
Quipperian, siapa yang sudah siap 100% menghadapi SBMPTN? Mungkin, enggak ada yang siap 100% ya, Quipperian. Tapi setidaknya, kamu sudah berusaha semaksimal mungkin untuk menyambut SBMPTN.
Nah, kali ini, Quipper Blog akan membahas latihan soal SBMPTN Matematika Dasar TKD SOSHUM 2018. Enggak usah worry, karena Quipper Blog tidak hanya menyajikan soal, tetapi dilengkapi pula dengan jawaban dan pembahasannya. Keren, kan? Yuk, langsung kepoin!
Latihan Soal 1


Jawaban: E
Pembahasan:
Diketahui:

Ditanya: x1 + x2 =…?
Penyelesaian:

Atau

Dengan demikian:

Latihan Soal 2
Diketahui persegi panjang ABCD dengan AB = √15 cm dan AD = √5 cm. Jika E merupakan titik potong diagonal persegi panjang tersebut, maka besar ∠BEC adalah…
- 60o
- 75o
- 90o
- 30o
- 45o
Jawaban: A
Pembahasan:
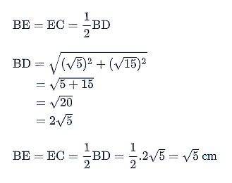
Diketahui: Persegi panjang ABCD dengan AB = √15 cm dan AD = √5 cm. E merupakan titik potong diagonal persegi panjang.
Ditanya: ∠BEC =…?
Penyelesaian:
Sketsa persegi panjangnya adalah sebagai berikut.


Oleh karena BE = EC = BC, maka segitiga BEC adalah segitiga sama sisi.
Jadi, ∠BEC = 60o.
Latihan Soal 3
Diketahui suatu barisan geometri yang terdiri atas tiga suku. Hasil kali tiga suku tersebut adalah 27. Jika suku pertama dikurangi 4, maka barisan tersebut menjadi barisan aritmetika. Rasio terkecil barisan geometri tersebut yang mungkin adalah…

Jawaban: E
Pembahasan:
Diketahui: Barisan geometri terdiri atas 3 suku, hasil kali tiga suku adalah 27. Tiga suku tersebut akan membentuk barisan aritmetika jika suku pertama dikurangi 4.
Ditanya: Rasio terkecil barisan geometri =…?
Penyelesaian:
Misalkan barisan geometrinya adalah sebagai berikut.

Hasil kali tiga suku adalah 27, maka:

Jika suku pertama dikurangi 4, maka akan terbentuk barisan aritmetika.

Latihan Soal 4

Jawaban: D
Pembahasan:
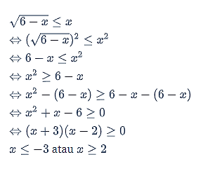
Diketahui: Pertidaksamaan bentuk akar.
![]()
Penyelesaian:
Quipperian harus mengubah bentuk pertidaksamaan tersebut ke dalam bentuk umumnya.

Himpunan penyelesaian 1.

Himpunan penyelesaian 2.

Dari penyelesaian 1 dan 2, diperoleh 2 interval yaitu sebagai berikut.


Latihan Soal 5
Diketahui 10 bilangan genap berurutan. Jika kuartil pertama bilangan-bilangan tersebut adalah 32, maka mediannya adalah…
- 35
- 37
- 38
- 34
- 36
Jawaban: B
Pembahasan:
Diketahui: 10 bilangan genap berurutan dengan kuartil pertama 32.
Ditanya: Median = … ?
Penyelesaian:
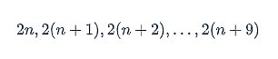
Misalkan 10 bilangan genap berurutan adalah sebagai berikut.

Ukuran data = 10
Kuartil membagi data menjadi 4 bagian sama besar, sehingga kuartil pertama (Q1) terletak pada data ke-3, kuartil kedua (median = Q2) terletak antara data ke-5 dan ke-6, serta kuartil ketiga (Q3) terletak pada data ke-8.

Jadi, median datanya adalah 37.
Quipperian, gimana dengan latihan soal SBMPTN Matematika Dasar Soshum 2018 di atas? Apakah kamu bisa menjawab semua soal dengan benar? Kalau benar semua, selamat ya! Tapi kalau masih banyak salah, wah kayaknya kamu harus lebih giat lagi nih latihan bareng Quipper Blog.
Well, untuk mendukung kesuksesanmu masuk PTN, Quipper Video hadir dengan Paket Intensif UTBK SBMPTN 2020. Semua kebutuhan sudah tersedia di dalamnya, mulai dari materi persiapan, materi pemantapan, latihan soal, bank soal, hingga pembahasan lengkapnya. Jadi, tunggu apalagi. Yuk, gabung Quipper Video sekarang!