
SBMPTN sebentar lagi, soal-soal harus segera dikuasai. Makanya, kamu harus gercep alias gerak cepat. Nah, Bagi kamu yang saat ini masih bingung mencari soal-soal SBMPTN, tampaknya kamu berada di website yang tepat.
Kali ini, Quipper Blog akan membahas Prediksi UTBK SBMPTN SOSHUM 2020. Kabar baiknya, Latihan Soal yang disediakan Quipper Blog, lengkap dengan jawaban beserta pembahasannya, lho. Semakin penasaran? Kuy, segera kerjakan soalnya!
Latihan Soal 1
Sebuah perusahaan besar mengadakan undian untuk acara amal. Nomor undian yang dibagikan terdiri atas 8 digit. Digit pertama merupakan huruf dengan huruf kecil dan kapital dibedakan. Sementara 7 digit lainnya disusun oleh angka 1, 3, dan 6. Misalkan a menyatakan banyak cara menyusun nomor undian dengan angkanya boleh berulang. Sementara b menyatakan banyak cara menyusun nomor undian dengan angka 3 dan 6 masing-masing hanya boleh berulang 4 dan 2 kali. Nilai dari a − 10b = …
- 29.562
- 108.264
- 54.132
- 16.692
- 59.124
Jawaban: E
Pembahasan:
Diketahui:
- nomor undian terdiri atas 8 digit;
- digit pertama merupakan huruf dengan huruf kecil dan kapital dibedakan; serta
- tujuh digit lainnya disusun oleh angka 1, 3, dan 6.
Oleh karena ada 26 huruf kecil yaitu a, b, c, …, z dan 26 huruf kapital yaitu A, B, C, …, Z, maka ada 2(26) = 52 pilihan huruf untuk mengisi digit pertama.
Mula-mula, tentukan nilai a.
Oleh karena a menyatakan banyak cara menyusun nomor undian dengan angkanya boleh berulang dan ada 3 pilihan angka yang tersedia yaitu 1, 3, dan 6, maka untuk digit ke-2 sampai 8, diperoleh:
banyak perulangan = banyak digit = r = 7; dan
banyak unsur yang berulang = banyak angka = n = 3.
Dengan bantuan rumus permutasi berulang P = nr, nilai a dapat ditentukan sebagai berikut.

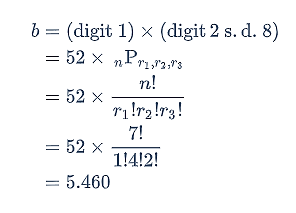
Selanjutnya, tentukan nilai b.
Oleh karena b menyatakan banyak cara menyusun nomor undian dengan angka 3 dan 6 masing-masing hanya boleh berulang 4 dan 2 kali, maka untuk digit 2 sampai 8, diperoleh:
n = banyak digit = 7
r1 = banyak angka 1 = 1
r2 = banyak angka 3 = 4
r3 = banyak angka 6 = 2
Dengan bantuan rumus permutasi unsur yang sama, nilai b dapat ditentukan sebagai berikut.

Ini berarti:

Jadi, nilai dari a − 10b = 59.124.
Latihan Soal 2
Di sebuah peternakan terdapat 32 sapi yang akan disembelih. Pak Anton dan Pak Budi bersedia menyembelih semua sapi dalam waktu 4 jam 40 menit. Pak Budi dan Pak Chandra siap menyembelih semua sapi dalam waktu 2 jam 48 menit. Sementara Pak Anton dan Pak Chandra siap menyembelih semua sapi dalam waktu 2 jam 20 menit. Berdasarkan informasi yang diberikan, pernyataan berikut yang benar adalah…
(1) Dalam 2 jam dapat disembelih 1 sapi jika ketiganya bekerja bersama-sama.
(2) Banyak sapi yang dapat disembelih dalam waktu 1 jam 15 menit adalah 20 ekor jika ketiganya bekerja bersama-sama.
(3) Jika dalam waktu 50 menit, selama 15 menit pertama ketiganya bekerja bersama-sama, kemudian dilanjutkan oleh Pak Anton dan Pak Budi saja, banyak sapi yang dapat disembelih adalah 16 ekor.
- semua pernyataan salah
- (2) saja
- Semua pernyataan benar
- (3) saja
- (1) saja
Jawaban: B
Pembahasan:
Diketahui banyak sapi seluruhnya = 32 ekor.
Mula-mula, hitung waktu Pak Anton, Pak Budi, dan Pak Candra bersama-sama menyembelih 32 sapi.
Misalkan:
a = kecepatan Pak Anton menyembelih 32 sapi
b = kecepatan Pak Budi menyembelih 32 sapi
c = kecepatan Pak Chandra menyembelih 32 sapi
Pak Anton dan Pak Budi bersedia menyembelih semua sapi dalam waktu 4 jam 40 menit (4(60) + 40 = 280 menit). Ini berarti:

