
SBMPTN sebentar lagi, soal-soal harus segera dikuasai. Makanya, kamu harus gercep alias gerak cepat. Nah, Bagi kamu yang saat ini masih bingung mencari soal-soal SBMPTN, tampaknya kamu berada di website yang tepat.
Kali ini, Quipper Blog akan membahas Prediksi UTBK SBMPTN SAINTEK 2020. Kabar baiknya, Latihan Soal yang disediakan Quipper Blog, lengkap dengan jawaban beserta pembahasannya, lho. Semakin penasaran? Kuy, segera kerjakan soalnya!
Latihan Soal 1
Dua buah kapal memiliki rute pelayaran yang melewati berbagai pelabuhan internasional. Rute-rute pelayaran tersebut berbentuk parabola. Kapal 1 melewati pelabuhan A yang berada pada koordinat 8o LU 0o BB dengan tujuan paling selatan, yaitu pelabuhan J pada koordinat 8o LS 4o BB. Kapal 2 melewati pelabuhan K yang berada pada koordinat 3o LU 0o BB dengan tujuan paling selatan, yaitu pelabuhan S pada koordinat 2o LU 1o BT. Kapal 1 membuka rute pelayaran baru yang berbentuk garis lurus sepanjang a satuan jarak dari salah satu pelabuhan yang dilewatinya ke satu pelabuhan yang termasuk rute kapal 2.
Hubungan yang benar antara kuantitas P dan Q berikut berdasarkan informasi yang diberikan adalah…

- informasi yang diberikan tidak cukup untuk memutuskan salah satu dari keempat pilihan tersebut
- P < Q
- P2 – Q2 ≠ 0
- P > Q
- P = Q
Jawaban: E
Pembahasan:
Koordinat lokasi (x,y) = koordinat (garis bujur, garis lintang) pada koordinat Cartesius.

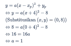
Kedua rute kapal tersebut berbentuk parabola (fungsi kuadrat) yang masing-masing melewati pelabuhan paling selatan atau koordinat titik puncaknya (minimum). Ini berarti, persamaannya dapat ditentukan dengan rumus y = a(x − xp)2 + yp.
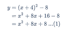
Untuk rute kapal 1:
Kapal melalui pelabuhan A (0,8) dan pelabuhan paling selatan J (xp, yp) = (-4, -8).

Ini berarti, persamaan rute kapal 1 adalah sebagai berikut.

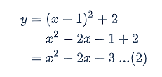
Untuk rute kapal 2:
Kapal melalui pelabuhan K(0,3) dan pelabuhan paling selatan S(xp,yp) = (1, 2).

Ini berarti, persamaan rute kapal 2 adalah sebagai berikut.

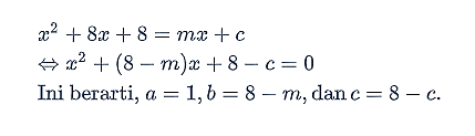
Kapal 1 membuka rute pelayaran baru yang berbentuk garis lurus dari salah satu pelabuhan yang dilewatinya ke satu pelabuhan yang termasuk rute kapal 2. Ini berarti, rute baru tersebut merupakan garis singgung persekutuan rute kapal 1 (kurva y = x2 + 8x + 8) dan rute kapal 2 (kurva y = x2 − 2x + 3 ).
Misalkan garis singgung persekutuan tersebut memotong kurva pertama di titik N dan memotong kurva kedua di D. Ini berarti, panjang rute baru tersebut adalah panjang ruas garis ND.
Misalkan persamaan garis singgung persekutuannya adalah sebagai berikut.
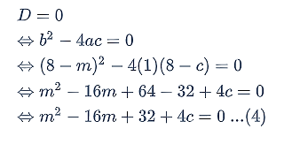
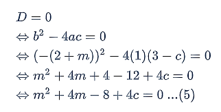
y = mx + c …(3)
Uraian tersebut dapat digambarkan sebagai berikut.

Substitusikan persamaan (3) ke persamaan (1).

Oleh karena y = mx + c menyinggung kurva 1, maka nilai D = 0.

Substitusikan persamaan (3) ke persamaan (2).

Oleh karena y = mx + c menyinggung kurva 2, maka nilai D = 0.

Eliminasi persamaan (4) dan persamaan (5).

Substitusikan nilai m = 2 ke persamaan (5).

Ini berarti, persamaan garis singgungnya adalah sebagai berikut.

