Kamu termasuk orang yang menganggap matematika itu susah? Nah, mungkin kamu tidak pernah sadar, kalau salah satu masalah dalam pembelajaran Matematika adalah banyaknya rumus yang digunakan. Satu hal lagi, sistem pembelajaran di Indonesia masih kental dengan budaya menghapal. Setiap ujian, siswa diwajibkan untuk membekali diri dengan hapalan rumus topik yang akan ditanyakan pada saat ujian. Tentunya, ini menjadi kendala, karena karakteristik otak kita akan sulit untuk menghapal sesuatu yang jarang digunakan dalam kehidupan sehari-hari. Tidak seperti nomor handphone atau pacar kita. Otak kita pun sulit untuk menghapal sesuatu yang tidak jelas manfaatnya dalam kehidupan kita.
Sisi lain, kita tidak bisa menuntut kepada sekolah atau kepada guru untuk membuatkan ringkasan rumus. Ya, semata-mata untuk menjawab soal ujian. Walaupun, menurut hemat penulis, yang paling penting dalam setiap pembelajaran matematika atau sains bukanlah apa yang dihapal, sih. Tapi, bagaimana menggunakan informasi untuk bisa memecahkan masalah.
“Karena, inti dari pembelajaran matematika adalah bagaimana siswa terampil dalam memecahkan masalah dengan sistematis.”
Jadi, titik tekannya adalah penggunaan informasi bukan untuk menghapal informasi. Karenanya, daripada sibuk menyalahkan sistem pendidikan. Apalagi terjadi kesalahan ketika siswa tidak bisa menghapal rumus. Justru yang terjadi adalah siswa membuat kertas contekan atau berbuat kecurangan ketika ujian dan ini jelas tidak baik. Karena, menjadi cikal bakal korupsi di negeri ini.
Bagaimana caranya adik-adik bisa menghapal rumus dengan baik? Sehingga tidak perlu mual-mual dan stres ketika guru mengumumkan akan adanya ujian. Karena, siswa belum hapal rumus yang terkait dengan topik ujian. Stres ketika ujian tentunya tidak baik terhadap hasil ujian. Stress akan menutup akal pikiran Quipperian. Dan, membuat soal yang mudah menjadi sulit, serta membuat sulit menjadi semakin sulit. Karenanya, sangat penting jika adik-adik menguasai dan menghapal dengan baik rumus-rumus yang ada.
Di bawah ini adalah tips-tips bagaimana menghapal rumus matematika agar mudah dihapal dan hapalannya bertahan lama:
1. Mengerti bagaimana rumus itu dihasilkan dan apa manfaatnya
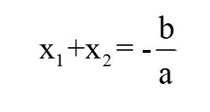
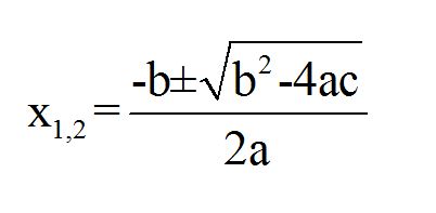
Suatu rumus yang diajarkan oleh guru, tentunya tidak ujug-ujug ada, tapi ada suatu proses yang mengantarkan sehingga rumus itu terbentuk. Rumus sebenarnya adalah cara cepat untuk mengatasi masalah. Suatu masalah umum dalam matematika selalu dapat dicarikan rumus cepatnya, agar kita bisa mengefisienkan waktu pengerjaan dan memiliki waktu yang lebih banyak untuk mengatasi masalah yang lebih rumit. Sebagai contoh tahukah adik-adik darimana asalnya salah satu rumusdalam persamaan kuadrat ax2+bx+c=0 yang memiliki akar x1 dan x2.
Rumus di atas berasal dari penjumlahan akar-akar rumus abc yaitu:
Dengan rumus x1+x2 = – b/2 kita tidak perlu repot-repot mencari siapa x1 dan x2 untuk menjadi x1 + x2 tetapi cukup hanya menggunakan koefisien-koefisien dari ax2+bx+c=0.
Karenanya, di dalam kelas, kalian perlu menumbuhkan sifat ingin tahu dan kritis terhadap setiap materi matematika yang diajarkan di dalam kelas. Sering-sering bertanya dari mana, kenapa dan untuk apa rumus matematika itu diajarkan.
2. Sering-sering berlatih dan menggunakan rumus tersebut
Ketika kita sudah mengetahui dari mana dan untuk apa rumus tersebut, sering-seringlah kita meggunakan rumus dalam mengerjakan soal-soal latihan. Semakin sering kalian menggunakan rumus tersebut, semakin kuat rumus itu tingga di dalam ingatan. Sebagai contoh, tidak pernah ada orang lupa nama ketika ditanya namanya oleh orang lain, karena nama adalah sesuatu yang sering digunakan dalam kehidupan sehari-hari. Buatlah ringkasan rumus-rumus matematika untuk topik-topik tertentu, kemudian sering-seringlah dilihat pada saat kita sedang mengerjakan latihan-latihan soal.
