 72. Jika jumlah semua digit angka penyusun bilangan tersebut bernilai antara 30 dan 39 serta a > b, tentukan nilai dari √a-b!
Pembahasan:
Diketahui suatu bilangan bulat 6 digit, yaitu 64ab92 yang habis dibagi 72. Artinya, bilangan tersebut juga habis dibagi 9 dan 88.
Suatu bilangan akan habis dibagi 9 jika jumlah semua digit dalam bilangan tersebut juga habis dibagi 9. Jumlah semua digit angka penyusun 64ab92 berkisar 30 dan 39. Nah, bilangan antara 30 dan 39 yang habis dibagi 9 adalah 36. Artinya:
Suatu bilangan habis dibagi jika tiga digit terakhir bilangan tersebut habis dibagi 8. Tiga digit terakhir dari 64ab92 adalah b92. Ingat bahwa a dan b masing-masing terdiri dari 1 digit. Artinya, a dan b merupakan bilangan bulat positif yang kurang dari 10.
Berdasarkan persamaan (1), yaitu a + b = 15, pasangan nilai a dan b yang mungkin adalah 8 dan 7, 7 dan 8, 9 dan 6, atau 6 dan 9. Oleh karena itu, semua nilai b yang mungkin adalah 6, 7, 8, dan 9. Dengan demikian, diperoleh:

Oleh karena 792 dan 992 habis dibagi 8, maka nilai b = 7 atau b = 9. Substitusikan nilai b = 7 atau b = 9 ke persamaan (1).

Oleh karena a > b, maka nilai yang memenuhi adalah a = 8 dan b = 7, sehingga diperoleh:

Jadi, nilai √a-b = 1.
Itulah pembahasan Quipper Blog tentang bilangan, semoga bermanfaat ya. Jika Quipperian ingin melihat soal-soal lain tentang bilangan, silakan gabung bersama Quipper Video. Bersama Quipper Video, belajar jadi lebih mudah dan menyenangkan. Salam Quipper!
Penulis: Eka Viandari