
Foto: Freepik.com
Hai Quipperian, bagaimana kabarnya? Semoga selalu sehat dan tetap semangat belajar, ya!
Apakah kamu memiliki atlas? Di dalam atlas, biasanya kamu akan menemui istilah 1 : 1.000, 1 : 10.000, 1 : 100.000, dan seterusnya. Nah, apa sih maksud istilah-istilah tersebut? Istilah tersebut dinamakan sebagai skala. Jika tertulis skala 1 : 10.000 artinya, setiap 1 cm pada peta mewakili jarak 10.000 cm pada kondisi sebenarnya.
Misalnya, jarak antara rumahmu dan kota Semarang berjarak 10 cm di peta dengan skala 1 : 10.000. Berarti, jarak antara rumahmu dan kota Semarang sebenarnya adalah 10 × 10.000 cm = 100.000 cm atau 1 km. Itulah konsep utama dalam perbandingan yang akan kamu pelajari di artikel kali ini.
Pengertian Perbandingan

Foto: Unsplash.com
Perbandingan adalah membandingkan dua nilai atau lebih dari siatu besaran sejenis dengan cara sederhana. Untuk menentukan nilai besaran yang belum diketahui nilainya, kamu bisa menggunakan bilangan lain sejenis sebagai pembanding.
Jenis-Jenis Perbandingan

Foto: Unsplash.com
Pada dasarnya, perbandingan dibagi menjadi dua, yaitu perbandingan senilai dan berbalik nilai. Berikut ini penjelasan masing-masing perbandingan tersebut.
1. Perbandingan senilai
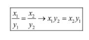
Perbandingan yang menghasilkan nilai linier antarbesarannya. Artinya, jika salah satu besaran bertambah, maka besaran lainnya juga akan bertambah. Sebaliknya, jika salah satu berkurang, besaran lainnya juga akan berkurang. Secara matematis, perbandingan senilai dirumuskan sebagai berikut.
Nilai x1 atau y1 bisa berubah menjadi x2 dan y2 karena proses perkalian antara x1 atau y1 dengan faktor lain yang disebut n. Oleh karena itu, hubungan antara x1, y1, x2, y2, dan n dirumuskan sebagai berikut.

Aplikasi perbandingan senilai ini bisa kamu temukan pada skala seperti contoh di awal artikel, menghitung biaya pembuatan rumah, dan sebagainya. Membahas masalah skala, memangnya skala itu apa sih?
Skala adalah perbandingan yang biasa digunakan pada peta untuk menunjukkan perbandingan antara jarak pada peta dan sebenarnya. Secara umum, skala dinotasikan sebagai 1 : S. Artinya, pada jarak 1 cm pada peta sama dengan jarak s cm pada kondisi sebenarnya.

Keterangan:
JP = jarak pada peta; dan
JS = jarak sebenarnya.
2. Perbandingan berbalik nilai
Perbandingan berbalik nilai adalah perbandingan antara dua atau lebih besaran yang mana jika salah satu besaran bertambah, besaran lainnya akan berkurang begitu juga sebaliknya. Secara matematis, perbandingan berbalik nilai dirumuskan sebagai berikut.

Nilai x1 atau y1 bisa berubah menjadi x2 dan y2 karena proses perkalian antara x1 dan faktor lain yang disebut n serta y1 dengan kebalikan faktor tersebut, yaitu ¹/n. Oleh karena itu, hubungan antara x1, y1, x2, y2, dan n dirumuskan sebagai berikut.