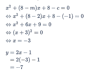
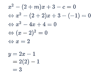
Titik singgung N dapat ditentukan dengan mensubstitusikan nilai m = 2 dan c = −1 ke persamaan x2 + (8 − m)x + 8 – c = 0.

Ini berarti, koordinat titik N(−3,−7).
Titik singgung D dapat ditentukan dengan mensubstitusikan nilai m = 2 dan c = −1 ke persamaan x2 − (2 + m)x + 3 – c = 0.

Ini berarti, koordinat titik D (2, 3).
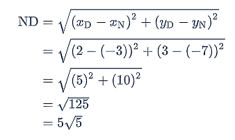
Panjang ruas garis ND dihitung menggunakan rumus jarak antara dua titik N (xN,yN) =(−3,−7) dan D (xD,yD) = (2, 3).

Dengan demikian, panjang rute barunya adalah 5√5 satuan panjang (jarak).
Oleh karena a = panjang ND = 5√5, maka P = a√5 = (5√5)√5 = 25 = Q.
Jadi, hubungan yang benar antara kuantitas P dan Q berdasarkan informasi yang diberikan adalah P = Q.
Latihan Soal 2
Andri memagari sekeliling tamannya yang berbentuk persegipanjang dengan pagar sepanjang 22 m. Luas tamannya tidak kurang dari 28 m2. Jika ia memperluas tamannya menjadi 4 kali semula dengan bentuk yang sebangun dengan taman lama, panjang taman baru yang tidak memenuhi adalah…
- 14 m
- 12 m
- 8 m
- 16 m
- 10 m
Jawaban: D
Pembahasan:
Oleh karena Andri memagari sekeliling tamannya yang berbentuk persegi panjang dengan pagar sepanjang 22 m, maka keliling taman = 22 m.
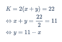
Misalkan panjang dan lebar persegi panjang tersebut masing-masing adalah x cm dan y cm. Ini berarti, keliling persegipanjang (K) dapat dinyatakan sebagai berikut.

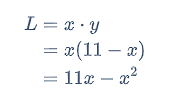
Luas persegi panjang (L) adalah sebagai berikut.

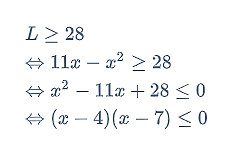
Oleh karena luas taman tidak kurang dari 28 m2, maka:

Pembuat nol pertidaksamaan tersebut adalah x = 4 dan x = 7.
Berikut ini adalah tabel hasil uji interval dari pertidaksamaan tersebut.

Daerah penyelesaiannya adalah sebagai berikut.

Ini berarti, interval yang memenuhi pertidaksamaan x2 − 11x + 28 ≤ 0 adalah 4 ≤ x ≤ 7.
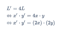
Andri memperluas tamannya menjadi 4 kali semula dengan bentuk yang sebangun dengan taman lama. Ini berarti, ukuran panjang dan lebar semula akan dikali dengan bilangan asli yang sama.

Ini berarti, x′ = 2x dan y′ = 2y.
Interval dari panjang yang baru (x′) adalah sebagai berikut.

Jadi, panjang taman baru yang tidak memenuhi adalah 16 m.
Latihan Soal 3
Jika jumlah 107 bilangan kelipatan 3 yang berurutan adalah 21.293, nilai tengah dan jumlah lima bilangan terkecil pertama dari bilangan-bilangan tersebut adalah…
- 203 dan 246
- 206 dan 249
- 199 dan 230
- 192 dan 215
- 196 dan 210
Jawaban: C
Pembahasan:
Diketahui: Jumlah 107 bilangan kelipatan 3 yang berurutan adalah 21.293. Ini berarti.
- Beda (b)=3
- Banyak bilangan (n)=107
- Jumlah 107 bilangan (S107)=21.293
Ditanya: Jumlah lima bilangan terkecil dari bilangan-bilangan tersebut =…?
Penyelesaian:
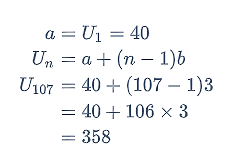
Mula-mula, tentukan suku pertamanya (a)

Dengan demikian, diperoleh:

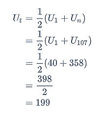
Suku tengah dari bilangan-bilangan tersebut adalah sebagai berikut.

Jumlah lima bilangan terkecil yang pertama adalah sebagai berikut.