Pak Budi dan Pak Chandra siap menyembelih semua sapi dalam waktu 2 jam 48 menit (2(60) + 48 = 168 menit). Ini berarti:

Pak Anton dan Pak Chandra siap menyembelih semua sapi dalam waktu 2 jam 20 menit (2(60) + 20 = 140 menit). Ini berarti:

Jumlahkan persamaan (1), (2), dan (3).

Persamaan (4) berarti jika Pak Anton, Pak Budi, dan Pak Candra bekerja bersama-sama, 32 sapi dapat disembelih dalam 120 menit atau 2 jam. Dengan demikian, pernyataan (1) bernilai salah.
Selanjutnya, uji nilai kebenaran pernyataan (2) dan (3).
Untuk pernyataan (2): Banyak sapi yang dapat disembelih dalam waktu 1 jam 15 menit adalah 20 ekor jika ketiganya bekerja bersama-sama.
Oleh karena 32 sapi dapat disembelih dalam waktu 120 menit, maka dapat dicari nilai x = banyak sapi yang disembelih dalam waktu 1 jam 15 menit (60 + 15 = 75 menit) sebagai berikut.

Nilai x dapat dihitung dengan perbandingan senilai berikut.

Ini berarti, banyak sapi yang dapat disembelih dalam waktu 1 jam 15 menit adalah 20 ekor jika ketiganya bekerja bersama-sama. Dengan demikian, pernyataan (2) benar.
Untuk pernyataan (3): Jika dalam waktu 50 menit, selama 15 menit pertama ketiganya bekerja bersama-sama, kemudian dilanjutkan oleh Pak Anton dan Pak Budi saja, maka banyak sapi yang dapat disembelih adalah 16 ekor.
Misalkan: y = banyak sapi yang dapat disembelih pada 15 menit pertama jika ketiganya bekerja bersama-sama.

Nilai y dapat dihitung dengan perbandingan senilai berikut.

Oleh karena Pak Anton dan Pak Budi bersedia menyembelih semua sapi dalam waktu 4 jam 40 menit atau 280 menit, maka z = banyak sapi yang dapat disembelih pada 50 – 15 = 35 menit dapat ditentukan sebagai berikut.

Nilai z dapat dihitung dengan perbandingan senilai berikut.