3. Ajarkan apa yang sudah diketahui kepada kawan-kawan terdekat kalian
Adik-adik mungkin kagum melihat ada guru yang bisa hapal rumus yang sedemikian banyak tanpa ada kesalahan atau lupa. Hal tersebut wajar aja sih, karena guru setiap hari, bulan, dan tahun berulang-ulang mengajarkan materi tersebut kepada murid-muridnya. Karenanya, adik-adik sering-seringlah berbagi rumus-rumus kepada teman sekelas, dan mengajarkan kepada mereka cara penggunaanya. Semakin sering suatu rumus diajarkan kepada kawan sekelas, semakin kuat rumus itu melekat dalam ingatan.
4. Gunakan Teknik untuk memudahkan dalam menghapal rumus-rumus matematika
Beberapa topik matematika dipenuhi dengan formula-formula, seperti Trigonometri. Ada teknik tertentu dalam menghapalnya. Otak kanan kita biasanya akan mudah menghapal sesuatu yang lucu, unik, dan (maaf) sedikit vulgar. Pernah kan, adik-adik mengalami suatu peristiwa yang lucu dan unik pada saat kecil? Pasti pernah, deh. Kalau ditanya bagaimana detailnya, kalian tentunya dapat menjelaskan secara detail kronologis kejadiannya, siapa saja yang terlibat, bahkan pakaian yang digunakan pada saat kejadian itu terjadi. Padahal, kalian tidak secara sengaja untuk menghapal kejadian tersebut. Hal ini dikarenakan otak kanan kita menyerap langsung kejadian-kejadian yang lucu, unik, dan vulgar. Berikut ini adalah teknik-tekniknya:
- Teknik plesetan
Dalam trigonometri ada teori tentang fungsi trigonometri dengan sudut negatif, yaitu:
- Sin (-α) = -sin α
- Tan (-α)= – tan α
- Cos (-α) = cos α
Kalian bisa melihat hanya sin dan tan saja yang negatifnya masih ada. Sedangkan, sin tan bisa kalian plesetkan sin tan menjadi SETAN. Bila kalian hubungkan dengan sifat SETAN yang selalu negatif, maka kalian bisa katakan SETAN selalu NEGATIF (baca: Jahat).
- Membuat Singkatan
Teknik membuat singkatan pun dapat digunakan untuk menghapal rumus matematika. Misalnya dalam operasi bilangan. Urutan eksekusi operasi bilangan adalah:
- Kurung
- Kali atau bagi
- Tambah atau kurang
Nah, untuk memudahkan, dapat disingkat KU-KABA-TAKU, untuk membuat menjadi lebih lucu maka KU-KABA-TAKU dapat dibuat kepanjangan kata lucunya seperti Kumis: KAmu BAu TAi KUcing.
- Membuat kalimat-kalimat unik dari awal huruf
Teknik ini pun dikenal ampuh untuk menghapal rumus-rumus yang panjang. Ini penggunaan contoh dalam trigonometri:
Cos(α±β) = Cosα . Cos β ∓ Sinα . Sinβ
Perhatikan huruf awalnya. Yaitu C, C C, S, S. Contoh kalimat unik yang bisa dibuat dari rumus di atas adalah
Coki Cowo Centil Sakit Saraf
Karena sakit sarat semuanya kebalik, yang + jadi – dan yang – jadi +
Semakin unik dan lucu suatu kalimat yang adik-adik buat maka akan semakin mudah kalimat tersebut diingat.
- Melihat pola unik setiap rumus
Terkadang sekumpulan rumus memiliki pola yang unik, sebagai contoh perhatikan rumus dasar integral trigonometri berikut:
Pola uniknya adalah sin dan cos selalu berkebalikan. Maka, hal ini mudah untuk diingat. Tapi, bagaimana dengan tanda plus-minusnya? Ternyata, pola mudahnya ada pada integral sin, perhatikan sin mengandung in sebagaimana min mengandung min. Maka kesimpulannya integral sin pasti min. Begitu pula integral cos, perhatikan cos mengandung cos sebagaimana positif mengandung pos, maka kesimpulannya integral cos pasti positif, walaupun sedikit “maksa” tidak masalah apabila dengan teknik ini rumusnya semakin mudah diingat.
Nah, itulah keempat tips dan teknik menghapal rumus matematika. Mudah-mudahan, sedikit atau banyaknya dapat membantu kalian menghapal rumus-rumus dalam matematika. Hanya saja, jangan berhenti menghapal, tapi jago juga dalam menggunakan rumus tersebut.
Ferry | Math Magician
Matematika tidaklah mudah. Inilah sebabnya Pak Ferry hadir di Quipper Video. Lewat magic-nya, Matematika menjadi pelajaran yang tidak sesusah seperti apa yang dibayangkan. Pak Ferry kini aktif menyusun semua materi menyenangkan di Quipper Video, sehingga siswa bisa bersenang-senang sambil belajar konsep Matematika yang sulit. Jadi, Matematika tidak selalu mudah, tetapi pasti bisa lebih menyenangkan dipelajari!