Jadi, nilai suku tengah dan jumlah lima bilangan terkecil yang pertama berturut-turut adalah 199 dan 230.
Latihan Soal 4
Dua buah troli P dan Q bergerak saling mendekat dengan kecepatan masing-masing 4 m/s dan 5 m/s. Kedua troli tersebut mengalami tumbukan lenting sebagian. Setelah tumbukan, troli Q berada pada kondisi diam. Jika masing-masing troli memiliki massa 1,5 kg, persentase energi kinetik yang hilang dari troli P adalah…

- 25,65%
- 93,75%
- 21%
- 88,80%
- 31%
Jawaban: B
Pembahasan:
Diketahui:
- massa kedua troli sama, mP = mQ = m = 1,5 kg
- kecepatan troli P, vP = 4 m/s
- kecepatan troli Q, vQ = −5 m/s (tanda negatif menunjukkan arah ke kiri)
- kecepatan troli Q setelah tumbukan, vQ′ = 0 m/s (keadaan diam)
Ditanya: %EK yang hilang dari troli P = …?
Penyelesaian:
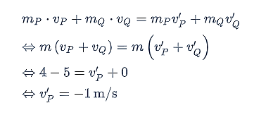
Oleh karena tumbukan kedua troli tersebut lenting sebagian, maka berlaku hukum kekekalan momentum berikut.

Kecepatan troli P setelah tumbukan adalah −1 m/s. Tanda negatif menunjukkan troli bergerak ke arah kiri. Dengan demikian, persentase energi kinetik yang hilang adalah sebagai berikut.

Jadi, persentase energi yang hilang dari troli P adalah 93,75%.
Latihan Soal 5
Pada sebuah percobaan, suatu permukaan logam diisi dengan cahaya monokromatik. Percobaan tersebut diulang dengan panjang gelombang yang berbeda. Ketika panjang gelombang yang digunakan di atas 500 nm, ternyata tidak ada elektron yang keluar. Ketika menggunakan panjang gelombang tertentu λ, ternyata dibutuhkan tegangan 3,1 V untuk menghentikan arus fotolistrik yang terpancar dari lempeng tersebut. Besar panjang gelombang λ tersebut adalah… (h = 6,62 × 10−34 Js)
- λ = 300 nm
- λ = 400 nm
- λ = 523 nm
- λ = 222 nm
- λ = 623 nm
Jawaban: D
Pembahasan:
Diketahui:
- potensial henti, V0 = 3,1 V
- panjang gelombang maksimum, λ0 = 500 nm = 5 × 10−7 m
- kecepatan cahaya, c = 3 × 108 m/s
- h = 6,62 × 10−34 Js
Ditanya: panjang gelombang tertentu, λ= …?
Penyelesaian:
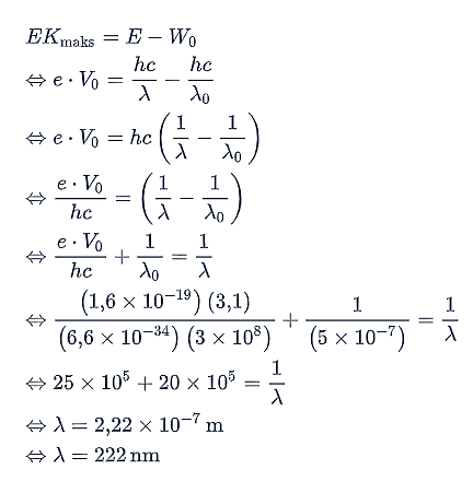
Peristiwa tersebut merupakan salah satu contoh peristiwa efek fotolistrik. Pada efek fotolistrik, berlaku persamaan berikut.

Jadi, panjang gelombang tersebut adalah λ = 222 nm.
Latihan Soal 6
Suatu larutan mengandung 36 g glukosa (Mr = 180) dalam 200 g air. Ke dalam larutan tersebut, ditambahkan 4,75 g MgCℓ2 (Mr = 95) yang terionisasi sempurna dalam air. Jika tetapan kenaikan titik didih air adalah 0,5oC/m, titik didih larutan tersebut setelah penambahan MgCℓ2 adalah…
- 100,875o C
- 101,57o C
- 108,75o C
- 100,785o C
- 107,85o C
Jawaban: A
Pembahasan:
Kenaikan titik didih ditentukan oleh persamaan berikut.
ΔTb = Kb ⋅ m untuk larutan nonelektrolit
ΔTb = Kb ⋅ m ⋅ i untuk larutan elektrolit
Jika larutannya berupa campuran antara larutan elektrolit dan nonelektrolit dengan pelarut yang sama, maka persamaannya menjadi berikut.