Ini berarti, banyak sapi yang disembelih dalam 50 menit tersebut adalah y + z = 4 + 4 = 8 ekor.
Dengan demikian, pernyataan (3) bernilai salah.
Jadi, pernyataan yang benar adalah (2) saja.
Latihan Soal 3
Dalam asasnya, Partai Nasional Indonesia (PNI) mengemukakan bahwa syarat terpenting untuk perbaikan nasib bangsa Indonesia ialah kemerdekaan nasional. Perjuangan PNI menemukan secercah harapan ketika pada 17-18 Desember 1927 berhasil memelopori pembentukan Permufakatan Perhimpunan-Perhimpunan Politik Kebangsaan Indonesia (PPPKI) sebagai wadah bagi organisasi sosial-politik seluruh Indonesia. Hal tersebut bisa menopang keberhasilan perjuangan dari setiap bangsa yang ingin merdeka dan berdaulat karena dapat meningkatkan…
- asimilasi sosial
- integrasi sosial
- keadilan sosial
- interaksi sosial
- invensi sosial
Jawaban: B
Pembahasan:
Pendirian Partai Nasional Indonesia (PNI) bermula dari pemikiran beberapa anggota Algemenee Studie Club di Bandung, yakni Ir. Soekarno, Mr. Sunario, dr. Tjipto Mangunkusumo, serta Iskaq Tjokrohadisurjo. PNI secara resmi berdiri pada tanggal 4 Juli 1927. Dalam asasnya, PNI mengemukakan bahwa syarat terpenting untuk perbaikan nasib bangsa Indonesia ialah kemerdekaan nasional. Oleh karenanya, semua pihak harus menyatukan tekad dan kekuatan untuk memerdekakan Indonesia.
Perjuangan PNI menemukan secercah harapan ketika pada 17-18 Desember 1927 berhasil memelopori pembentukan Permufakatan Perhimpunan-Perhimpunan Politik Kebangsaan Indonesia (PPPKI) sebagai wadah bagi organisasi sosial-politik seluruh Indonesia. Keberhasilan perjuangan bergantung pada integrasi sosial atau persatuan dari segenap elemen bangsa. Dengan persatuan dan kesatuan, apapun hambatan dari pihak kolonial atau penjajahan akan dapat diatasi sehingga kemerdekaan dan kedaulatan yang dicita-citakan organisasi pergerakan nasional dapat lebih cepat tercapai. Terbukti kemudian, pergerakan nasional menjadi lebih terarah dan terorganisasi sejak terintegrasi dengan baik.
Latihan Soal 4
Inca memiliki wilayah yang sangat luas, meliputi wilayah Peru, Bolivia, Cile, Brazil, dan Ekuador. Selain ibu kota yang bertempat di Cuzco, bangsa Inca juga memiliki kota kuno lainnya yang sangat penting, yaitu di Manchupicu. Peninggalan bangsa Inca umumnya berupa bangunan istana megah yang terbuat dari batu dengan ukiran-ukiran besar di dalamnya. Untuk mengatur pemerintahan di wilayahnya tersebut, kerajaan Inca menerapkan sistem otonomi yang bernama Ayllu sehingga kerajaan Inca memiliki…
- kebebasan untuk membuat keputusan sendiri
- kewajiban daerah menyertakan upeti
- kebebasan memperkaya daerah sendiri
- kekuasaan yang bersifat terpusat
- keharusan daerah menyerahkan kedaulatan
Jawaban: A
Pembahasan:
Inca memiliki wilayah yang sangat luas, meliputi wilayah Peru, Bolivia, Cile, Brazil, dan Ekuador. Selain ibukota yang bertempat di Cuzco, bangsa Inca juga memiliki kota kuno lainnya yang sangat penting, yaitu di Manchupicu. Peninggalan bangsa Inca umumnya berupa bangunan istana megah yang terbuat dari batu dengan ukiran-ukiran besar di dalamnya. Untuk mengatur pemerintahan di wilayahnya tersebut, kerajaan Inca menerapkan sistem otonomi yang bernama Ayllu.
Otonomi bermakna adanya wewenang daerah atau wilayah untuk menyelenggarakan pemerintahan sendiri dan membuat berbagai keputusan guna mengatur daerahnya dengan tetap menghormati peraturan perundang-undangan. Dalam sistem pemerintahan modern, bidang politik luar negeri, pertahanan keamanan, peradilan, moneter, fiskal, dan agama dikecualikan dari wewenang otonomi yang dimiliki daerah.
Jadi, kerajaan Inca memiliki kebebasan untuk membuat keputusan sendiri.
Latihan Soal 5
Taman Nasional Lore Lindu (Sulawesi) membentang sekitar 217.991.18 ha dengan ketinggian mencapai 1.000 mdpl. Hutan dan pegunungan merupakan vegetasi utama yang ada di taman nasional di Provinsi Sulawesi Tengah ini. Daerah ini merupakan wilayah peralihan antara zona Asia dan Australia atau yang biasa kita kenal dengan garis Wallace itu sebabnya kawasan taman nasional memiliki jenis flora dan fauna endemik Sulawesi dan bentangan alam yang sangat indah. Agar keberadaan kawasan konservasi didukung oleh masyarakat, meminjam konsep sosiologi, sangat tepat jika mendayagunakan…
- mekanisme arbitrase
- alur mediasi
- modal ekonomi
- manajemen konflik
- modal sosial
Jawaban: E
Pembahasan:
Taman Nasional Lore Lindu (Sulawesi) membentang sekitar 217.991.18 ha dengan ketinggian mencapai 1.000 mdpl. Hutan dan pegunungan merupakan vegetasi utama yang ada di taman nasional di Provinsi Sulawesi Tengah ini. Daerah ini merupakan wilayah peralihan antara zona Asia dan Australia atau yang biasa kita kenal dengan garis Wallace itu sebabnya kawasan taman nasional memiliki jenis flora dan fauna endemik Sulawesi dan bentangan alam yang sangat indah. Agar keberadaan kawasan konservasi didukung oleh masyarakat, meminjam konsep sosiologi, sangat tepat jika mendayagunakan modal sosial (social capital).
Salah satu definisi yang dianggap cukup mewakili dikemukakan oleh Fukuyama (1995) bahwa modal sosial merupakan serangkaian nilai-nilai atau norma-norma informal yang dimiliki bersama di antara para anggota suatu kelompok masyarakat yang memungkinkan terjalinnya kerja sama. Modal sosial diyakini sebagai salah satu komponen utama penggerak kebersamaan, mobilitas ide, saling percaya, dan saling menguntungkan untuk mencapai kemajuan bersama.
Latihan Soal 6
Perhatikan gambar berikut ini.

