
Foto: pixabay.com
Hai Quipperian, gimana stay at home-nya? Mudah-mudahan masih betah dan sehat terus, ya. Apakah kamu sudah siap belajar lagi materi Matematika Soshum untuk SBMPTN? Be ready, karena dalam pembahasan ini Quipper Blog akan mengupas tuntas materi matematika soshum khususnya statistika, peluang, dan kaidah pencacahan.
Siapa di antara kamu yang pernah menjadi juara di kelas? Saat menjadi juara kelas, sudah pasti kamu mendapatkan nilai tertinggi di kelas. Artinya, nilaimu di atas rata-rata nilai kelas.
Untuk menentukan nilai tertinggi, guru harus mengurutkan perolehan nilai siswanya. Sedangkan untuk menentukan nilai rata-rata kelas, guru biasanya akan menjumlahkan seluruh nilai kelas dibagi dengan jumlah murid di kelas tersebut.
Nah, proses itu merupakan salah satu peran pemusatan data yang akan kamu pelajari di artikel kali ini. Ingin tahu selengkapnya? Check this out!
Pengertian Statistika

Foto: pexels.com
Statistika adalah ilmu yang mempelajari cara pengumpulan data, penyajian data, pengolahan data, sampai penarikan kesimpulan. Biasanya, pengumpulan data dilakukan melalui observasi, angket, wawancara, dan membaca buku pengetahuan. Data yang diperoleh bisa ditampilkan dalam bentuk tabel, diagram, histogram, dan sebagainya.
Ukuran Pemusatan Data

Foto: pixabay.com
Ukuran pemusatan data adalah nilai-nilai yang cenderung mengarah ke pusat data yang telah terurut. Urutan data tersebut dapat mewakili data yang ada. Ukuran pemusatan data dibagi menjadi tiga jenis, yaitu sebagai berikut.
1. Mean (Rata-Rata)
Mean atau rata-rata adalah semua nilai datum dibagi banyaknya datum. Datum adalah data yang diperoleh dari hasil penelitian atau observasi. Mean atau rata-rata dibagi menjadi tiga juga, yaitu sebagai berikut.
a. Rata-rata data tunggal
Secara matematis, rata-rata data tunggal dirumuskan sebagai berikut.

b. Rata-rata data berkelompok
Secara matematis, rata-rata data berkelompok dirumuskan sebagai berikut.

c. Rata-rata gabungan
Secara matematis, rata-rata gabungan dirumuskan sebagai berikut.

2. Median
Median disebut juga kuartil kedua, yaitu nilai tengah suatu data yang sudah diurutkan mulai terkecil sampai terbesar. Median dibagi menjadi dua jenis, yaitu sebagai berikut.
a. Median data tunggal
Untuk n ganjil, median dari suatu data dirumuskan sebagai berikut.

Untuk n genap, median suatu data dirumuskan sebagai berikut.

b. Median data berkelompok
Secara matematis, median data berkelompok dirumuskan sebagai berikut.

3. Modus
Modus adalah nilai yang sering muncul pada sekelompok data. Modus dibagi menjadi dua jenis, yaitu modus data tunggal dan modus data berkelompok.
a. Modus data tunggal
Untuk data tunggal, kamu bisa mencari datum yang paling sering muncul atau paling banyak muncul. Misalnya pada data 1, 1, 2, 2, 2, 2, 3, 3, 3, 4, 8 modusnya adalah 2 karena paling sering muncul, yaitu sebanyak 4 kali.
b. Modus data berkelompok
Secara matematis, modus data berkelompok dirumuskan sebagai berikut.

Ukuran Letak Data

Foto: pixabay.com
Ukuran letak data didasarkan pada kedudukan suatu data di dalamnya. Ukuran letak data dibagi menjadi tiga, yaitu sebagai berikut.
1. Kuartil
Kuartil adalah nilai data terurut yang membagi data menjadi empat bagian sama besar. Kuartil dibagi lagi menjadi tiga jenis, yaitu sebagai berikut.
a. Kuartil pertama (kuartil bawah)
Untuk data tunggal, kuartil pertama dirumuskan sebagai berikut.

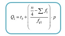
Untuk data berkelompok, kuartil pertamanya dirumuskan sebagai berikut.

b. Kuartil kedua (kuartil tengah/ median)
Untuk data tunggal, kuartil tengahnya dirumuskan sebagai berikut.

Untuk data berkelompok, kuartil tengahnya dirumuskan sebagai berikut.

c. Kuartil ketiga (kuartil ketiga)
Untuk data tunggal, kuartil ketiganya dirumuskan sebagai berikut.