Untuk larutan glukosa:

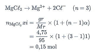
Untuk larutan MgCℓ2:
MgCℓ2 terurai mengikuti persamaan reaksi berikut.

Ini berarti, kenaikan titik didih larutannya adalah sebagai berikut.

Dengan demikian, titik didih larutan tersebut dapat ditentukan dengan persamaan berikut.

Jadi, titik didih larutan tersebut adalah 100,875oC.
Latihan Soal 7
Seorang siswa menguji titik didih tiga senyawa karbon dari golongan yang berbeda. Senyawa yang diuji adalah senyawa A, B, dan C.
Dengan menggunakan informasi terkait gaya antarmolekul yang bekerja pada tiap senyawa, siswa tersebut diminta untuk membuat hipotesis terkait titik didih ketiga senyawa tersebut.
Diketahui informasi sebagai berikut.
(1) Pada senyawa A dan C terdapat ikatan hidrogen.
(2) Pada senyawa B hanya bekerja gaya London.
Bagaimana urutan kenaikan titik didih ketiga senyawa tersebut?
Putuskan apakah pernyataan (1) dan (2) dapat menjawab pertanyaan tersebut.
- Pernyataan (1) saja tidak cukup untuk menjawab pertanyaan, tetapi pernyataan (2) saja cukup.
- Pernyataan (1) saja cukup untuk menjawab pertanyaan dan pernyataan (2) saja cukup.
- Pernyataan (1) dan (2) bersama-sama cukup untuk menjawab pertanyaan, tetapi satu pernyataan saja tidak cukup.
- Pernyataan (1) dan (2) tidak cukup untuk menjawab pertanyaan.
- Pernyataan (1) saja cukup untuk menjawab pertanyaan, tetapi pernyataan (2) saja tidak cukup.
Jawaban: D
Pembahasan:
Berdasarkan pernyataan (1), diketahui bahwa pada senyawa A dan C terdapat ikatan hidrogen. Ikatan hidrogen merupakan gara antarmolekul di mana terdapat interaksi antara atom hidrogen dan atom F, O, atau N dari molekul lain.
Pada senyawa karbon, ikatan hidrogen yang mungkin terjadi adalah ikatan antarmolekul dengan gugus fungsi yang mengandung ikatan O−H, seperti alkohol dan asam karboksilat. Ikatan hidrogen menyebabkan titik didih yang relatif tinggi pada senyawa. Akan tetapi, informasi tersebut tidak cukup untuk menentukan urutan titik didih dari ketiga senyawa.
Berdasarkan pernyataan (2), diketahui bahwa pada senyawa B hanya bekerja gaya London.
Gaya London adalah gaya yang bekerja pada senyawa nonpolar, seperti eter atau keton. Interaksi ini tergolong lemah, sehingga menyebabkan titik didih suatu senyawa rendah. Berdasarkan informasi tersebut, dapat disimpulkan bahwa senyawa B memiliki titik didih paling rendah di antara ketiga senyawa karbon. Akan tetapi, informasi ini belum juga dapat menjawab urutan kenaikan titik didih dari ketiganya.
Jadi, jawaban yang benar adalah pernyataan (1) dan (2) tidak cukup untuk menjawab pertanyaan.
Latihan Soal 8
Deni melakukan pengamatan terhadap preparat pembuluh darah. Hasil pengamatannya adalah sebagai berikut.
- Terdiri atas jaringan otot polos yang tebal.
- Tersusun dari sel-sel endotelium.
- Memiliki serabut elastis yang berjumlah banyak.
Deni berpendapat bahwa pembuluh darah tersebut adalah arteri. Sementara temannya yang bernama Siti berpendapat bahwa pembuluh darah tersebut adalah vena. Setelah ditanyakan kepada asisten praktikum mereka, asisten tersebut memberi petunjuk lain, yaitu…
- merupakan pembuluh darah yang berfungsi membawa darah meninggalkan jantung
- merupakan pembuluh darah yang berfungsi membawa darah kembali ke atrium jantung
- merupakan pembuluh darah yang berfungsi menyaring darah yang terdapat pada ginjal
- merupakan pembuluh darah yang berfungsi menyerap zat makanan dari usus
- merupakan pembuluh darah yang berfungsi mengambil zat-zat dari kelenjar
Jawaban: A
Pembahasan:
Berdasarkan ciri-ciri yang disebutkan soal, pembuluh darah tersebut adalah arteri. Salah satu perbedaan arteri dan vena yang signifikan adalah ketebalan dindingnya. Pembuluh arteri memiliki jaringan otot yang tebal di dindingnya. Otot ini bisa berkontraksi untuk mempersempit ukuran arteri atau berelaksasi untuk memperlebar ukuran arteri sesuai dengan kebutuhan tubuh. Sementara pembuluh vena berdinding lebih tipis, karena lapisan ototnya juga lebih tipis. Dengan demikian, asisten praktikum akan memberi petunjuk yang merupakan fungsi dari arteri, yaitu membawa darah meninggalkan jantung.
Jadi, petunjuk yang akan diberikan asisten tersebut adalah merupakan pembuluh darah yang berfungsi membawa darah meninggalkan jantung.
Latihan Soal 9
Seekor lalat buah jantan bermata merah sayap normal (PPVV) disilangkan dengan seekor lalat buah betina bermata ungu sayap keriput (ppvv). Selanjutnya, dilakukan uji silang terhadap F1, sehingga diperoleh keturunan yaitu lalat mata merah sayap normal sebanyak 350 ekor, lalat mata merah sayap keriput sebanyak 35 ekor, lalat mata ungu sayap normal sebanyak 25 ekor, dan lalat mata ungu sayap keriput sebanyak 625 ekor. Nilai pindah silang dari (NPS) dari peristiwa tersebut adalah…
- 9%
- 6%
- 15%
- 8%
- 7%
Jawaban: B
Pembahasan:
Diketahui:
- Mata merah sayap normal = PPVV
- Mata ungu sayap keriput = ppvv
- Mata merah sayap normal = 350 ekor
- Mata merah sayap keriput = 35 ekor
- Mata ungu sayap normal = 25 ekor
- Mata ungu sayap keriput = 625 ekor
Ditanya: NPS =…?
Penyelesaian:
Perhatikan diagram persilangan berikut.