Fenomena yang tertera pada bentuk interpretasi pada citra tersebut sering ditemui pada…
- wilayah hulu dari sungai induk
- wilayah hilir dari sungai induk
- daerah aliran sungai secara vertikal
- wilayah dengan kemiringan lereng di atas 30o
- wilayah hutan lindung
Jawaban: B
Pembahasan:
Interpretasi citra adalah cara yang dilakukan mengkaji foto udara dan atau citra dengan maksud untuk mengidentifikasi objek dan menilai arti pentingnya objek tersebut. Gambar pada soal merupakan gambar yang diambil menggunakan citra satelit google earth, yang berfungsi untuk dapat melihat pertumbuhan dan perkembangan suatu wilayah dari atas untuk dapat melihat pola-pola yang terbentuk dan berkaitan dengan penentuan kebijakan dalam hal pembangunan wilayah berikutnya.
Untuk dapat menginterpretasi fenomena geosfer yang berkelok-kelok tersebut, dapat menggunakan beberapa unsur interpretasi citra berupa bentuk yang mudah terlihat dan juga unsur rona, yakni tingkat kecerahan yang muncul dari objek. Rona cerah yang timbul pada garis di foto udara sesuai dengan sifat perairan, di mana air cenderung memantulkan sinar kembali.
Fenomena yang ingin digambarkan adalah daerah aliran sungai, sedangkan DAS dengan ciri berkelok dapat dengan mudah ditemui pada wilayah hilir suatu sungai induk, karena mengalami erosi secara horizontal dengan arus yang lambat.
Latihan Soal 7
Kohesi kelompok mengacu pada adanya sejumlah faktor yang memengaruhi anggota kelompok untuk mempertahankan keanggotaannya. Kohesi amat penting guna menyatukan beragam anggota menjadi satu kelompok. Bila dihubungkan dengan bahasan psikologi sosial, ada sejumlah faktor yang memengaruhi tinggi atau rendahnya kohesi kelompok, kecuali…
- kemampuan kelompok untuk memenuhi kebutuhan anggotanya
- kejelasan tujuan kelompok
- kesesuaian karakteristik kelompok dengan nilai pribadi bangsa
- kejelasan langkah-langkah pencapaian tujuan
- keyakinan bahwa banyak kelompok yang juga menguntungkan selain kelompoknya
Jawaban: E
Pembahasan:
Kohesi kelompok mengacu pada adanya sejumlah faktor yang memengaruhi anggota kelompok untuk mempertahankan keanggotaannya. Kohesi amat penting guna menyatukan beragam anggota menjadi satu kelompok. Bila dihubungkan dengan bahasan Psikologi Sosial, ada sejumlah faktor yang memengaruhi tinggi atau rendahnya kohesi kelompok, di antaranya, ialah kejelasan tujuan kelompok, kejelasan langkah-langkah pencapaian tujuan, kesesuaian karakteristik kelompok dengan nilai pribadi anggota, kemampuan kelompok untuk memenuhi kebutuhan anggotanya, jalinan kerja sama antaranggota, serta keyakinan bahwa kelompok bersangkutan lebih menguntungkan dibanding kelompok lainnya.
Semakin tinggi kohesi kelompok, maka anggota-anggotanya pun kian nyaman berada di dalam kelompok, menyukai anggota lainnya, lebih terbuka mengemukakan ide atau gagasan positif, dan bersedia berkontribusi maksimal bagi kelompok.
Jadi, faktor yang tidak memengaruhi tinggi atau rendahnya kohesi adalah keyakinan bahwa banyak kelompok yang juga menguntungkan selain kelompoknya.
