
Hai Quipperian, sudah siapkah kamu menyambut seleksi akbar, SBMPTN? Atau justru kamu masih bingung mencari soal-soal SBMPTN? Tenang, Quipperian! Quipper Blog akan membahas beragam soal SBMPTN dari berbagai mata pelajaran.
Kali ini, Quipper Blog akan membahas latihan soal SBMPTN Fisika TKA SAINTEK 2019. Kabar baiknya, latihan soal yang disediakan Quipper Blog, lengkap dengan jawaban beserta pembahasannya. Wah, menarik banget, kan? Kuy, langsung dikerjakan!
Latihan Soal 1
Saat pertandingan final bulu tangkis tunggal putra pada Asian Games 2018, Jojo harus melawan Chou. Jojo memukul kok dengan kecepatan 15 m/s dan sudut elevasinya 53o. Jarak Chou dari Jojo agar bisa menerima umpan kok tersebut adalah…
- 1,2 m
- 10,8 m
- 4,05 m
- 7,2 m
- 0,9 m
Jawaban: B
Pembahasan:
Diketahui:
Ditanya: xmaks =…?
Penyelesaian:
Berdasarkan besaran yang diketahui, dapat digambarkan sebagai berikut.

Didapatkan:

Jadi, jarak antara Jojo dan Chou agar bisa menerima umpan kok adalah 10,8 m.
Latihan Soal 2
Budi memiliki sebuah teropong bintang yang memiliki perbesaran 90 kali. Jika teropong tersebut memiliki panjang 1.092 mm, jarak fokus lensa okulernya adalah…
- 1.080 mm
- 1.182 mm
- 1.002 mm
- 12 mm
- 12,133 mm
Jawaban: D
Pembahasan:
Diketahui:
M = 90 kali
L = 1.092 mm
Ditanya: fok =…?
Penyelesaian:
Sebuah teropong bintang memiliki perbesaran 90 kali, sehingga:

Mencari fok:

Jadi, jarak fokus lensa okulernya adalah 12 mm.
Latihan Soal 3
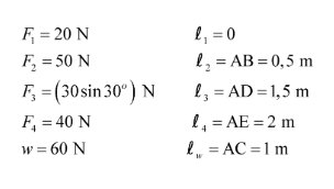
Sebuah batang AE bermassa 6 kg memiliki panjang 2 m dikenai 4 gaya seperti gambar berikut.

Jika AB = BC = CD = DE, besar momen gaya batang saat poros putarannya di A adalah…
- 17,5 Nm
- 187,5 Nm
- -17,5 Nm
- 22,5 Nm
- -187,5 Nm
Jawaban: A
Pembahasan:
Diketahui:

Ditanya: ∑πΑ =…?
Penyelesaian:
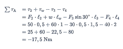
Untuk menentukan besar momen gaya di titik A, perhatikan gambar berikut.

Besarnya momen gaya di titik A dirumuskan sebagai berikut.

Jadi, besar momen gaya batang saat poros putarannya di A adalah 17,5 Nm.
Latihan Soal 4
Dua benda, A dan B, berada di atas lantai licin dan keduanya dihubungkan dengan seutas tali. Benda A bermassa 13m dan benda B bermassa 9m. saat kedua benda bergerak akibat benda B dikenai gaya F, tali penghubung antara kedua benda itu menegang sebesar T. Besar tegangan tali T tersebut adalah…

Jawaban: C
Pembahasan:
Diketahui:

Ditanya: T =…?
Penyelesaian:
Berdasarkan besaran yang diketahui pada soal, komponen gaya yang bekerja pada sistem digambarkan sebagai berikut.

Langkah pertama, kamu harus mencari a:

Kemudian, mencari T:

Latihan Soal 5
Sebuah benda bermassa m1 bergerak dengan kecepatan v menumbuk benda kedua bermassa m2 yang diam. Akibatnya, benda pertama bergerak dengan kecepatan 0,25v setelah tumbukan dan benda kedua bergerak ke atas dengan ketinggian h. Nilai h maksimal adalah…

Jawaban: E
Pembahasan:
Diketahui:

Ditanya: h2 =…?
Penyelesaian:
Berdasarkan keterangan pada soal, dapat digambarkan sebagai berikut.

Dari gambar di atas, diperoleh persamaan berikut.

Jadi, benda kedua akan bergerak ke atas dengan ketinggian maksimal sebesar

Latihan Soal 6
Air mengalir melewati pipa mendatar yang luas penampangnya semakin mengecil. Pada ujung pipa yang besar, air mengalir dengan kelajuan 4 m/s dan di ujung pipa kecil, air mengalir dengan kelajuan 9 m/s. Besarnya perbedaan tekanan antara kedua ujung pipa adalah…
- 32,5 Pa
- 48,5 Pa
- 48,5 kPa
- 32,5 kPa
- 2,5 kPa
Jawaban: D
Pembahasan:
Diketahui:

Ditanya: ∆P =…?
Penyelesaian:
Perhatikan gambar berikut.