Untuk data berkelompok, kuartil ketiganya dirumuskan sebagai berikut.


2. Desil
Jika sebelumnya Quipperian sudah belajar tentang kuartil yang membagi data menjadi empat bagian sama besar, maka kali ini kamu akan belajar desil. Desil membagi data terurut menjadi 10 bagian sama besar. Adapun rumus untuk menentukan desil adalah sebagai berikut.
a. Desil data tunggal
Secara matematis, desil data tunggal dirumuskan sebagai berikut.

b. Desil data berkelompok
Secara matematis, desil data berkelompok dirumuskan sebagai berikut.

3. Persentil
Persentil berasal dari kata persen atau per seratus. Artinya, persentil mampu membagi data terurut menjadi 100 bagian sama besar. Persentil dibagi menjadi dua, yaitu sebagai berikut.
a. Persentil data tunggal
Secara matematis, persentil data tunggal dirumuskan sebagai berikut.

b. Persentil data berkelompok
Secara matematis, persentil data berkelompok dirumuskan sebagai berikut.

Ukuran Penyebaran Data

Foto: pixabay.com
Untuk mengetahui besarnya penyimpangan suatu data dari rata-rata, kamu perlu mempelajari ukuran penyebaran data, yang meliputi jangkauan, jangkauan antarkuartil, simpangan kuartil, simpangan rata-rata, ragam, dan simpangan baku.
1. Jangkauan (range)
Jangkauan merupakan selisih antara data tertinggi dan data terendah. Secara matematis, dirumuskan sebagai berikut.
![]()
2. Jangkauan Antarkuartil
Jangkauan antarkuartil merupakan selisih antara kuartil atas dan bawah. Secara matematis, dirumuskan sebagai berikut.
![]()
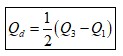
3. Simpangan Kuartil (Jangkauan Semi Antarkuartil)
Simpangan kuartil adalah simpangan yang nilainya setengah dari jangkauan kuartil. Secara matematis, dirumuskan sebagai berikut.

4. Simpangan Rata-Rata (Deviasi Rata-Rata)
Simpangan rata-rata bisa diterapkan pada data tunggal maupun berkelompok.
a. Simpangan rata-rata data tunggal dirumuskan sebagai berikut.

b. Simpangan rata-rata data berkelompok dirumuskan sebagai berikut.

5. Ragam
Ragam bisa digunakan pada data tunggal maupun berkelompok.
a. Ragam data tunggal dirumuskan sebagai berikut.

b. Ragam data berkelompok dirumuskan sebagai berikut.

6. Simpangan Baku
Simpangan baku dibagi menjadi dua, yaitu simpangan baku data tunggal dan berkelompok.
a. Simpangan baku data tunggal dirumuskan sebagai berikut.

b. Simpangan baku data berkelompok dirumuskan sebagai berikut.

Kaidah Pencacahan

Foto: pixabay.com
Secara umum, kaidah pencacahan dibagi menjadi lima bagian, yaitu sebagai berikut.
1. Kaidah Perkalian
Suatu kejadian yang berlangsung selama k kali dan masing-masing kejadian dilambangkan sebagai n1, n2, n3, n4, …, nk akan berlaku persamaan berikut.

2. Kaidah Penjumlahan
Jika Quipperian menemukan dua kejadian atau lebih yang tidak bisa berlangsung secara bersamaan, banyaknya cara keseluruhan yang harus Quipperian gunakan adalah sebagai berikut.

3. Notasi Faktorial
Faktorial adalah bentuk perkalian bilangan asli secara berurutan. Secara matematis, dirumuskan sebagai berikut.

4. Permutasi
Apakah Quipperian sudah pernah belajar tentang permutasi? Permutasi adalah penyusunan unsur dengan memperhatikan urutan. Rumus yang harus kamu ingat saat belajar permutasi adalah sebagai berikut.
a. Permutasi n unsur
Secara matematis, permutasi n unsur dirumuskan sebagai berikut.
![]()
b. Permutasi r unsur dari n unsur

c. Permutasi dari n unsur dengan beberapa objek yang sama, misalnya m1, m2, dan seterusnya dirumuskan sebagai berikut.

d. Permutasi siklis dari n unsur dirumuskan sebagai berikut.

e. Permutasi berulang dirumuskan sebagai berikut.

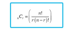
5. Kombinasi
Pada prinsipnya, kombinasi tidaklah sama dengan permutasi. Jika pada permutasi urutan harus diperhatikan, maka pada kombinasi urutan tidak perlu diperhatikan. Banyaknya kombinasi r unsur dari n unsur dirumuskan sebagai berikut.