Latihan Soal 8
Perhatikan penggalan artikel berikut.
Para pedagang di pasar penampungan Blok A, Kebayoran Baru, Jakarta Selatan meminta pemerintah memindahkan mereka ke los D. Hal ini sekaligus menolak usulan pihak koperasi Pasar Blok A sebelumnya, yakni memindahkan sementara para pedagang korban kebakaran ke kawasan Pondok Pinang, Kebayoran lama, Jakarta Selatan.
“Kami maunya malah dipindahkan di kawasan los D, kalau Pondok Pinang terlalu jauh,” ujar Turas (52), pedagang ayam potong yang menjadi korban kebakaran saat ditemui di pasar penampungan Blok A, Jumat (8/3/2019).
Sumber: https://megapolitan.kompas.com
Bila dihubungkan dengan bentuk mobilitas sosial, penggalan artikel di atas menunjukkan berlangsungnya…
- mobilitas antargenerasi ke atas
- mobilitas lateral
- mobilitas sosial vertikal
- sanskritisasi
- mobilitas sosial horizontal
Jawaban: B
Pembahasan:
Mobilitas lateral merupakan perpindahan geografis antarlingkungan setempat, kota, dan desa. Perpindahan ini bisa mengakibatkan mobilitas sosial horizontal maupun vertikal. Contohnya, para pedagang di pasar penampungan Blok A, Kebayoran Baru, Jakarta Selatan meminta pemerintah memindahkan mereka ke los D.
Jadi, penggalan artikel di atas menunjukkan berlangsungnya mobilitas lateral.
Latihan Soal 9
Pada tahun 2009, Indonesia kurang bergantung pada ekspor sehingga kemungkinan akan dapat menahan dampak krisis global 2008 lebih baik daripada negara tetangga. Tetapi karena banyak dari 240 juta warganya hidup di sekitar garis kemiskinan, membuat kelesuan ekonomi apa pun akan membawa dampak bagi Indonesia. Penurunan ekspor dan perlambatan pertumbuhan investasi sebagai sumber pertumbuhan ekonomi terus terjadi pada tahun 2009. Untuk menjaga kemerosotan pertumbuhan ekonomi, konsumsi masyarakat diupayakan untuk tetap dijaga dengan menjaga daya beli masyarakat melalui pengendalian inflasi dan berbagai program pengurangan kemiskinan. Di samping itu, efektivitas pengeluaran pemerintah juga ditingkatkan dengan program stimulus untuk menjaga daya beli masyarakat dan peningkatan investasi.
Diadaptasi dari: https://www.bi.go.id
Pengembangan kebijakan moneter yang dapat dievaluasi Bank Indonesia untuk menjaga daya beli masyarakat dan mengendalikan inflasi tersebut salah satunya ialah dengan…
- menerapkan uang primer (base money) sebagai sasaran kebijakan moneter
- menaikkan nilai jual saham dan obligasi
- menentukan kerangka kerja dalam Inflation Targeting Framework (ITF)
- meningkatkan tarif pajak penghasilan dan pajak bangunan
- mengintegrasikan kebijakan moneter dengan kebijakan fiskal yang sudah ditentukan
Jawaban: C
Pembahasan:
Berpijak pada pengalaman krisis keuangan global 2008/2009, salah satu pelajaran penting yang mengemuka adalah diperlukannya fleksibilitas yang cukup bagi bank sentral untuk merespons perkembangan ekonomi yang semakin kompleks dalam memengaruhi stabilitas ekonomi makro, dalam hal ini ialah pengendalian inflasi termasuk di dalamnya menjaga daya beli masyarakat. Berdasarkan perkembangan tersebut, Bank Indonesia membentuk kerangka kerja yang dinamakan Inflation Targeting Framework (ITF) (yang kemudian diperkuat menjadi flexible ITF), dengan penggunaan suku bunga sebagai sasaran operasional.