Berdasarkan gambar di atas, dapat dirumuskan sebagai berikut.

Jadi, besarnya perbedaan tekanan antara kedua ujung pipa adalah 32,5 kPa.
Latihan Soal 7
Sebuah balok es bermassa 80 kg berada pada suhu 0o C. Balok es tersebut dipanaskan menggunakan pemanas listrik, sehingga 40 gram es mencair selama 3 detik. Jika kalor lebur es 336.000 J/kg dan kalor jenis es 2.100 J/kgo C, besarnya daya pemanas listrik yang digunakan adalah…
- 4.480.000 W
- 4.480 W
- 28.000 W
- 28 W
- 4.508 W
Jawaban: B
Pembahasan:
Diketahui:

Ditanya: P =…?
Penyelesaian:
Untuk mencari daya pemanas listrik, gunakan hubungan antara daya dan energi listrik.

Jadi, daya pemanas listrik tersebut adalah 4.480 W.
Latihan Soal 8
Pada suatu percobaan, seutas dawai memiliki frekuensi nada atas pertama beresonansi dengan pipa organa tertutup yang memiliki jumlah simpul sama. Jika dawai bergetar akibat digantungi beban bermassa 900 gram dan dawai memiliki massa persatuan panjang 4 × 10-4 kg/m, besarnya perbandingan antara panjang dawai dan panjang pipa organa tertutup tersebut adalah… (kecepatan bunyi di udara = 360 m/s)
- 10√10 : 3
- 5 : 9
- 3 : 1
- 1 : 3
- 9 : 5
Jawaban: D
Pembahasan:
Diketahui:

Ditanya:
![]()
Penyelesaian:
Mencari frekuensi nada atas pipa organa tertutup.

![]()

Latihan Soal 9
Sebuah partikel bermassa diam m0 bergerak sehingga energi diamnya empat kali energi kinetiknya. Besarnya kecepatan gerak partikel tersebut adalah…

Jawaban: B
Pembahasan:
Diketahui:

Ditanya: v =…?
Penyelesaian:


Latihan Soal 10
Kecepatan bola sepanjang sumbu X mengikuti persamaan , dengan v dalam m/s dan t dalam detik. Pada saat t = 0, posisi bola berada pada x = -1 m. Pada selang waktu dari t = 0 sampai t = 4 detik, jarak tempuh bola tersebut adalah…
- -5 m
- -1 m
- 4 m
- 24 m
- -4 m
Jawaban: D
Pembahasan:
Diketahui:

Ditanya: jarak tempuh bola pada selang waktu t = 0 sampai t = 4 detik =…?
Penyelesaian:
Pertama, Quipperian harus menentukan persamaan posisinya.

Lalu, tentukan posisi setiap waktunya.

Jarak tempuh setiap waktunya, digambarkan sebagai berikut.

Terakhir, kamu bisa mencari jarak tempuh bola.

Jadi, jarak tempuh bola tersebut adalah 24 m.
Latihan Soal 11
Pada suatu gas ideal bervolume V mengalami ekspansi isotermal sehingga volume akhirnya adalah 7,39V. Besar entropinya adalah… (In 7,39 = 2)

Jawaban: A
Pembahasan:
Diketahui:

Ditanya: S =…?
Penyelesaian:
Besarnya Q pada proses isotermal dirumuskan sebagai berikut.

Selanjutnya, tentukan besarnya S menggunakan persamaan berikut.

Jadi, besarnya entropi adalah 2nR.
Latihan Soal 12
Budi melakukan percobaan Young menggunakan cahaya berpanjang gelombang 9.000 Å. Jarak sumber cahaya 1,3 m dari dua celah yang terpisah sejauh 0,65 cm. Cincin orde ketiga teramati oleh Budi dengan diameter…
- 0,45 mm
- 0,9 mm
- 0,54 mm
- 0,9 cm
- 1,08 mm
Jawaban: B
Pembahasan:
Diketahui:

Ditanya: 2p =…?
Penyelesaian:
Mula-mula, tentukan p atau jarak titik pusat ke cincin gelap ketiga.

Diameter cincin ketiganya dirumuskan sebagai berikut.

Jadi, besarnya diameter cincin gelap ketiga adalah 0,9 mm.
Bagaimana Quipperian, apakah kamu sudah mulai paham mengerjakan latihan soal SBMPTN Fisika TKA SAINTEK 2019 di atas? Agar pemahamanmu semakin terasah, sering-seringlah belajar dan mengerjakan latihan soal. Ingat, selangkah lagi kamu akan memasuki PTN impian.
Untuk mendukung kesuksesanmu masuk PTN, Quipper Video hadir dengan Paket Intensif UTBK SBMPTN 2020. Semua kebutuhan sudah tersedia di dalamnya, mulai dari materi persiapan, materi pemantapan, latihan soal, bank soal, hingga pembahasan lengkapnya. Jadi, tunggu apalagi. Yuk, gabung Quipper Video sekarang!