Aplikasi perbandingan senilai ini bisa kamu temukan pada pengerjaan suatu proyek baik bangunan, produksi barang, dan lainnya atau bisa untuk memperkirakan bekal perjalanan.
Contoh perbandingan terbalik, yaitu waktu pengerjaan suatu proyek pasti berbanding terbalik dengan banyaknya pekerja. Jika jumlah pekerja yang terlibat banyak, pasti proyek akan lebih cepat selesai dan berlaku sebaliknya. Untuk menghitung waktu pengerjaan proyek, gunakan rumus berikut.
![]()
Keterangan:
t1 = perkiraan waktu pengerjaan mula-mula;
n1 = jumlah pekerja mula-mula;
t2 = waktu pengerjaan sebenarnya; dan
∆n = perubahan jumlah pekerja.
Nah, untuk mengasah kemampuanmu tentang materi perbandingan, yuk ikuti contoh soal berikut.
Contoh soal 1
Dera dan Deri masing-masing membeli sekarung pupuk dengan merek yang sama, tetapi massanya berbeda. Jika pada kemasan pupuk yang dibeli Dera tertulis 4,2 kg dan pada kemasan pupuk yang dibeli Deri tertulis 3.600 g, perbandingan antara massa pupuk yang dibeli Dera dan Deri adalah…
- 7 : 60
- 14 : 6
- 14 : 9
- 70 : 6
- 7 : 6
Pembahasan:
Mula-mula, samakan terlebih dahulu satuan massa pupuk yang dibeli Dera dan Deri.
Massa pupuk yang dibeli Dera = 4,2 kg = 4.200 g
Massa pupuk yang dibeli Deri = 3.600 g
Dengan demikian, perbandingan antara massa pupuk Dera dan Deri adalah sebagai berikut.

Jadi, perbandingan antara massa pupuk yang dibeli Dera dan Deri adalah 7 : 6.
Jawaban: E
Contoh soal 2
Suatu proyek perbaikan jalan harus selesai selama 43 hari dengan pekerja sebanyak 17 orang. Setelah 5 hari pelaksanaan, proyek tersebut dihentikan selama a hari karena suatu masalah. Oleh sebab itu, dibutuhkan tambahan pekerja sebanyak 2 orang agar proyek dapat selesai tepat waktu. Jika kemampuan bekerja setiap orang dianggap sama, nilai a adalah…
- 2
- 4
- 7
- 3
- 6
Pembahasan:
Diketahui:
Jangka waktu proyek = 43 hari
Banyak pekerja awal = 17 orang
Jangka waktu sampai proyek dihentikan sementara = 5 hari
Lama waktu penghentian proyek = a hari
Banyak tambahan pekerja = 2 orang
Permasalahan ini merupakan kasus perbandingan berbalik nilai. Hal ini dikarenakan semakin banyak pekerja yang dilibatkan, proyek akan semakin cepat selesai. Berdasarkan keterangan pada soal, diperoleh informasi berikut.
Sisa hari normal = 43 – 5 = 38 hari
Sisa hari setelah masa penghentian proyek = (38 − a) hari
Banyak pekerja yang dibutuhkan agar proyek selesai tepat waktu = 17 + 2 = 19 orang
Untuk lebih jelasnya, permasalahan tersebut dapat digambarkan pada tabel berikut.
| Lama Pengerjaan (hari) | Banyak Pekerja (orang) |
| 38 | 17 |
| 38 – a | 19 |
Berdasarkan konsep perbandingan berbalik nilai, diperoleh rumusan berikut.

Jadi, nilai a adalah 4.
Jawaban: B
Contoh soal 3
Nana mencoba membuat peta kota kelahirannya sedemikian rupa sehingga 5 cm mewakili 17 km pada jarak yang sebenarnya. Jika jarak antara rumah Nana dan stasiun kereta api pada peta adalah 3 cm, jarak sebenarnya antara rumah Nana dan stasiun kereta api tersebut adalah…
- 9,8 km
- 10,4 km
- 10,6 km
- 10,2 km
- 9,6 km
Pembahasan:
Nana mencoba membuat peta kota kelahirannya sedemikian rupa sehingga 5 cm mewakili 17 km = 1.700.000 cm pada jarak yang sebenarnya. Ini berarti, skalanya adalah sebagai berikut.

Jarak antara rumah Nana dan stasiun kereta api pada peta adalah 3 cm. Dengan demikian, jarak sebenarnya antara rumah Nana dan stasiun kereta api tersebut adalah sebagai berikut.

Jadi, jarak sebenarnya antara rumah Nana dan stasiun kereta api tersebut adalah 10,2 km.
Jawaban: D
Itulah pembahasan Quipper Blog tentang perbandingan. Semoga bisa bermanfaat, ya. Tetap semangat, tetap produktif meskipun masih di rumah saja. Jadikan Quipper Video sebagai mitra belajar yang menyenangkan. Sampai jumpa di artikel selanjutnya. Salam Quipper!
Penulis: Eka Viandari