Kerangka kerja ini diterapkan secara formal sejak 1 Juli 2005, setelah sebelumnya menggunakan kebijakan moneter yang menerapkan uang primer (base money) sebagai sasaran kebijakan moneter. ITF adalah sebuah pendekatan dalam kebijakan moneter yang ditandai dengan pengakuan eksplisit bahwa inflasi adalah tujuan utama dari kebijakan moneter.
Flexible ITF dibangun dengan tetap berpijak pada elemen-elemen penting ITF yang telah terbangun. Elemen-elemen pokok ITF termasuk pengumuman sasaran inflasi kepada publik, kebijakan moneter yang ditempuh secara forward looking, dan akuntabilitas kebijakan kepada publik tetap menjadi bagian inherent dalam Flexible ITF. Kerangka Flexible ITF dibangun berdasarkan 5 (lima) elemen pokok.
- Pertama, inflasi tetap merupakan target utama kebijakan moneter.
- Kedua, pengintegrasian kebijakan moneter dengan kebijakan makroprudensial untuk memperkuat transmisi kebijakan dan mendukung stabilitas makroekonomi.
- Ketiga, penguatan kebijakan nilai tukar dan arus modal dalam mendukung stabilitas makroekonomi.
- Keempat, penguatan koordinasi kebijakan antara Bank Indonesia dengan pemerintah baik untuk pengendalian inflasi maupun stabilitas sistem keuangan.
- Kelima, penguatan komunikasi kebijakan sebagai bagian dari instrumen kebijakan.
Latihan Soal 10
Pada tanggal 1 Januari 2018, total aset perusahaan A adalah Rp125.000.000 dan pada tanggal 31 Desember 2018 total aset perusahaan tersebut adalah Rp145.000.000. Pada tanggal 1 Januari 2019 jumlah kewajiban perusahaan A adalah Rp110.000.000 dan pada tanggal 31 Desember 2019 jumlah kewajiban perusahaan A adalah Rp115.000.000,00. Hal yang terjadi dengan perubahan ekuitas pemegang saham perusahaan A untuk tahun 2013 adalah…
- tidak terjadi perubahan ekuitas
- ekuitas meningkat sebesar Rp15.000.000
- ekuitas meningkat sebesar Rp30.000.000
- ekuitas turun sebesar Rp15.000.000
- ekuitas turun sebesar Rp30.000.000
Jawaban: B
Pembahasan:
Dalam analisis neraca pada laporan keuangan, nilai aset harus sama dengan nilai kewajiban dan ekuitas. Artinya, untuk menentukan seberapa besar perubahan ekuitas perlu dilakukan penghitungan terhadap keseimbangan aktiva dan pasiva. Adapun penghitungannya adalah sebagai berikut.

Jadi, perubahan ekuitas pemegang saham perusahaan A untuk tahun 2013 adalah ekuitas meningkat sebesar Rp15.000.000.
Bagaimana Quipperian, apakah kamu sudah mulai paham mengerjakan Prediksi UTBK SBMPTN SOSHUM 2020 di atas? Agar pemahamanmu semakin terasah, sering-seringlah mengerjakan Latihan Soal. Ingat, selangkah lagi kamu akan memasuki PTN impian.
Untuk mendukung kesuksesanmu masuk PTN, Quipper Video hadir dengan Paket Intensif UTBK SBMPTN 2020. Semua kebutuhan sudah tersedia di dalamnya, mulai dari materi persiapan, materi pemantapan, Latihan Soal, bank soal, hingga pembahasan lengkapnya. Jadi, tunggu apalagi. Kuy, gabung Quipper Video sekarang!