Peluang Suatu Kejadian

Foto: pixabay.com
Materi peluang merupakan salah satu materi yang erat dengan kehidupan sehari-hari. Contohnya saat cuaca mendung ada dua peluang yang mungkin terjadi, yaitu peluang turun hujan atau peluang tidak turun hujan. Lalu, apa saja yang harus kamu pelajari di materi ini?
1. Ruang Sampel (S) dan Kejadian (A)
S = himpunan semua hasil yang mungkin dalam percobaan
A = himpunan bagian dari ruang sampel
2. Peluang Kejadian
Peluang suatu kejadian A menunjukkan pembagian antara kejadian A dan banyaknya kemungkinan hasil yang terjadi (ruang sampel). Secara matematis, dirumuskan sebagai berikut.

3. Frekuensi Harapan
Siapa sih yang tidak memiliki harapan? Hmm, frekuensi saja punya harapan.
Frekuensi harapan menunjukkan banyaknya harapan munculnya kejadian A yang berpeluang P(A). Percobaan untuk memunculkan kejadian A dilakukan sebanyak f kali. Secara matematis, frekuensi harapan dirumuskan sebagai berikut.

Keterangan:
F(A) = frekuensi harapan kejadian A;
P(A) = peluang kejadian A; dan
f = banyaknya percobaan.
4. Peluang Komplemen
Peluang komplemen A dinotasikan sebagai P(Ac). Secara matematis, peluang komplemen dirumuskan sebagai berikut.

5. Peluang Kejadian Majemuk
Peluang kejadian majemuk dibagi menjadi empat bagian, yaitu sebagai berikut.
a. Peluang kejadian saling lepas
Jika kejadian A dan B tidak bisa terjadi secara bersamaan, maka peluang kejadian A dan B saling lepas. Secara matematis, dirumuskan sebagai berikut.

b. Peluang kejadian yang tidak saling lepas
Peluang jenis ini merupakan kebalikan dari peluang saling lepas.

c. Peluang kejadian saling bebas
Jika kejadian A tidak dipengaruhi oleh kejadian B, maka hubungan antara keduanya adalah peluang kejadian A dan B saling bebas. Perhatikan persamaan berikut.
![]()
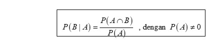
d. Peluang kejadian bersyarat
Munculnya kejadian harus didahului oleh kejadian lain. Peluang bersyarat dibagi menjadi dua, yaitu sebagai berikut.
- Peluang kejadian A syaratnya B terjadi terlebih dahulu

- Peluang kejadian B syaratnya A terjadi terlebih dahulu

Sudah paham kan dengan pembahasan di atas? Untuk mengasah pemahamanmu tentang materi statistika, kaidah pencacahan, dan peluang simak contoh soal berikut ini.
Contoh Soal 1
Dalam suatu kelas terdapat 32 orang siswa yang mengikuti ujian matematika. Ani dan Agus secara berurutan mendapatkan nilai tertinggi dan terendah. Nilai rata-rata ujian matematika kelas tersebut adalah 6. Apabila nilai Ani dan Agus tidak disertakan maka rata-ratanya berkurang 0,1. Nilai Ani dan Agus yang mungkin berturut-turut adalah…
- 9 dan 4
- 8 dan 7
- 10 dan 5
- 8 dan 6
- 9 dan 6
Jawaban: C
Contoh Soal 2
Pada sebuah acara undian berhadiah seorang panitia akan menyusun kupon undian bernomor yang terdiri dari angka 1, 2, 2, 5, dan 7. Jika kupon tersebut disusun berdasarkan kode terkecil sampai terbesar, maka kupon dengan kode lebih dari 52000 sebanyak…
- 6
- 15
- 18
- 12
- 21
Jawaban: E
Apakah jawaban Quipperian sama dengan kunci di atas? Jika Quipperian ingin melihat pembahasan lengkapnya, cari tahu melalui video ini, ya.
Itulah pembahasan Quipper Blog tentang materi matematika soshum khususnya statistika, kaidah pencacahan, dan peluang. Semoga Quipperian semakin paham dan tambah semangat belajarnya.
Jangan lupa, sering-sering mampir ke Quipper Blog, ya! Untuk akses materi lain seperti matematika soshum saintek atau lain-lainnya, silakan gabung bersama Quipper Video. Bersama Quipper Video, belajar jadi lebih mudah dan menyenangkan. Salam Quipper!
Penulis: Eka Viandari