Jumlah F2:

Jadi, nilai pindah silang dari (NPS) dari peristiwa tersebut adalah 6%.
Latihan Soal 10
Fira diberi tugas untuk membuat kue ulang tahun oleh ibunya. Semua bahan yang diperlukan untuk membuat kue telah disiapkan oleh sang ibu. Fira mulai mengolah bahan-bahan seperti tepung, ragi, dan telur sesuai dengan resep yang ia punya. Setelah Fira selesai mencampur semua bahan dan menjadi adonan, adonan tersebut diletakkan di loyang cetakan kue. Adonan hanya dimasukkan setengah dari loyang cetakan. Kemudian, Fira memanggangnya di oven. Lama-kelamaan, kue tersebut mengembang sampai melebihi batas loyang. Kue tersebut mengembang karena…
- telur yang digunakan mengurangi volume tepung
- adanya gas karbondioksida hasil fermentasi
- ragi yang digunakan dapat mengikat oksigen dari udara
- adanya gas oksigen hasil fermentasi
- adanya gas oksigen dari udara yang terperangkap di dalam kue
Jawaban: B
Pembahasan:
Salah satu bahan baku dalam pembuatan roti yang paling penting adalah ragi atau yeast. Ragi adalah mikroorganisme hidup yang berkembang biak dengan cara memakan gula. Jenis ragi yang biasa digunakan dalam pembuatan roti adalah Saccharomyces cerevisiae. Fungsi utama ragi adalah mengembangkan adonan. Pengembangan adonan terjadi karena ragi menghasilkan gas karbon dioksida (CO2) selama fermentasi.
Gas ini kemudian terperangkap dalam jaringan gluten yang menyebabkan roti bisa mengembang. Komponen lain yang terbentuk selama proses fermentasi adalah asam dan alkohol yang berkontribusi terhadap rasa dan aroma roti. Akan tetapi, alkohol akan menguap dalam proses pemanggangan roti.
Jadi, kue tersebut mengembang karena adanya gas karbon dioksida hasil fermentasi.
Bagaimana Quipperian, apakah kamu sudah mulai paham mengerjakan Prediksi UTBK SBMPTN SAINTEK 2020 di atas? Agar pemahamanmu semakin terasah, sering-seringlah mengerjakan Latihan Soal. Ingat, selangkah lagi kamu akan memasuki PTN impian.
Untuk mendukung kesuksesanmu masuk PTN, Quipper Video hadir dengan Paket Intensif UTBK SBMPTN 2020. Semua kebutuhan sudah tersedia di dalamnya, mulai dari materi persiapan, materi pemantapan, Latihan Soal, bank soal, hingga pembahasan lengkapnya. Jadi, tunggu apalagi. Kuy, gabung Quipper Video sekarang!